100% satisfaction guarantee Immediately available after payment Both online and in PDF No strings attached 4.6 TrustPilot
logo-home
Exam (elaborations)

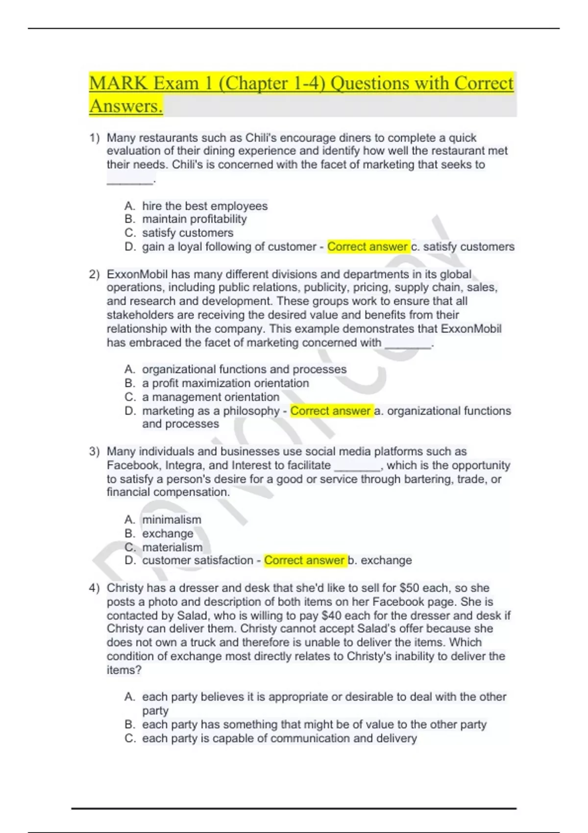
MARK Exam 1 (Chapter 1-4) Questions with Correct Answers.

Rating
-
Sold
-
Pages
29
Grade
A+
Uploaded on
08-02-2024
Written in
2023/2024

MARK Exam 1 (Chapter 1-4) Questions with Correct Answers.

Institution
Claims Adjuster
Course
Claims Adjuster










Whoops! We can’t load your doc right now. Try again or contact support.

Written for

Institution
Claims Adjuster
Course
Claims Adjuster

Document information

Uploaded on
February 8, 2024
Number of pages
29
Written in
2023/2024
Type
Exam (elaborations)
Contains
Questions & answers

Subjects

$18.49
Get access to the full document:

100% satisfaction guarantee
Immediately available after payment
Both online and in PDF
No strings attached

Get to know the seller
Seller avatar
LECTME
3.5
(2)

Get to know the seller

Seller avatar
LECTME Chamberlain College Of Nursing
View profile
Follow You need to be logged in order to follow users or courses
Sold
7
Member since
2 year
Number of followers
4
Documents
2714
Last sold
1 year ago
Assignments, Case Studies, Research, Essay writing service, Questions and Answers, Discussions etc. for students who want to see results twice as fast.

I have done papers of various topics and complexities. I am punctual and always submit work on-deadline. I write engaging and informative content on all subjects. Send me your research papers, case studies, psychology papers, etc, and I’ll do them to the best of my abilities. Writing is my passion when it comes to academic work. I’ve got a good sense of structure and enjoy finding interesting ways to deliver information in any given paper. I love impressing clients with my work, and I am very punctual about deadlines. Send me your assignment and I’ll take it to the next level. I strive for my content to be of the highest quality. Your wishes come first— send me your requirements and I’ll make a piece of work with fresh ideas, consistent structure, and following the academic formatting rules. For every student you refer to me with an order that is completed and paid transparently, I will do one assignment for you, free of charge!!!!!!!!!!!!

Read more Read less
3.5

2 reviews

5
0
4
1
3
1
2
0
1
0

Recently viewed by you

Why students choose Stuvia

Created by fellow students, verified by reviews

Quality you can trust: written by students who passed their tests and reviewed by others who've used these notes.

Didn't get what you expected? Choose another document

No worries! You can instantly pick a different document that better fits what you're looking for.

Pay as you like, start learning right away

No subscription, no commitments. Pay the way you're used to via credit card and download your PDF document instantly.

Student with book image

“Bought, downloaded, and aced it. It really can be that simple.”

Alisha Student

Frequently asked questions