100% satisfaction guarantee Immediately available after payment Both online and in PDF No strings attached 4.6 TrustPilot
logo-home
Exam (elaborations)

Introduction of clinical pharmacology

Rating
-
Sold
-
Pages
7
Grade
A+
Uploaded on
11-01-2024
Written in
2023/2024

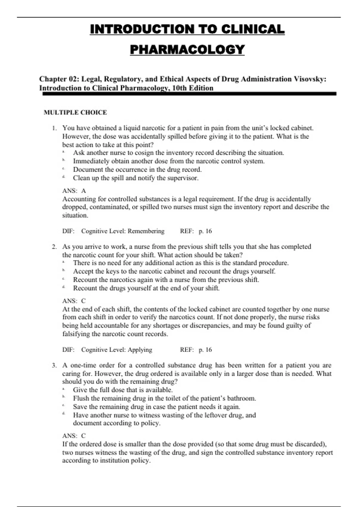
1. You have obtained a liquid narcotic for a patient in pain from the unit’s locked cabinet. However, the dose was accidentally spilled before giving it to the patient. What is the best action to take at this point? a. Ask another nurse to cosign the inventory record describing the situation. b. Immediately obtain another dose from the narcotic control system. c. Document the occurrence in the drug record. d. Clean up the spill and notify the supervisor. ANS: A Accounting for controlled substances is a legal requirement. If the drug is accidentally dropped, contaminated, or spilled two nurses must sign the inventory report and describe the situation. DIF: Cognitive Level: Remembering REF: p. 16

Show more Read less
Institution
Course









Whoops! We can’t load your doc right now. Try again or contact support.

Connected book

Written for

Course

Document information

Uploaded on
January 11, 2024
Number of pages
7
Written in
2023/2024
Type
Exam (elaborations)
Contains
Questions & answers

Subjects

Content preview

INTRODUCTION TO CLINICAL
PHARMACOLOGY

Chapter 02: Legal, Regulatory, and Ethical Aspects of Drug Administration Visovsky:
Introduction to Clinical Pharmacology, 10th Edition


MULTIPLE CHOICE

1. You have obtained a liquid narcotic for a patient in pain from the unit’s locked cabinet.
However, the dose was accidentally spilled before giving it to the patient. What is the
best action to take at this point?
a.
Ask another nurse to cosign the inventory record describing the situation.
b.
Immediately obtain another dose from the narcotic control system.
c.
Document the occurrence in the drug record.
d.
Clean up the spill and notify the supervisor.
ANS: A
Accounting for controlled substances is a legal requirement. If the drug is accidentally
dropped, contaminated, or spilled two nurses must sign the inventory report and describe the
situation.

DIF: Cognitive Level: Remembering REF: p. 16

2. As you arrive to work, a nurse from the previous shift tells you that she has completed
the narcotic count for your shift. What action should be taken?
a.
There is no need for any additional action as this is the standard procedure.
b.
Accept the keys to the narcotic cabinet and recount the drugs yourself.
c.
Recount the narcotics again with a nurse from the previous shift.
d.
Recount the drugs yourself at the end of your shift.
ANS: C
At the end of each shift, the contents of the locked cabinet are counted together by one nurse
from each shift in order to verify the narcotics count. If not done properly, the nurse risks
being held accountable for any shortages or discrepancies, and may be found guilty of
falsifying the narcotic count records.

DIF: Cognitive Level: Applying REF: p. 16

3. A one-time order for a controlled substance drug has been written for a patient you are
caring for. However, the drug ordered is available only in a larger dose than is needed. What
should you do with the remaining drug?
a.
Give the full dose that is available.
b.
Flush the remaining drug in the toilet of the patient’s bathroom.
c.
Save the remaining drug in case the patient needs it again.
d.
Have another nurse to witness wasting of the leftover drug, and
document according to policy.
ANS: C
If the ordered dose is smaller than the dose provided (so that some drug must be discarded),
two nurses witness the wasting of the drug, and sign the controlled substance inventory report
according to institution policy.

, DIF: Cognitive Level: Understanding REF: p. 16
$18.99
Get access to the full document:

100% satisfaction guarantee
Immediately available after payment
Both online and in PDF
No strings attached


Also available in package deal

Get to know the seller

Seller avatar
Reputation scores are based on the amount of documents a seller has sold for a fee and the reviews they have received for those documents. There are three levels: Bronze, Silver and Gold. The better the reputation, the more your can rely on the quality of the sellers work.
ClarkKarlel Rasmussen University
Follow You need to be logged in order to follow users or courses
Sold
22
Member since
2 year
Number of followers
19
Documents
18
Last sold
2 weeks ago
ClarkKarlel

Unlock nursing success with our expertly crafted summaries—precision, clarity, and time-saving solutions. Join a community of aspiring healthcare professionals for premium study materials.

0.0

0 reviews

5
0
4
0
3
0
2
0
1
0

Recently viewed by you

Why students choose Stuvia

Created by fellow students, verified by reviews

Quality you can trust: written by students who passed their tests and reviewed by others who've used these notes.

Didn't get what you expected? Choose another document

No worries! You can instantly pick a different document that better fits what you're looking for.

Pay as you like, start learning right away

No subscription, no commitments. Pay the way you're used to via credit card and download your PDF document instantly.

Student with book image

“Bought, downloaded, and aced it. It really can be that simple.”

Alisha Student

Frequently asked questions