100% satisfaction guarantee Immediately available after payment Both online and in PDF No strings attached 4.6 TrustPilot
logo-home
Exam (elaborations)

[NGN]2023 ATI FUNDAMENTALS PROCTORED EXAM RETAKE (All Questions Correctly Answered) FUNDAMENTALS PROCTORED EXAM RETAKE

Rating
-
Sold
-
Pages
25
Grade
A+
Uploaded on
09-01-2024
Written in
2023/2024

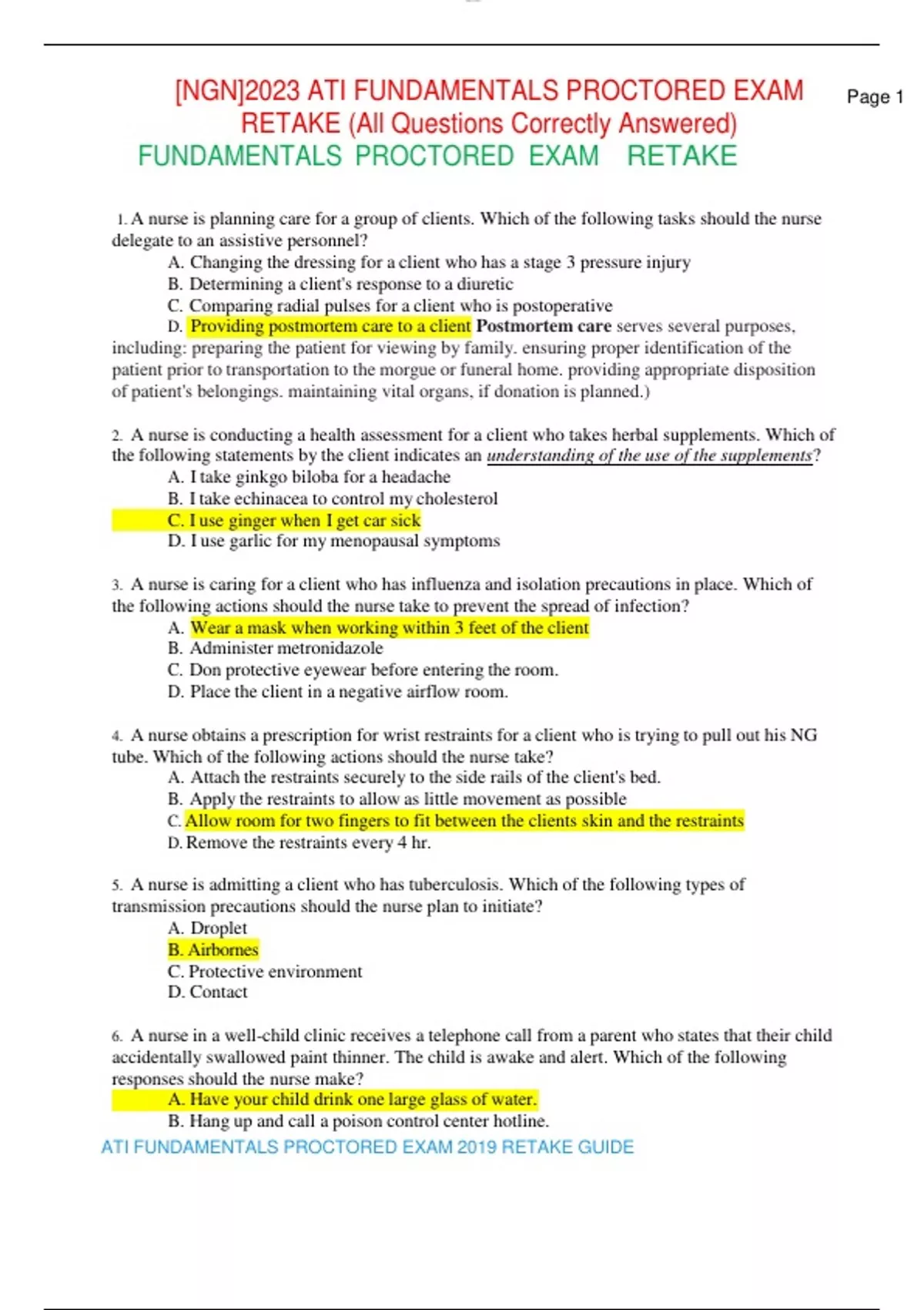
[NGN]2023 ATI FUNDAMENTALS PROCTORED EXAM RETAKE (All Questions Correctly Answered) FUNDAMENTALS PROCTORED EXAM RETAKE Page 1 1. A nurse is planning care for a group of clients. Which of the following tasks should the nurse delegate to an assistive personnel? A. Changing the dressing for a client who has a stage 3 pressure injury B. Determining a client's response to a diuretic C. Comparing radial pulses for a client who is postoperative D. Providing postmortem care to a client Postmortem care serves several purposes, including: preparing the patient for viewing by family. ensuring proper identification of the patient prior to transportation to the morgue or funeral home. providing appropriate disposition of patient's belongings. maintaining vital organs, if donation is planned.) 2. A nurse is conducting a health assessment for a client who takes herbal supplements. Which of the following statements by the client indicates an understanding of the use of the supplements? A. I take ginkgo biloba for a headache B. I take echinacea to control my cholesterol C. I use ginger when I get car sick D. I use garlic for my menopausal symptoms 3. A nurse is caring for a client who has influenza and isolation precautions in place. Which of the following actions should the nurse take to prevent the spread of infection? A. Wear a mask when working within 3 feet of the client B. Administer metronidazole C. Don protective eyewear before entering the room. D. Place the client in a negative airflow room. 4. A nurse obtains a prescription for wrist restraints for a client who is trying to pull out his NG tube. Which of the following actions should the nurse take? A. Attach the restraints securely to the side rails of the client's bed. B. Apply the restraints to allow as little movement as possible C. Allow room for two fingers to fit between the clients skin and the restraints D.Remove the restraints every 4 hr. 5. A nurse is admitting a client who has tuberculosis. Which of the following types of transmission precautions should the nurse plan to initiate? A. Droplet B. Airbornes C. Protective environment D. Contact 6. A nurse in a well-child clinic receives a telephone call from a parent who states that their child accidentally swallowed paint thinner. The child is awake and alert. Which of the following responses should the nurse make? A. Have your child drink one large glass of water. B. Hang up and call a poison control center hotline. lOM oAR cPS D| ATI FUNDAMENTALS PROCTORED EXAM 2019 RETAKE GUIDE C. Bring your child into the clinic later today. lOM oAR cPS D| ATI FUNDAMENTALS PROCTORED EXAM 2019 RETAKE GUIDE D. Induce vomiting in your child with syrup of ipecac. 7. A nurse is documenting a client's medical record. Which of the following entries should the

Show more Read less
Institution
[NGN]2023 ATI FUNDAMENTALS
Course
[NGN]2023 ATI FUNDAMENTALS










Whoops! We can’t load your doc right now. Try again or contact support.

Written for

Institution
[NGN]2023 ATI FUNDAMENTALS
Course
[NGN]2023 ATI FUNDAMENTALS

Document information

Uploaded on
January 9, 2024
Number of pages
25
Written in
2023/2024
Type
Exam (elaborations)
Contains
Questions & answers

Subjects

Get to know the seller

Seller avatar
Reputation scores are based on the amount of documents a seller has sold for a fee and the reviews they have received for those documents. There are three levels: Bronze, Silver and Gold. The better the reputation, the more your can rely on the quality of the sellers work.
brilliantstudies Teachme2-tutor
View profile
Follow You need to be logged in order to follow users or courses
Sold
96
Member since
2 year
Number of followers
45
Documents
2518
Last sold
2 weeks ago

4.0

12 reviews

5
7
4
2
3
1
2
0
1
2

Recently viewed by you

Why students choose Stuvia

Created by fellow students, verified by reviews

Quality you can trust: written by students who passed their tests and reviewed by others who've used these notes.

Didn't get what you expected? Choose another document

No worries! You can instantly pick a different document that better fits what you're looking for.

Pay as you like, start learning right away

No subscription, no commitments. Pay the way you're used to via credit card and download your PDF document instantly.

Student with book image

“Bought, downloaded, and aced it. It really can be that simple.”

Alisha Student

Frequently asked questions