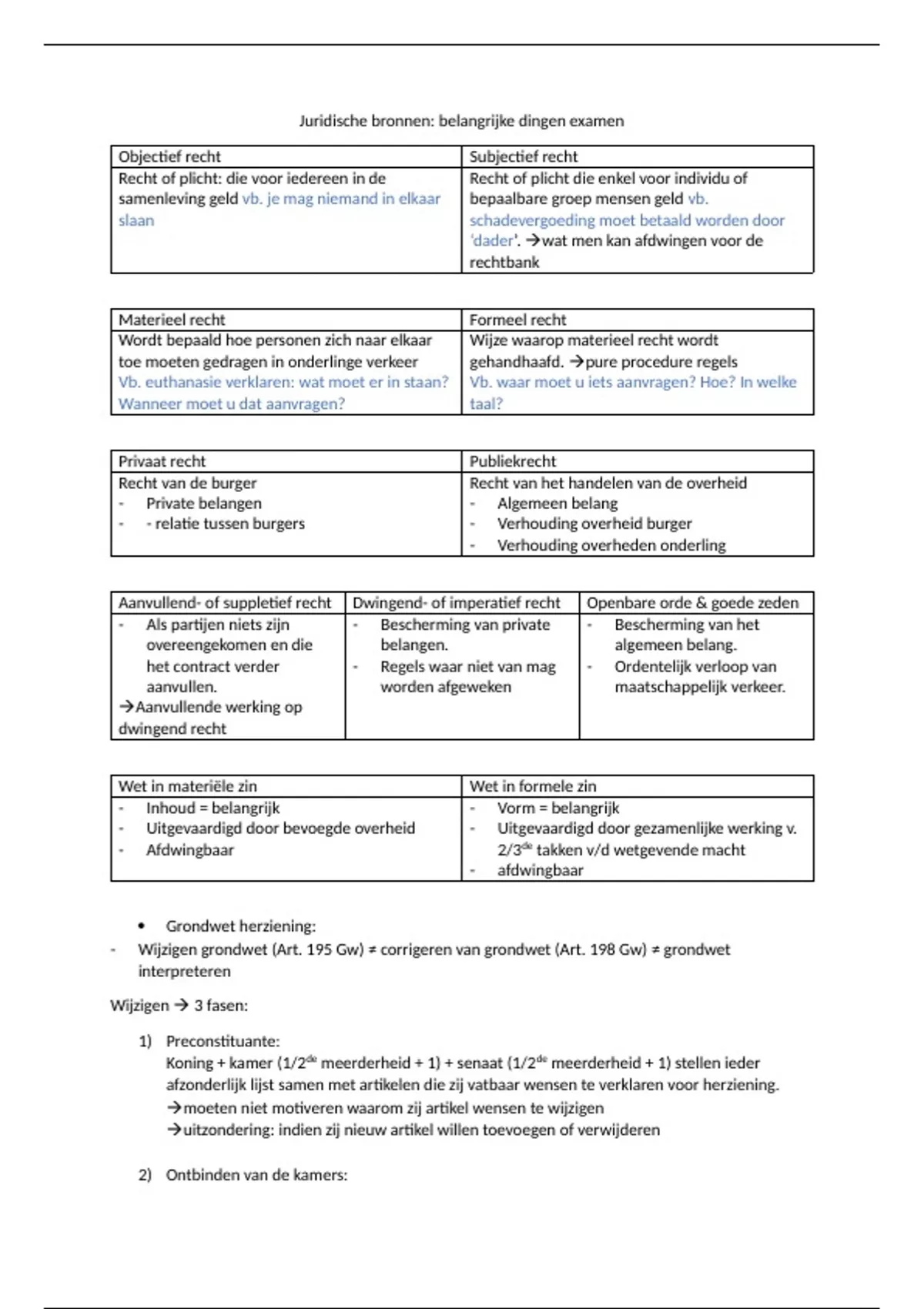
Juridische bronnen: belangrijke dingen examen
Objectief recht Subjectief recht
Recht of plicht: die voor iedereen in de Recht of plicht die enkel voor individu of
samenleving geld vb. je mag niemand in elkaar bepaalbare groep mensen geld vb.
slaan schadevergoeding moet betaald worden door
‘dader’. wat men kan afdwingen voor de
rechtbank
Materieel recht Formeel recht
Wordt bepaald hoe personen zich naar elkaar Wijze waarop materieel recht wordt
toe moeten gedragen in onderlinge verkeer gehandhaafd. pure procedure regels
Vb. euthanasie verklaren: wat moet er in staan? Vb. waar moet u iets aanvragen? Hoe? In welke
Wanneer moet u dat aanvragen? taal?
Privaat recht Publiekrecht
Recht van de burger Recht van het handelen van de overheid
- Private belangen - Algemeen belang
- - relatie tussen burgers - Verhouding overheid burger
- Verhouding overheden onderling
Aanvullend- of suppletief recht Dwingend- of imperatief recht Openbare orde & goede zeden
- Als partijen niets zijn - Bescherming van private - Bescherming van het
overeengekomen en die belangen. algemeen belang.
het contract verder - Regels waar niet van mag - Ordentelijk verloop van
aanvullen. worden afgeweken maatschappelijk verkeer.
Aanvullende werking op
dwingend recht
Wet in materiële zin Wet in formele zin
- Inhoud = belangrijk - Vorm = belangrijk
- Uitgevaardigd door bevoegde overheid - Uitgevaardigd door gezamenlijke werking v.
- Afdwingbaar 2/3de takken v/d wetgevende macht
- afdwingbaar
Grondwet herziening:
- Wijzigen grondwet (Art. 195 Gw) ≠ corrigeren van grondwet (Art. 198 Gw) ≠ grondwet
interpreteren
Wijzigen 3 fasen:
1) Preconstituante:
Koning + kamer (1/2de meerderheid + 1) + senaat (1/2 de meerderheid + 1) stellen ieder
afzonderlijk lijst samen met artikelen die zij vatbaar wensen te verklaren voor herziening.
moeten niet motiveren waarom zij artikel wensen te wijzigen
uitzondering: indien zij nieuw artikel willen toevoegen of verwijderen
2) Ontbinden van de kamers:
, - Herzieningsverklaringen worden gepubliceerd in Belgisch Staatsblad
- Kamer v/d volksvertegenwoordigers + Senaat worden ontbonden
- Burger wordt uiterlijk 40 dagen na ontbinding opgeroepen om te gaan stemmen
nieuwe verkozen kamers binnen 2 maand samengeroepen
1) Afgeleide constituante:
- Nieuwe kamer + Senaat + Koning buigen zich over herzieningsverklaringen v/d grondwet
- Uitsluitend bepalingen die gemeenschappelijk zijn op 3 lijsten herzien
- Kunnen herzien, moet niet
- Indien zij herzien: 2/3de leden vd kamer & senaat aanwezig zijn en aantal ja-stemmen 2/3 de
bedragen.
= moeilijke & omslachtige procedure oplossing: deconstitutionaliseren
=aanvullen v/d grondwet door middel van andere rechtsnormen (bijzondere wetten, KB’s,…) en
rechtsbronnen
+ = eenvoudigere procedure
- Moeilijk om te weten wat nog onder GW valt en wat niet
discussie omtrent formele grondwet = document waarop staat dit is de grondwet, en materiële
grondwet = alle rechtsnormen en -bronnen die als GW kunnen worden gekwalificeerd.
! wat is een wetsvoorstel + uitzonderingen ! p 21-23
Parlementaire onschendbaarheid Art. 58 GW Ministeriële onschendbaarheid Art. 101 GW
- parlementsleden niet worden vervolgd - Ministers enkel voorwaardelijk tegenover
door meningsuiting bij uitoefenen van hun de kamer (NIET de senaat)
functie - Vragenrecht = reglementair geregeld
- = absolute strafrechtelijke - Interpellatierecht = reglementair geregeld
onschendbaarheid - Strafrechtelijke immuniteit voor
- = burgerrechtelijke immuniteit meningsuitingen:
- Enkel meningsuiting, geld NIET op zowel alle parlementaire
feitelijkheden werkzaamheden, als alle uitspraken die
- Verbaal geweld kan voorzitter/kamer minister doet in zijn functie = ook radio
beteugelen & TV
- Slaat uitsluitend op parlementaire functie:
wel: openbare vergaderingen,
commissies, fracties en bureau
Niet: meetings, politieke debatten,
kranten, radio, interviews en TV
Parlementaire immuniteit voor vervolging Ministeriële immuniteit voor vervolging
Art. 59 GW Art.103 GW
Parlementsleden tijdens parlementaire zitting Alleen kamer kan met gewone meerderheid
niet worden vervolgd. besluiten om strafrechtelijk te vervolgen.
- Parlement blijft vrijwel permanent in zitting uitzondering: betrapping op heterdaad
= duurtijd mandaat - Uitsluitend voor misdaden die minister in
- Bescherming in strafzaken, NIET in zijn ambt pleegt. NIET buiten zijn ambt.
Objectief recht Subjectief recht
Recht of plicht: die voor iedereen in de Recht of plicht die enkel voor individu of
samenleving geld vb. je mag niemand in elkaar bepaalbare groep mensen geld vb.
slaan schadevergoeding moet betaald worden door
‘dader’. wat men kan afdwingen voor de
rechtbank
Materieel recht Formeel recht
Wordt bepaald hoe personen zich naar elkaar Wijze waarop materieel recht wordt
toe moeten gedragen in onderlinge verkeer gehandhaafd. pure procedure regels
Vb. euthanasie verklaren: wat moet er in staan? Vb. waar moet u iets aanvragen? Hoe? In welke
Wanneer moet u dat aanvragen? taal?
Privaat recht Publiekrecht
Recht van de burger Recht van het handelen van de overheid
- Private belangen - Algemeen belang
- - relatie tussen burgers - Verhouding overheid burger
- Verhouding overheden onderling
Aanvullend- of suppletief recht Dwingend- of imperatief recht Openbare orde & goede zeden
- Als partijen niets zijn - Bescherming van private - Bescherming van het
overeengekomen en die belangen. algemeen belang.
het contract verder - Regels waar niet van mag - Ordentelijk verloop van
aanvullen. worden afgeweken maatschappelijk verkeer.
Aanvullende werking op
dwingend recht
Wet in materiële zin Wet in formele zin
- Inhoud = belangrijk - Vorm = belangrijk
- Uitgevaardigd door bevoegde overheid - Uitgevaardigd door gezamenlijke werking v.
- Afdwingbaar 2/3de takken v/d wetgevende macht
- afdwingbaar
Grondwet herziening:
- Wijzigen grondwet (Art. 195 Gw) ≠ corrigeren van grondwet (Art. 198 Gw) ≠ grondwet
interpreteren
Wijzigen 3 fasen:
1) Preconstituante:
Koning + kamer (1/2de meerderheid + 1) + senaat (1/2 de meerderheid + 1) stellen ieder
afzonderlijk lijst samen met artikelen die zij vatbaar wensen te verklaren voor herziening.
moeten niet motiveren waarom zij artikel wensen te wijzigen
uitzondering: indien zij nieuw artikel willen toevoegen of verwijderen
2) Ontbinden van de kamers:
, - Herzieningsverklaringen worden gepubliceerd in Belgisch Staatsblad
- Kamer v/d volksvertegenwoordigers + Senaat worden ontbonden
- Burger wordt uiterlijk 40 dagen na ontbinding opgeroepen om te gaan stemmen
nieuwe verkozen kamers binnen 2 maand samengeroepen
1) Afgeleide constituante:
- Nieuwe kamer + Senaat + Koning buigen zich over herzieningsverklaringen v/d grondwet
- Uitsluitend bepalingen die gemeenschappelijk zijn op 3 lijsten herzien
- Kunnen herzien, moet niet
- Indien zij herzien: 2/3de leden vd kamer & senaat aanwezig zijn en aantal ja-stemmen 2/3 de
bedragen.
= moeilijke & omslachtige procedure oplossing: deconstitutionaliseren
=aanvullen v/d grondwet door middel van andere rechtsnormen (bijzondere wetten, KB’s,…) en
rechtsbronnen
+ = eenvoudigere procedure
- Moeilijk om te weten wat nog onder GW valt en wat niet
discussie omtrent formele grondwet = document waarop staat dit is de grondwet, en materiële
grondwet = alle rechtsnormen en -bronnen die als GW kunnen worden gekwalificeerd.
! wat is een wetsvoorstel + uitzonderingen ! p 21-23
Parlementaire onschendbaarheid Art. 58 GW Ministeriële onschendbaarheid Art. 101 GW
- parlementsleden niet worden vervolgd - Ministers enkel voorwaardelijk tegenover
door meningsuiting bij uitoefenen van hun de kamer (NIET de senaat)
functie - Vragenrecht = reglementair geregeld
- = absolute strafrechtelijke - Interpellatierecht = reglementair geregeld
onschendbaarheid - Strafrechtelijke immuniteit voor
- = burgerrechtelijke immuniteit meningsuitingen:
- Enkel meningsuiting, geld NIET op zowel alle parlementaire
feitelijkheden werkzaamheden, als alle uitspraken die
- Verbaal geweld kan voorzitter/kamer minister doet in zijn functie = ook radio
beteugelen & TV
- Slaat uitsluitend op parlementaire functie:
wel: openbare vergaderingen,
commissies, fracties en bureau
Niet: meetings, politieke debatten,
kranten, radio, interviews en TV
Parlementaire immuniteit voor vervolging Ministeriële immuniteit voor vervolging
Art. 59 GW Art.103 GW
Parlementsleden tijdens parlementaire zitting Alleen kamer kan met gewone meerderheid
niet worden vervolgd. besluiten om strafrechtelijk te vervolgen.
- Parlement blijft vrijwel permanent in zitting uitzondering: betrapping op heterdaad
= duurtijd mandaat - Uitsluitend voor misdaden die minister in
- Bescherming in strafzaken, NIET in zijn ambt pleegt. NIET buiten zijn ambt.