Written by students who passed Immediately available after payment Read online or as PDF Wrong document? Swap it for free 4.6 TrustPilot
logo-home
Exam (elaborations)

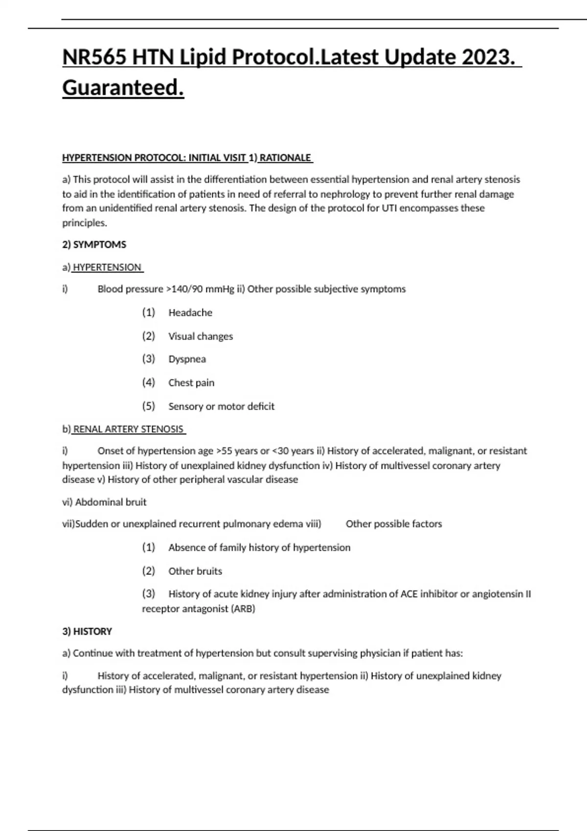
NR565 HTN Lipid Protocol.Latest Update 2023. Guaranteed..

Rating
-
Sold
-
Pages
6
Grade
A+
Uploaded on
28-12-2023
Written in
2023/2024

NR565 HTN Lipid Protocol.Latest Update 2023. Guaranteed..

Institution
LVN - Licensed Vocational Nurse
Course
LVN - Licensed Vocational Nurse









Whoops! We can’t load your doc right now. Try again or contact support.

Written for

Institution
LVN - Licensed Vocational Nurse
Course
LVN - Licensed Vocational Nurse

Document information

Uploaded on
December 28, 2023
Number of pages
6
Written in
2023/2024
Type
Exam (elaborations)
Contains
Questions & answers

Subjects

$25.99
Get access to the full document:

Wrong document? Swap it for free Within 14 days of purchase and before downloading, you can choose a different document. You can simply spend the amount again.
Written by students who passed
Immediately available after payment
Read online or as PDF

Get to know the seller
Seller avatar
johnhemshy

Get to know the seller

Seller avatar
johnhemshy johnhemshy
View profile
Follow You need to be logged in order to follow users or courses
Sold
-
Member since
2 year
Number of followers
0
Documents
982
Last sold
-

0.0

0 reviews

5
0
4
0
3
0
2
0
1
0

Trending documents

Recently viewed by you

Why students choose Stuvia

Created by fellow students, verified by reviews

Quality you can trust: written by students who passed their tests and reviewed by others who've used these notes.

Didn't get what you expected? Choose another document

No worries! You can instantly pick a different document that better fits what you're looking for.

Pay as you like, start learning right away

No subscription, no commitments. Pay the way you're used to via credit card and download your PDF document instantly.

Student with book image

“Bought, downloaded, and aced it. It really can be that simple.”

Alisha Student

Frequently asked questions