100% satisfaction guarantee Immediately available after payment Both online and in PDF No strings attached 4.6 TrustPilot
logo-home
Exam (elaborations)

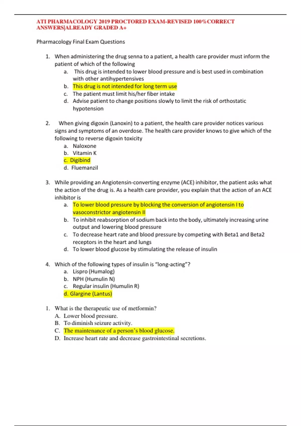
ATI PHARMACOLOGY 2019 PROCTORED EXAM-REVISED 100%CORRECT ANSWERS ALREADY GRADED A+

Rating
-
Sold
-
Pages
43
Grade
A+
Uploaded on
21-12-2023
Written in
2023/2024

ATI PHARMACOLOGY 2019 PROCTORED EXAM-REVISED 100%CORRECT ANSWERS ALREADY GRADED A+

Institution
ATI PHARMACOLOGY
Course
ATI PHARMACOLOGY











Whoops! We can’t load your doc right now. Try again or contact support.

Written for

Institution
ATI PHARMACOLOGY
Course
ATI PHARMACOLOGY

Document information

Uploaded on
December 21, 2023
Number of pages
43
Written in
2023/2024
Type
Exam (elaborations)
Contains
Questions & answers

Subjects

$10.49
Get access to the full document:

100% satisfaction guarantee
Immediately available after payment
Both online and in PDF
No strings attached

Get to know the seller
Seller avatar
Hesisolutions

Get to know the seller

Seller avatar
Hesisolutions Chamberlain College Of Nursing
View profile
Follow You need to be logged in order to follow users or courses
Sold
15
Member since
2 year
Number of followers
2
Documents
483
Last sold
4 months ago
Nursingsolutions

BUY FOR AS LOW AS $3!!!!!! ALL DOCUMENTS ON OFFER!! Welcome to nursing solutions where you find all nursing revision questions with their verified answers . Be sure of great grades. ALL THE BEST. YOU GOT THIS!!

0.0

0 reviews

5
0
4
0
3
0
2
0
1
0

Recently viewed by you

Why students choose Stuvia

Created by fellow students, verified by reviews

Quality you can trust: written by students who passed their tests and reviewed by others who've used these notes.

Didn't get what you expected? Choose another document

No worries! You can instantly pick a different document that better fits what you're looking for.

Pay as you like, start learning right away

No subscription, no commitments. Pay the way you're used to via credit card and download your PDF document instantly.

Student with book image

“Bought, downloaded, and aced it. It really can be that simple.”

Alisha Student

Frequently asked questions