100% satisfaction guarantee Immediately available after payment Both online and in PDF No strings attached 4.6 TrustPilot
logo-home
Exam (elaborations)

ATI PHARMACOLOGY 2019 PROCTORED EXAM-REVISED 100%CORRECT ANSWERS ALREADY GRADED A+

Rating
-
Sold
-
Pages
43
Grade
A+
Uploaded on
21-12-2023
Written in
2023/2024

ATI PHARMACOLOGY 2019 PROCTORED EXAM-REVISED 100%CORRECT ANSWERS ALREADY GRADED A+

Institution
Course











Whoops! We can’t load your doc right now. Try again or contact support.

Written for

Institution
Study
Course

Document information

Uploaded on
December 21, 2023
Number of pages
43
Written in
2023/2024
Type
Exam (elaborations)
Contains
Questions & answers

Subjects

Content preview

ATI PHARMACOLOGY 2019 PROCTORED EXAM-REVISED 100%CORRECT
ANSWERS|ALREADY GRADED A+

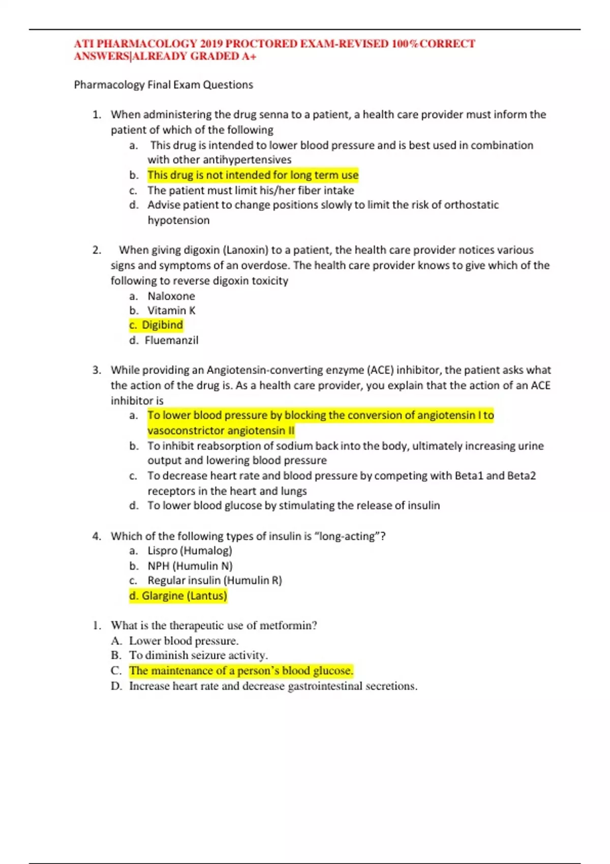
Pharmacology Final Exam Questions

1. When administering the drug senna to a patient, a health care provider must inform the
patient of which of the following
a. This drug is intended to lower blood pressure and is best used in combination
with other antihypertensives
b. This drug is not intended for long term use
c. The patient must limit his/her fiber intake
d. Advise patient to change positions slowly to limit the risk of orthostatic
hypotension

2. When giving digoxin (Lanoxin) to a patient, the health care provider notices various
signs and symptoms of an overdose. The health care provider knows to give which of the
following to reverse digoxin toxicity
a. Naloxone
b. Vitamin K
c. Digibind
d. Fluemanzil

3. While providing an Angiotensin-converting enzyme (ACE) inhibitor, the patient asks what
the action of the drug is. As a health care provider, you explain that the action of an ACE
inhibitor is
a. To lower blood pressure by blocking the conversion of angiotensin I to
vasoconstrictor angiotensin II
b. To inhibit reabsorption of sodium back into the body, ultimately increasing urine
output and lowering blood pressure
c. To decrease heart rate and blood pressure by competing with Beta1 and Beta2
receptors in the heart and lungs
d. To lower blood glucose by stimulating the release of insulin

4. Which of the following types of insulin is “long-acting”?
a. Lispro (Humalog)
b. NPH (Humulin N)
c. Regular insulin (Humulin R)
d. Glargine (Lantus)

1. What is the therapeutic use of metformin?
A. Lower blood pressure.
B. To diminish seizure activity.
C. The maintenance of a person’s blood glucose.
D. Increase heart rate and decrease gastrointestinal secretions.

,ATI PHARMACOLOGY 2019 PROCTORED EXAM-REVISED 100%CORRECT
ANSWERS|ALREADY GRADED A+

1. What is the correct definition for absorption of a drug?
A. Movement of drug from site of administration to various tissues of the body.
B. Describes the absorption, distribution, metabolism & excretion of drugs.
C. These types of drugs can be taken over the counter.
D. This addresses how various drugs affect different forms of the body.


2. What do you assess for in a patient who is on Valproate? Select all that apply.
A. Suicidal thoughts
B. Monitor for seizures.
C. Bipolar disorder.
D. Migraines.


3. What is true about food and drug precautions? Select all that apply.
A. You must limit certain types of food or concurrent administration of certain types
of drugs.
B. Certain combinations of food and drugs can cause adverse reactions.
C. Precautions may require limiting certain types of food or concurring drugs rather
than restricting the drug itself.
D. When one drug changes the way, another drug affects that drug.

1. ACE Inhibitors are used in the treatment of all EXCEPT:
a. Hypertension
b. Heart Failure
c. Hypotension
d. Diabetic nephropathy

2. Which of the following is used to treat migraine headaches?
a. Beta-blockers
b. Cholinesterase Inhibitors
c. ACE inhibitors
d. Anti-epileptic drugs (AEDs)

3. When administering a Serotonin Antagonist it is important to monitor for
a. Intake and output
b. Mental status changes
c. Respiratory rate
d. Anorexia

4. Which of the following is the antidote for Heparin?
a. Protamine sulfate

, ATI PHARMACOLOGY 2019 PROCTORED EXAM-REVISED 100%CORRECT
ANSWERS|ALREADY GRADED A+

b. Vitamin K
c. Naloxone
d. Toradol


1. A patient has been taking hydrocodone, and opioid analgesic for their moderate pain,
and they have taken over their prescribed dose. What should you give as the antidote if they
experience toxicity?
A. Naloxone
B. N-acetylcysteine
C. Atropine
D. Digoxin immune Fab

1. A patient is being educated on taking levothyroxine, a drug used to balance thyroid
activity. What should you include in their education?
A. Don’t bother your health care professionals if you experience side effects
B. Take this at the same time every day
C. Thyroid tests are unnecessary while taking this drug
D. It is okay to take this drug if you have recently had a myocardial infarction

1. A patient states he experiences anxiety and has panic attacks at least once a week. What
might be helpful for this patient?
A. Phenytoin (Dilantin)
B. Lithium
C. Alprazolam (Xanax)
D. Spironolactone

1. Which of the following is NOT an opioid or NSAID?
A. Morphine
B. Ibuprofen
C. Hydromorphone
D. Acetaminophen


1) Why is it important to monitor ins and outs with patients using ACE inhibitors?
A. To assess for renal impairment
B. You must make sure the patient is receiving adequate fluid intake
C. To assess the patient for potential heart failure
D. You must assess for NSAID use
E. To assess for decreased blood pressure

, ATI PHARMACOLOGY 2019 PROCTORED EXAM-REVISED 100%CORRECT
ANSWERS|ALREADY GRADED A+

2) Which drug goes through extensive first-pass hepatic metabolism?
A. Heparin
B. Insulin
C. Propranolol
D. Nitroglycerine
E. Warfarin

3) What nursing interventions should you do when a patient is on Albuterol (select all that
apply)
A. Assess lung sounds, Pulse, and Blood pressure before administering
B. Monitor for changes in behavior
C. Observe for paradoxical bronchospasms
D. Assess for abdominal distention
E. Note sputum color and texture

4) What patient could potentially take the drug Senna?
A. A patient with an eating disorder
B. A patient who has not passed stool in 5 days
C. A patient with anal fissures
D. A patient with a history of hemorrhoids
E. A patient who has hypersensitivity

Question #1
What is the category class of Lithium?
A. Antidiabetics, biguanides
B. Mood stabilizers
C. Antiarrhythmics, anticonvulsants
D. Vascular headache suppressants
Question #2
What do you need to teach your patient if they are taking sennosides? Select All That
Apply.
A. Laxatives should be used for short-term therapy
B. The medication does not cure hypothyroidism
C. The color of the urine may change to a pink, red, violet, yellow, or brown
D. Make sure other forms of bowel regulation are being used
Question #3
What is the therapeutic use of Phenytoin?
A. Replacement in hypothyroidism to restore normal hormonal balance
B. Diminished accumulation of acid in the gastric lumen with lessened gastroesophageal
reflux
C. Diminished seizure activity, termination of ventricular arrhythmias
D. Prevention of thrombus formation, prevention of extension of existing thrombi
$10.49
Get access to the full document:

100% satisfaction guarantee
Immediately available after payment
Both online and in PDF
No strings attached

Get to know the seller
Seller avatar
MBIUKIA

Get to know the seller

Seller avatar
MBIUKIA Teachme2-tutor
Follow You need to be logged in order to follow users or courses
Sold
1
Member since
3 year
Number of followers
2
Documents
422
Last sold
2 year ago

0.0

0 reviews

5
0
4
0
3
0
2
0
1
0

Recently viewed by you

Why students choose Stuvia

Created by fellow students, verified by reviews

Quality you can trust: written by students who passed their tests and reviewed by others who've used these notes.

Didn't get what you expected? Choose another document

No worries! You can instantly pick a different document that better fits what you're looking for.

Pay as you like, start learning right away

No subscription, no commitments. Pay the way you're used to via credit card and download your PDF document instantly.

Student with book image

“Bought, downloaded, and aced it. It really can be that simple.”

Alisha Student

Frequently asked questions