Hoorcollege 1.
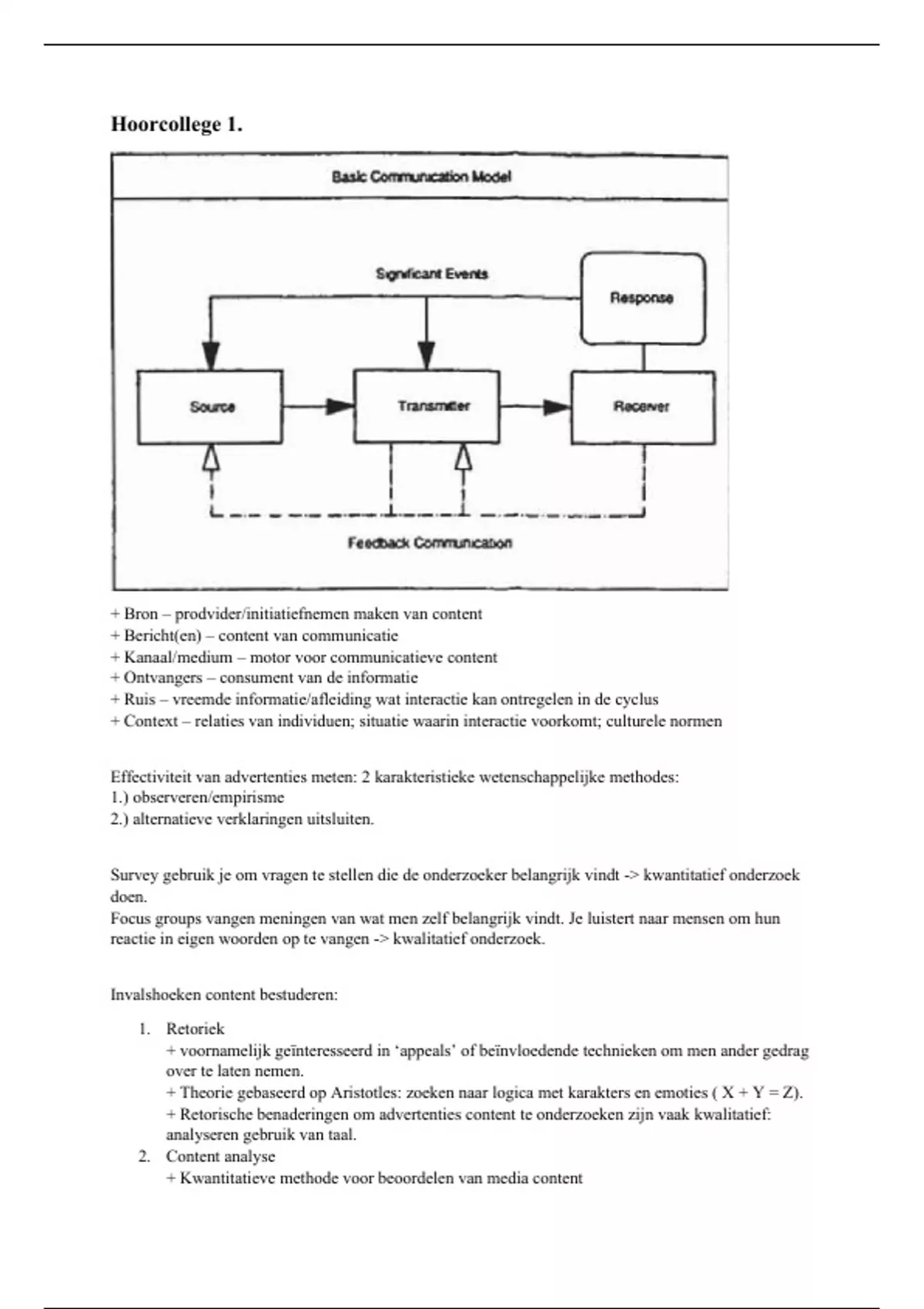
+ Bron – prodvider/initiatiefnemen maken van content
+ Bericht(en) – content van communicatie
+ Kanaal/medium – motor voor communicatieve content
+ Ontvangers – consument van de informatie
+ Ruis – vreemde informatie/afleiding wat interactie kan ontregelen in de cyclus
+ Context – relaties van individuen; situatie waarin interactie voorkomt; culturele normen
Effectiviteit van advertenties meten: 2 karakteristieke wetenschappelijke methodes:
1.) observeren/empirisme
2.) alternatieve verklaringen uitsluiten.
Survey gebruik je om vragen te stellen die de onderzoeker belangrijk vindt -> kwantitatief onderzoek
doen.
Focus groups vangen meningen van wat men zelf belangrijk vindt. Je luistert naar mensen om hun
reactie in eigen woorden op te vangen -> kwalitatief onderzoek.
Invalshoeken content bestuderen:
1. Retoriek
+ voornamelijk geïnteresseerd in ‘appeals’ of beïnvloedende technieken om men ander gedrag
over te laten nemen.
+ Theorie gebaseerd op Aristotles: zoeken naar logica met karakters en emoties ( X + Y = Z).
+ Retorische benaderingen om advertenties content te onderzoeken zijn vaak kwalitatief:
analyseren gebruik van taal.
2. Content analyse
+ Kwantitatieve methode voor beoordelen van media content
, + Vergelijkt ads wereld met echte wereld
-> Verhouding man/vrouw etc
3. Kritische analyse
+ Communicatie onderhoudt en promoot machtsstructuren in de samenleving.
+ Focus is op de relatie im/ex-pliciet tussen de bron en ontvanger.
+ Onderzoeker kijkt ook naar wat impliciet of ongezegd is.
Actie onderzoek: specifiek om iemands leven te verbeteren. Betrokken zijn met mensen om dit te
kunnen doen.
Sociale onderzoekers: gaan er vanuit dat er een externe ‘echte’ wereld is wat geobserveerd kan
worden, begrepen en overeenkomstig is op gebied van de studie van menselijke interactie -> objectief.
Fenomenologen en etnografen: proberen mensen hun subjectieve werelden te begrijpen; hoe mensen
interpreteren of de evenementen in hun leven logisch laten blijken.
Triangulatie: onderzoekers gebruiken meerdere methoden om meerdere perspectieven te bewijzen
zodat zij een goede ‘fix’ hebben op een probleem.
Q-methodology: gaan er vanuit dat de subjectieve ‘view’ van de respondenten van de wereld van
interesse zijn in combinatie met research focus met kwantitatieve computationele benaderingen tot het
opnemen en beoordelen van de views.
Soorten onderzoekers:
1. Betrokken onderzoeker: geloofwaardigheid en de rapportage worden versterkt met de
persoonlijke ervaringen en reacties tijdens het onderzoek. Valkuil: onderzoeker kan
respondenten beïnvloeden.
2. Afstandelijke onderzoeker: Geloofwaardigheid wordt gemaximaliseerd door het objectief
rapporteren en is ‘onbesmet’ door sentiment en waardevolle oordelen.
Niet-wetenschappelijke methodes
1. Op intuïtie/geloof
+ Wat je sterk aanvoelt.
2. Consensus
+ “iedereen heeft een iphone” -> overeenstemming met groepen
3. Authority
+ “Omdat mijn arts het zegt”
4. Casual observation
+ “het werkte die ene keer ook goed voor Tim”
5. Tenacity/gewoonte
+ “zo heb ik het altijd gedaan” -> selectief observeren
Wetenschappelijke claims
a. Observaties
+ (in)accuraat representatie van de wereld
+ beschrijft geen general relatie
+ bouwblokken van empirische wetenschap
-> individueel zijn ze niet interessant
, b. Hypothesis
+ Beschrijft/legt uit wat patronen/relaties zijn.
-> Kan zeker of onzeker zijn.
c. Theorie
+ Hele brede uitleg van veel gerelateerde fenomenen.
-> bestaat uit sterk ondersteunde hypotheses en de bouwblokken.
Communicatiewetenschap betekenis
+ Wetenschap bestaat uit:
1. kennis (kennis die vergaard is via duidelijk omschreven regels en principes), proces
(systematisch proces vn vergaring van theoretische kennis door middel van observatie. Proces zelf
systematisch is ook dat we conclusies trekken over meerdere systematisch gemaakte waarnemingen en
systematisch samenvoegen uit onderzoeken. Wetenschap = cumulatief) en gemeenschap (iedereen die
zich op een of andere manier met wetenschap bezig houdt).
+ Doel van wetenschap is het creëren van ware kennis en onware kennis als zodanig te ontmaskeren.
-> Kan alleen door goed onderzoek te doen.
+ Communicatiewetenschappers onderzoeken inhoud, toepassing en gevolgen van media en
communicatie. Het kan diverse aspecten van communicatie bevatten:
1. Social media
2. Organisaties of groepen
3. Interpersoonlijk
4. Intercultureel
5. Technologie
6. Persuasief
www.icahdq.org
www.nefca.eu
Wetenschappelijke kennis is
1. Empirisch toetsbaar
a. Empirisme: beperken ons tot het doen van uitspraken die uiteindelijk toetsbaar zijn
dmv waarnemingen.
2. Objectief
a. Bevindingen zijn nooit persoonsgebonden.
b. Het mag niet uitmaken wie de studie uitvoert. Geen ruimte voor subjectieve
interpretatie.
3. Falsificeerbaar
a. Het moet in principe mogelijk zijn om tegenbewijs te kunnen vinden. Als er geen
enkele waarde is die die de onderzochte waarde tegenspreekt, is het onderzoek niet
falsificeerbaar.
b. “in principe”
4. Repliceerbaar
a. Een studie moet herhaald kunnen worden en dan dezelfde resultaten geven.
5. Transparant en openbaar
a. Volledig duidelijk zijn wat in onderzoek doen, hoe je dat doet en het moet voor
iedereen toegankelijk zijn. Als er fouten gemaakt worden, kunnen die fouten gezien
worden door anderen en verbeterd worden.
b. Controleerbaar en open voor krintiek
6. Logisch consistent/intern coherent
a. Consistent in ideeën, verwachtingen en conclusies.
7. Nooit ‘af’
, a. Op zoek naar kennis, maar altijd aan het controleren, opnieuw testen, altijd kritisch.
b. Resultaten zijn altijd ‘voorlopig’
c. Resultaten geven ‘steun’ voor een theorie of hypothese, maar ‘bewijzen’ ze niet.
Wetenschappelijke kennis is geen ware kennis
De empirische cyclus
Inductie: is een redeneringswijze. Je gaat van iets bijzonders/specifieks naar iets algemeens.
Observatie -> patroon -> theorie
Deductie: meer een afleiding. Van het algemeen naar iets bijzonders/specifieks.
Deductief-nomologisch model (DN)
o Algemene uitspraak + aanname, assumptie = voorspelling, afleiding (hypothese)
Theorie -> specificeren -> hypothese
Na de inductie/deductie fase ga je toetsen: hoe kun je onderzoeksvraag en hypothesen toetsen? (wat
gaan we hoe meten).
Verifiëren: hypothese is wetenschappelijk als deze bevestigd kan worden
Falsificeren: Hypothese is wetenschappelijk als deze weerlegd kan worden.
+ Bron – prodvider/initiatiefnemen maken van content
+ Bericht(en) – content van communicatie
+ Kanaal/medium – motor voor communicatieve content
+ Ontvangers – consument van de informatie
+ Ruis – vreemde informatie/afleiding wat interactie kan ontregelen in de cyclus
+ Context – relaties van individuen; situatie waarin interactie voorkomt; culturele normen
Effectiviteit van advertenties meten: 2 karakteristieke wetenschappelijke methodes:
1.) observeren/empirisme
2.) alternatieve verklaringen uitsluiten.
Survey gebruik je om vragen te stellen die de onderzoeker belangrijk vindt -> kwantitatief onderzoek
doen.
Focus groups vangen meningen van wat men zelf belangrijk vindt. Je luistert naar mensen om hun
reactie in eigen woorden op te vangen -> kwalitatief onderzoek.
Invalshoeken content bestuderen:
1. Retoriek
+ voornamelijk geïnteresseerd in ‘appeals’ of beïnvloedende technieken om men ander gedrag
over te laten nemen.
+ Theorie gebaseerd op Aristotles: zoeken naar logica met karakters en emoties ( X + Y = Z).
+ Retorische benaderingen om advertenties content te onderzoeken zijn vaak kwalitatief:
analyseren gebruik van taal.
2. Content analyse
+ Kwantitatieve methode voor beoordelen van media content
, + Vergelijkt ads wereld met echte wereld
-> Verhouding man/vrouw etc
3. Kritische analyse
+ Communicatie onderhoudt en promoot machtsstructuren in de samenleving.
+ Focus is op de relatie im/ex-pliciet tussen de bron en ontvanger.
+ Onderzoeker kijkt ook naar wat impliciet of ongezegd is.
Actie onderzoek: specifiek om iemands leven te verbeteren. Betrokken zijn met mensen om dit te
kunnen doen.
Sociale onderzoekers: gaan er vanuit dat er een externe ‘echte’ wereld is wat geobserveerd kan
worden, begrepen en overeenkomstig is op gebied van de studie van menselijke interactie -> objectief.
Fenomenologen en etnografen: proberen mensen hun subjectieve werelden te begrijpen; hoe mensen
interpreteren of de evenementen in hun leven logisch laten blijken.
Triangulatie: onderzoekers gebruiken meerdere methoden om meerdere perspectieven te bewijzen
zodat zij een goede ‘fix’ hebben op een probleem.
Q-methodology: gaan er vanuit dat de subjectieve ‘view’ van de respondenten van de wereld van
interesse zijn in combinatie met research focus met kwantitatieve computationele benaderingen tot het
opnemen en beoordelen van de views.
Soorten onderzoekers:
1. Betrokken onderzoeker: geloofwaardigheid en de rapportage worden versterkt met de
persoonlijke ervaringen en reacties tijdens het onderzoek. Valkuil: onderzoeker kan
respondenten beïnvloeden.
2. Afstandelijke onderzoeker: Geloofwaardigheid wordt gemaximaliseerd door het objectief
rapporteren en is ‘onbesmet’ door sentiment en waardevolle oordelen.
Niet-wetenschappelijke methodes
1. Op intuïtie/geloof
+ Wat je sterk aanvoelt.
2. Consensus
+ “iedereen heeft een iphone” -> overeenstemming met groepen
3. Authority
+ “Omdat mijn arts het zegt”
4. Casual observation
+ “het werkte die ene keer ook goed voor Tim”
5. Tenacity/gewoonte
+ “zo heb ik het altijd gedaan” -> selectief observeren
Wetenschappelijke claims
a. Observaties
+ (in)accuraat representatie van de wereld
+ beschrijft geen general relatie
+ bouwblokken van empirische wetenschap
-> individueel zijn ze niet interessant
, b. Hypothesis
+ Beschrijft/legt uit wat patronen/relaties zijn.
-> Kan zeker of onzeker zijn.
c. Theorie
+ Hele brede uitleg van veel gerelateerde fenomenen.
-> bestaat uit sterk ondersteunde hypotheses en de bouwblokken.
Communicatiewetenschap betekenis
+ Wetenschap bestaat uit:
1. kennis (kennis die vergaard is via duidelijk omschreven regels en principes), proces
(systematisch proces vn vergaring van theoretische kennis door middel van observatie. Proces zelf
systematisch is ook dat we conclusies trekken over meerdere systematisch gemaakte waarnemingen en
systematisch samenvoegen uit onderzoeken. Wetenschap = cumulatief) en gemeenschap (iedereen die
zich op een of andere manier met wetenschap bezig houdt).
+ Doel van wetenschap is het creëren van ware kennis en onware kennis als zodanig te ontmaskeren.
-> Kan alleen door goed onderzoek te doen.
+ Communicatiewetenschappers onderzoeken inhoud, toepassing en gevolgen van media en
communicatie. Het kan diverse aspecten van communicatie bevatten:
1. Social media
2. Organisaties of groepen
3. Interpersoonlijk
4. Intercultureel
5. Technologie
6. Persuasief
www.icahdq.org
www.nefca.eu
Wetenschappelijke kennis is
1. Empirisch toetsbaar
a. Empirisme: beperken ons tot het doen van uitspraken die uiteindelijk toetsbaar zijn
dmv waarnemingen.
2. Objectief
a. Bevindingen zijn nooit persoonsgebonden.
b. Het mag niet uitmaken wie de studie uitvoert. Geen ruimte voor subjectieve
interpretatie.
3. Falsificeerbaar
a. Het moet in principe mogelijk zijn om tegenbewijs te kunnen vinden. Als er geen
enkele waarde is die die de onderzochte waarde tegenspreekt, is het onderzoek niet
falsificeerbaar.
b. “in principe”
4. Repliceerbaar
a. Een studie moet herhaald kunnen worden en dan dezelfde resultaten geven.
5. Transparant en openbaar
a. Volledig duidelijk zijn wat in onderzoek doen, hoe je dat doet en het moet voor
iedereen toegankelijk zijn. Als er fouten gemaakt worden, kunnen die fouten gezien
worden door anderen en verbeterd worden.
b. Controleerbaar en open voor krintiek
6. Logisch consistent/intern coherent
a. Consistent in ideeën, verwachtingen en conclusies.
7. Nooit ‘af’
, a. Op zoek naar kennis, maar altijd aan het controleren, opnieuw testen, altijd kritisch.
b. Resultaten zijn altijd ‘voorlopig’
c. Resultaten geven ‘steun’ voor een theorie of hypothese, maar ‘bewijzen’ ze niet.
Wetenschappelijke kennis is geen ware kennis
De empirische cyclus
Inductie: is een redeneringswijze. Je gaat van iets bijzonders/specifieks naar iets algemeens.
Observatie -> patroon -> theorie
Deductie: meer een afleiding. Van het algemeen naar iets bijzonders/specifieks.
Deductief-nomologisch model (DN)
o Algemene uitspraak + aanname, assumptie = voorspelling, afleiding (hypothese)
Theorie -> specificeren -> hypothese
Na de inductie/deductie fase ga je toetsen: hoe kun je onderzoeksvraag en hypothesen toetsen? (wat
gaan we hoe meten).
Verifiëren: hypothese is wetenschappelijk als deze bevestigd kan worden
Falsificeren: Hypothese is wetenschappelijk als deze weerlegd kan worden.