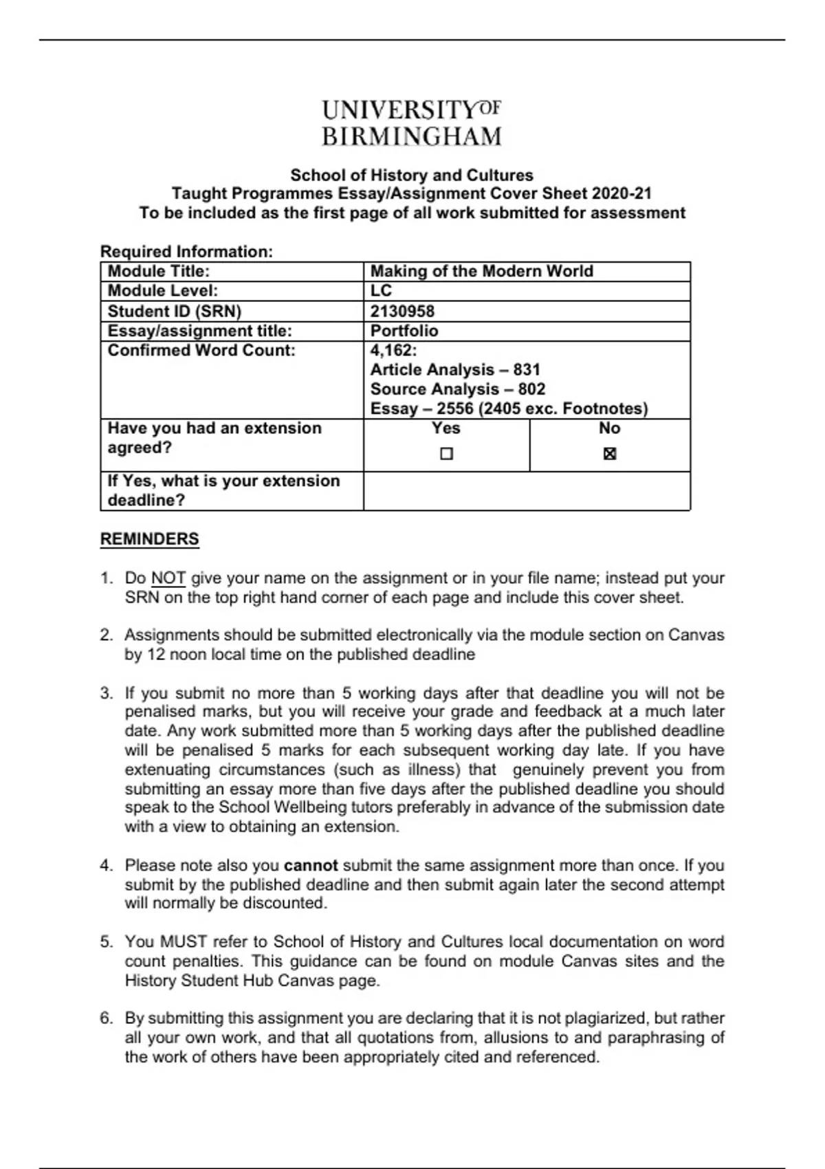
School of History and Cultures
Taught Programmes Essay/Assignment Cover Sheet 2020-21
To be included as the first page of all work submitted for assessment
Required Information:
Module Title: Making of the Modern World
Module Level: LC
Student ID (SRN) 2130958
Essay/assignment title: Portfolio
Confirmed Word Count: 4,162:
Article Analysis – 831
Source Analysis – 802
Essay – 2556 (2405 exc. Footnotes)
Have you had an extension Yes No
agreed? ☐ ☒
If Yes, what is your extension
deadline?
REMINDERS
1. Do NOT give your name on the assignment or in your file name; instead put your
SRN on the top right hand corner of each page and include this cover sheet.
2. Assignments should be submitted electronically via the module section on Canvas
by 12 noon local time on the published deadline
3. If you submit no more than 5 working days after that deadline you will not be
penalised marks, but you will receive your grade and feedback at a much later
date. Any work submitted more than 5 working days after the published deadline
will be penalised 5 marks for each subsequent working day late. If you have
extenuating circumstances (such as illness) that genuinely prevent you from
submitting an essay more than five days after the published deadline you should
speak to the School Wellbeing tutors preferably in advance of the submission date
with a view to obtaining an extension.
4. Please note also you cannot submit the same assignment more than once. If you
submit by the published deadline and then submit again later the second attempt
will normally be discounted.
5. You MUST refer to School of History and Cultures local documentation on word
count penalties. This guidance can be found on module Canvas sites and the
History Student Hub Canvas page.
6. By submitting this assignment you are declaring that it is not plagiarized, but rather
all your own work, and that all quotations from, allusions to and paraphrasing of
the work of others have been appropriately cited and referenced.
, 7. If you believe that your performance may have been affected by illness or similar
matters, your submission declares that you have followed the guidance on
extenuating circumstances and extensions. If you have submitted evidence
relating to extenuating circumstances in connection with this piece of work,
please mark the following box. ☐
8. It is your responsibility to ensure you upload the correct version of your essay to
the correct assignment section on Canvas. Assignments should be submitted as
Word of PDF documents only.
STUDENT REFLECTION ON FEEDBACK AND ASSESSMENT
In the academic year 2020-21 we are asking you, as the starting point for your
summative assessments, to complete this individual Student Reflection on Feedback
sheet when you submit your work.
This coversheet invites you to think about feedback you have received at earlier points
in your course and how you have responded to it in this new piece of work. Thinking
carefully about the feedback you have received previously can help to improve your
performance. It is helpful, too, for the marker to know what feedback you have had
previously on similar pieces of work, and how you have tried to act on it. Knowing the
range of different kinds of feedback you have had can also help us to use more those
kinds that are most helpful to you.
Either in a comment on what you write here, or in their feedback to you, your marker
will engage with your reflection. The extent to which you have improved on previous
pieces of work will NOT affect your mark. Your work will be marked on the basis of its
own merits as a piece of academic work, NOT on the basis of the answers you give in
the box below. Instead, your response will help us to work with you to make feedback
helpful.
What feedback have you received on earlier assessments, or while preparing
this assessment?
I received feedback on my source and book analysis
How have you responded to that feedback in this assessment?
I corrected any spelling or grammar mistakes
I completed further wider reading
I improved my referencing
Taught Programmes Essay/Assignment Cover Sheet 2020-21
To be included as the first page of all work submitted for assessment
Required Information:
Module Title: Making of the Modern World
Module Level: LC
Student ID (SRN) 2130958
Essay/assignment title: Portfolio
Confirmed Word Count: 4,162:
Article Analysis – 831
Source Analysis – 802
Essay – 2556 (2405 exc. Footnotes)
Have you had an extension Yes No
agreed? ☐ ☒
If Yes, what is your extension
deadline?
REMINDERS
1. Do NOT give your name on the assignment or in your file name; instead put your
SRN on the top right hand corner of each page and include this cover sheet.
2. Assignments should be submitted electronically via the module section on Canvas
by 12 noon local time on the published deadline
3. If you submit no more than 5 working days after that deadline you will not be
penalised marks, but you will receive your grade and feedback at a much later
date. Any work submitted more than 5 working days after the published deadline
will be penalised 5 marks for each subsequent working day late. If you have
extenuating circumstances (such as illness) that genuinely prevent you from
submitting an essay more than five days after the published deadline you should
speak to the School Wellbeing tutors preferably in advance of the submission date
with a view to obtaining an extension.
4. Please note also you cannot submit the same assignment more than once. If you
submit by the published deadline and then submit again later the second attempt
will normally be discounted.
5. You MUST refer to School of History and Cultures local documentation on word
count penalties. This guidance can be found on module Canvas sites and the
History Student Hub Canvas page.
6. By submitting this assignment you are declaring that it is not plagiarized, but rather
all your own work, and that all quotations from, allusions to and paraphrasing of
the work of others have been appropriately cited and referenced.
, 7. If you believe that your performance may have been affected by illness or similar
matters, your submission declares that you have followed the guidance on
extenuating circumstances and extensions. If you have submitted evidence
relating to extenuating circumstances in connection with this piece of work,
please mark the following box. ☐
8. It is your responsibility to ensure you upload the correct version of your essay to
the correct assignment section on Canvas. Assignments should be submitted as
Word of PDF documents only.
STUDENT REFLECTION ON FEEDBACK AND ASSESSMENT
In the academic year 2020-21 we are asking you, as the starting point for your
summative assessments, to complete this individual Student Reflection on Feedback
sheet when you submit your work.
This coversheet invites you to think about feedback you have received at earlier points
in your course and how you have responded to it in this new piece of work. Thinking
carefully about the feedback you have received previously can help to improve your
performance. It is helpful, too, for the marker to know what feedback you have had
previously on similar pieces of work, and how you have tried to act on it. Knowing the
range of different kinds of feedback you have had can also help us to use more those
kinds that are most helpful to you.
Either in a comment on what you write here, or in their feedback to you, your marker
will engage with your reflection. The extent to which you have improved on previous
pieces of work will NOT affect your mark. Your work will be marked on the basis of its
own merits as a piece of academic work, NOT on the basis of the answers you give in
the box below. Instead, your response will help us to work with you to make feedback
helpful.
What feedback have you received on earlier assessments, or while preparing
this assessment?
I received feedback on my source and book analysis
How have you responded to that feedback in this assessment?
I corrected any spelling or grammar mistakes
I completed further wider reading
I improved my referencing