100% satisfaction guarantee Immediately available after payment Both online and in PDF No strings attached 4.6 TrustPilot
logo-home
Exam (elaborations)

ATI MENTAL HEALTH PROCTORED FORM A,B&FORM C 2019EXAM

Rating
5.0
(3)
Sold
-
Pages
31
Grade
A+
Uploaded on
25-10-2023
Written in
2023/2024

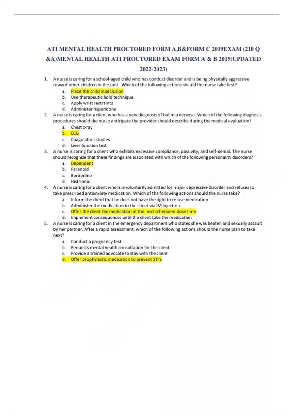
ATI MENTAL HEALTH PROCTORED FORM A,B&FORM C 2019EXAM (210 Q &A)MENTAL HEALTH ATI PROCTORED EXAM FORM A & B 2019(UPDATED ) 1. A nurse is caring for a school-aged child who has conduct disorder and is being physically aggressive toward other children in the unit. Which of the following actions should the nurse take first? a. Place the child in seclusion b. Use therapeutic hold technique c. Apply wrist restraints d. Administer risperidone 2. A nurse is caring for a client who has a new diagnosis of bulimia nervosa. Which of the following diagnosis procedures should the nurse anticipate the provider should describe during the medical evaluation? a. Chest x-ray b. ECG c. Coagulation studies d. Liver function test 3. A nurse is caring for a client who exhibits excessive compliance, passivity, and self-denial. The nurse should recognize that these findings are associated with which of the following personality disorders? a. Dependent b. Paranoid c. Borderline d. Histrionic 4. A nurse is caring for a client who isinvoluntarily admitted for major depressive disorder and refusesto take prescribed antianxiety medication. Which of the following actions should the nurse take? a. Inform the client that he does not have the right to refuse medication b. Administer the medication to the client via IM injection c. Offer the client the medication at the next scheduled dose time d. Implement consequences until the client take the medication 5. A nurse is caring for a client in the emergency department who states she was beaten and sexually assault by her partner. After a rapid assessment, which of the following actions should the nurse plan to take next? a. Conduct a pregnancy test b. Requests mental health consultation for the client c. Provide a trained advocate to stay with the client d. Offer prophylactic medication to prevent STI’s

Show more Read less
Institution
HSA - Health Service Administration
Course
HSA - Health Service Administration











Whoops! We can’t load your doc right now. Try again or contact support.

Written for

Institution
HSA - Health Service Administration
Course
HSA - Health Service Administration

Document information

Uploaded on
October 25, 2023
Number of pages
31
Written in
2023/2024
Type
Exam (elaborations)
Contains
Questions & answers

Subjects

Reviews from verified buyers

Showing all 3 reviews
1 year ago

1 year ago

1 year ago

5.0

3 reviews

5
3
4
0
3
0
2
0
1
0
Trustworthy reviews on Stuvia

All reviews are made by real Stuvia users after verified purchases.

Get to know the seller

Seller avatar
Reputation scores are based on the amount of documents a seller has sold for a fee and the reviews they have received for those documents. There are three levels: Bronze, Silver and Gold. The better the reputation, the more your can rely on the quality of the sellers work.
WORLDNURSE Chamberlain College Of Nursing
View profile
Follow You need to be logged in order to follow users or courses
Sold
163
Member since
2 year
Number of followers
42
Documents
3417
Last sold
14 hours ago
STUDY TOP EXAMS

.Welcome to my academic support store, your trusted destination for top-tier homework help and tutoring services! Specializing in key subjects like Psychology, Nursing, Human Resource Management, and Mathematics, I’m dedicated to helping students excel with high-quality, meticulously crafted resources. My mission is to deliver scholarly, reliable content that guarantees excellent grades, earning me a reputation as one of Stuvia’s BEST GOLD RATED TUTORS. Whether you need assistance with quizzes, exams, or detailed study materials, I prioritize your success with a commitment to academic excellence and results you can count on.

Read more Read less
5.0

2358 reviews

5
2325
4
13
3
8
2
4
1
8

Recently viewed by you

Why students choose Stuvia

Created by fellow students, verified by reviews

Quality you can trust: written by students who passed their tests and reviewed by others who've used these notes.

Didn't get what you expected? Choose another document

No worries! You can instantly pick a different document that better fits what you're looking for.

Pay as you like, start learning right away

No subscription, no commitments. Pay the way you're used to via credit card and download your PDF document instantly.

Student with book image

“Bought, downloaded, and aced it. It really can be that simple.”

Alisha Student

Frequently asked questions