Written by students who passed Immediately available after payment Read online or as PDF Wrong document? Swap it for free 4.6 TrustPilot
logo-home
Class notes

Continuidad y derivabilidad

Rating
-
Sold
-
Pages
7
Uploaded on
08-10-2023
Written in
2022/2023

Continuidad y derivabilidad

Institution
Course

Content preview

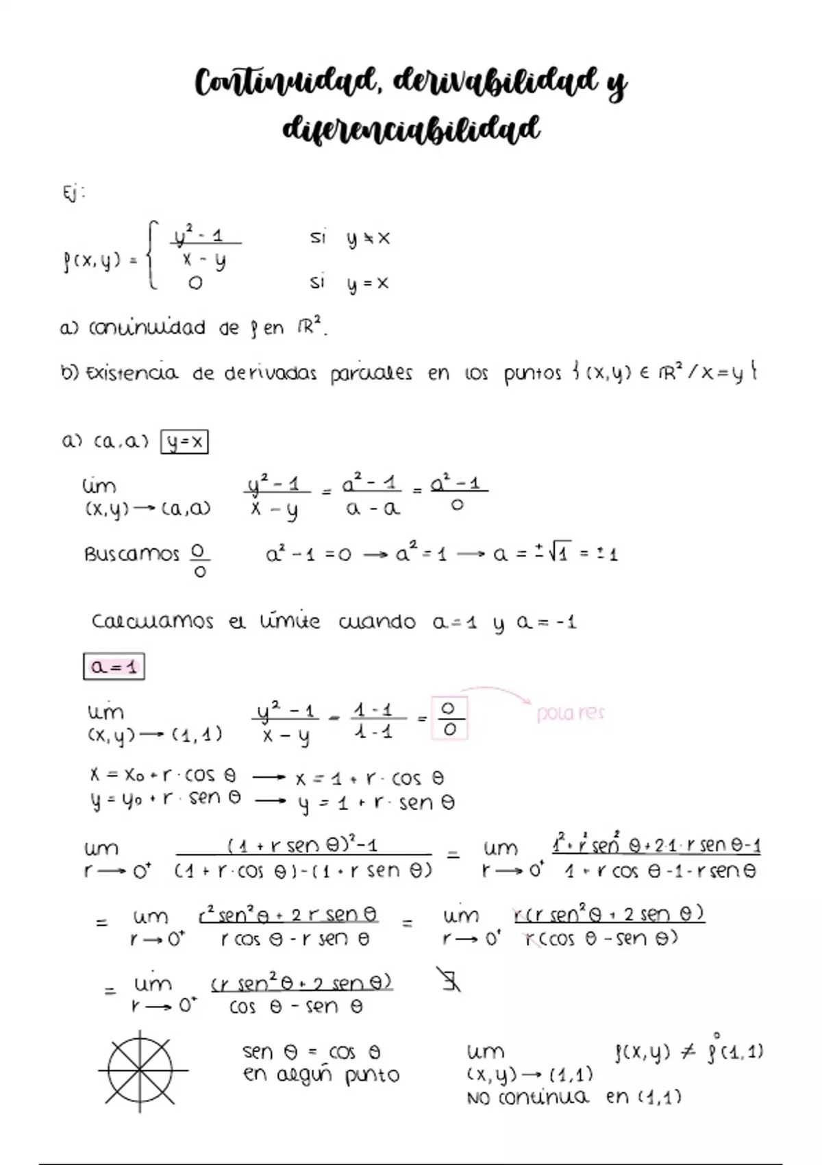
Continuidad, derivabilidad y
diferenciabilidad
Ej:



E
=
si y EX

six,y)
si x
y =




as continuidad de fen IR2.

b) Existencia de derivadas pariales en los puntos ((X,y) e IRP/x y
=




a) (a,a) y =

x



im y
- 1 a2
=
-

1 a2
=
-
1

I
(X,y)
-
(a,a) x -




y a -

a



BUSCAMOS 8 a
-
1 0
= -
=
a1 -
a =1
=
11
=




I




calculamos el limite cuando a 1 =




ya
-
= 1


a 1 =




~

um y2 -

1 1
=
-

1 =S polares
1 1 D
(x,y)
-
(1,1) x -




y
-




X xx r.COS&
=
+




X 1 =
r.COSA
+




y y r.sent -y 1 r.sene
+

=
+
=




um (1 +

r ser e)- 1
-
um isen
1 + 2.1.usen - 1

r -
(1 r.COS 81-11 +


rsen
+

5) r = 01 rCOS 8-1-rsent
+




-
um rsen8+ 2r sent
-
uim sen + 2 sen ol
ver

rs Strcos8-rsen8 ~- "NCCOS 8-sen)

-
↳in ir sen8+2 sen 8) 7
r - Ot COS A-sen o


Sen t cDS =
8 un f(x,y) =

g(1,1)
en algun punto (x,y) -
(1,1)
No continua en 11,1)

, a =
-


1


↳im y2 -
1 1
=
-

1
-
S

71) D
(x,y) ( 1, 1)x 1
y
-
- - -
-
-




X =
-
1 rCDS
+




y
-


= 1 rsen
+




im (- 1 rsent)2-1
+




-un 1 rsen-2rsen
+


o

8 -c 1 rsent)
"

r 0 1 rCOS rst rcos8-rsent
-
- +


-
+




-
ui rsens-ersene 7
r - 0 rcos-rsen 8


↳m f(X,y) f( 1, 1) = -
-




(x,y) =
(-1.-1) No continua (-1,-1)


come pregunta sies continua en IR entonces decimos que no

10 es porque en 11,1) y (-1,-1) no es continua.

Para ser continua en IR tiene que serlo en todos sus puntos



3) Derivada en varias variables



E
1) por definicion


2) por reglas

1) f(X,y) y2
=
-
1

x
y
-




a2 -


1 - 3

ex Um um
f(a+ha)-f(a,a)
=
= ath- a
n - D n =
0 h


- 1
a

ene
-
n =Un a?- 1 a 1
=
um
-1
a S
=




n - S ↳ h - 0 n2 a =

- 1 no h

no s
D
I

D
n tiende a pero no eso.

S D

ni

07
sia 1ya +
1n
+
=
-

Written for

Institution
Study
Course

Document information

Uploaded on
October 8, 2023
Number of pages
7
Written in
2022/2023
Type
Class notes
Professor(s)
Obaya
Contains
All classes

Subjects

$5.93
Get access to the full document:

Wrong document? Swap it for free Within 14 days of purchase and before downloading, you can choose a different document. You can simply spend the amount again.
Written by students who passed
Immediately available after payment
Read online or as PDF

Get to know the seller
Seller avatar
nararuiz-capillas

Get to know the seller

Seller avatar
nararuiz-capillas Universidad de Valladolid
Follow You need to be logged in order to follow users or courses
Sold
2
Member since
4 year
Number of followers
2
Documents
23
Last sold
4 year ago

0.0

0 reviews

5
0
4
0
3
0
2
0
1
0

Trending documents

Recently viewed by you

Why students choose Stuvia

Created by fellow students, verified by reviews

Quality you can trust: written by students who passed their tests and reviewed by others who've used these notes.

Didn't get what you expected? Choose another document

No worries! You can instantly pick a different document that better fits what you're looking for.

Pay as you like, start learning right away

No subscription, no commitments. Pay the way you're used to via credit card and download your PDF document instantly.

Student with book image

“Bought, downloaded, and aced it. It really can be that simple.”

Alisha Student

Frequently asked questions