Written by students who passed Immediately available after payment Read online or as PDF Wrong document? Swap it for free 4.6 TrustPilot
logo-home
Exam (elaborations)

EE 306 Sol HW5

Rating
-
Sold
-
Pages
3
Grade
A+
Uploaded on
27-09-2023
Written in
2023/2024

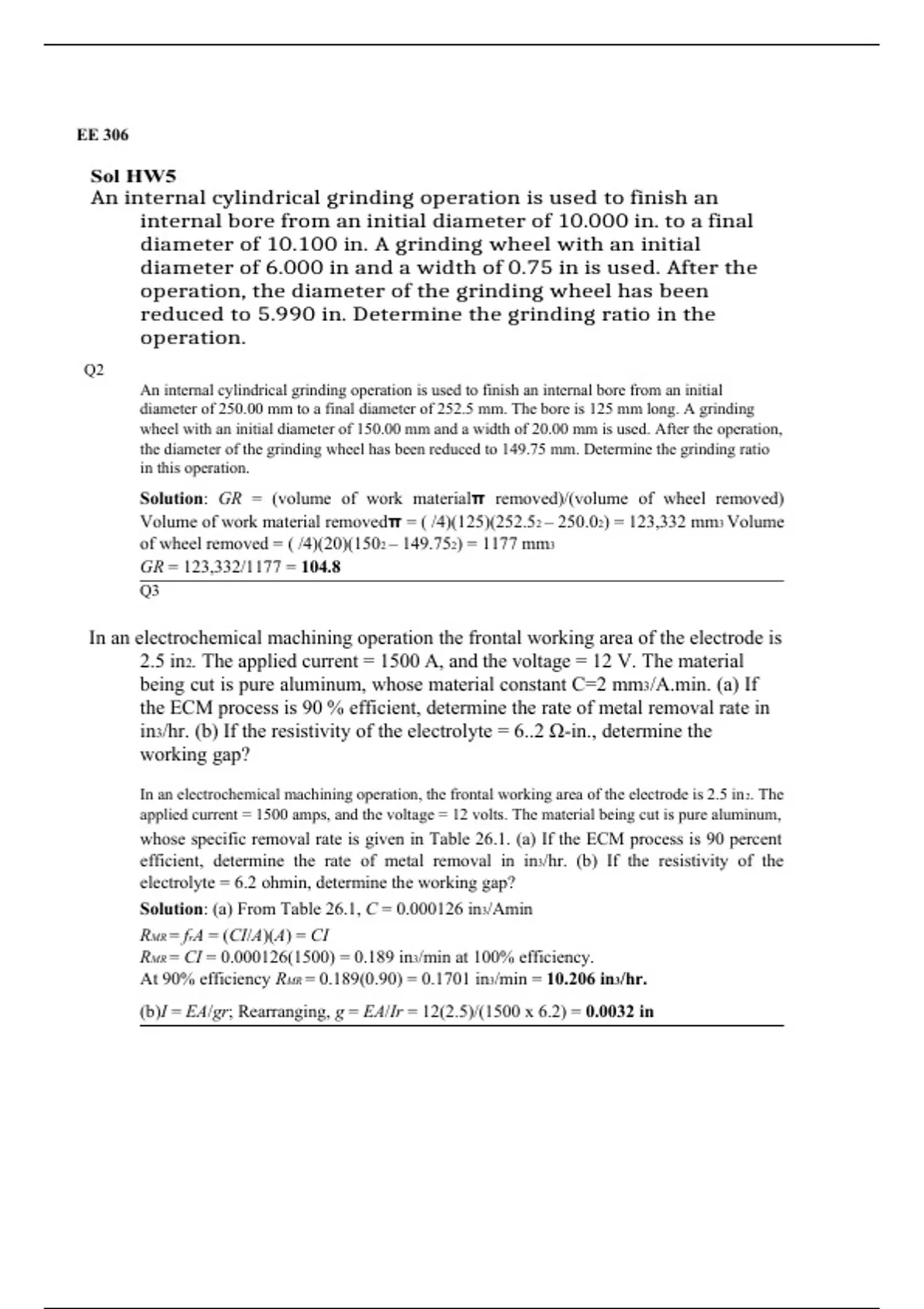
EE 306 Sol HW5 An internal cylindrical grinding operation is used to finish an internal bore from an initial diameter of 10.000 in. to a final diameter of 10.100 in. A grinding wheel with an initial diameter of 6.000 in and a width of 0.75 in is used. After the operation, the diameter of the grinding wheel has been reduced to 5.990 in. Determine the grinding ratio in the operation. Q2 An internal cylindrical grinding operation is used to finish an internal bore from an initial diameter of 250.00 mm to a final diameter of 252.5 mm. The bore is 125 mm long. A grinding wheel with an initial diameter of 150.00 mm and a width of 20.00 mm is used. After the operation, the diameter of the grinding wheel has been reduced to 149.75 mm. Determine the grinding ratio in this operation. Solution: GR = (volume of work materialπ removed)/(volume of wheel removed) Volume of work material removedπ = ( /4)(125)(252.52 – 250.02) = 123,332 mm3 Volume of wheel removed = ( /4)(20)(1502 – 149.752) = 1177 mm3 GR = 123,332/1177 = 104.8 Q3 In an electrochemical machining operation the frontal working area of the electrode is 2.5 in2. The applied current = 1500 A, and the voltage = 12 V. The material being cut is pure aluminum, whose material constant C=2 mm3/A.min. (a) If the ECM process is 90 % efficient, determine the rate of metal removal rate in in3/hr. (b) If the resistivity of the electrolyte = 6..2 Ω-in., determine the working gap? In an electrochemical machining operation, the frontal working area of the electrode is 2.5 in2. The applied current = 1500 amps, and the voltage = 12 volts. The material being cut is pure aluminum, whose specific removal rate is given in Table 26.1. (a) If the ECM process is 90 percent efficient, determine the rate of metal removal in in3/hr. (b) If the resistivity of the electrolyte = 6.2 ohm­in, determine the working gap? Solution: (a) From Table 26.1, C = 0.000126 in3/A­min RMR = frA = (CI/A)(A) = CI RMR = CI = 0.000126(1500) = 0.189 in3/min at 100% efficiency. At 90% efficiency RMR = 0.189(0.90) = 0.1701 in3/min = 10.206 in3/hr. (b)I = EA/gr; Rearranging, g = EA/Ir = 12(2.5)/(1500 x 6.2) = 0.0032 in Q4 A square hole is to be machined through a 1 in, plate of pure copper (valence = 1) using ECM. The hole is 1.0 in on each side, but the electrode that is used to cut the hole is slightly less than 1 in. on its sides to allow for over cut, and its shape includes a hole in its center to permit the flow of electrolyte and to reduce the area of the cut. This tool design results in a frontal area of 0.3 in2. The applied current = 1000 A. Using an efficiency of 95%, determine how long it will take to cut the hole. A square hole is to be cut using ECM through a plate of pure copper (valence = 1) that is 20 mm thick. The hole is 25 mm on each side, but the electrode used to cut the hole is slightly less that 25 mm on its sides to allow for overcut, and its shape includes a hole in its center to permit the flow of electrolyte and to reduce the area of the cut. This tool design results in a frontal area of 200 mm2. The applied current = 1000 amps. Using an efficiency of 95%, determine how long it will take to cut the hole. Solution: From Table 26.1, C = 7.35 x 10­2 mm3/A­s From Eq. (26.6) fr = CI/A = (7.35 x 10­2 mm3/A­s)(1000 A)/(200 mm2) = 0.3675 mm/s At 95% efficiency, fr = 0.95(0.3675 mm/s) = 0.349 mm/s Time to machine = (20 mm)/(0.349 mm/s) = 57.3 s Q5 An electric discharge machining operation is being performed on tungsten. Determine the amount of metal removed in the operation after 1 hr at a discharge amperage 20 A. If the work material were tin, determine the amount of material removed in the same time. n electric discharge machining operation is being performed on two work materials: tungsten and tin. Determine the amount of metal removed in the operation after one hour at a discharge amperage = 20 amps for each of these metals. Use metric units and express°the answers° in mm3/hr. From Table 4.1, the melting temperatures of tungsten and tin are 3410 C and 232 C, respectively. Solution: For tungsten, using Eq. (26.7), RMR = KI/Tm1.23 = 664(20)/(34101.23) = 13,280/22,146 = 0.5997 mm3/s = 2159 mm3/hr For tin, RMR = KI/Tm1.23 = 664(20)/(2321.23) = 13,280/812 = 16.355 mm3/s = 58,878 mm3/hr (a) A metal removal rate of 0.01 in3/min is achieved in a certain EDM operation on a pure iron work piece. What metal removal rate would be achieved on nickel in this EDM operation if the same discharge current were used? Q6-a A metal removal rate of 0.01 in3/min is achieved in a certain EDM operation on a pure iron workpart. What metal removal rate would be achieved on nickel in this EDM operation,° if the same° discharge current were used? The melting temperatures of iron and nickel are 2802 F and 2651 F, respectively. Solution: For iron, RMR = 5.08 I/28021.23 = 5.08 I/17,393 = 0.000292 Iin3/min Given that RMR = 0.01 in3/min 0.000292 I = 0.01 I = 0.01/0.000292 = 34.24 A. For = nickel, RMR = 5.08(34.24)/26511.23 = 173.93/16,248 = 0.0107 in3/min

Show more Read less
Institution
EE 306
Course
EE 306








Whoops! We can’t load your doc right now. Try again or contact support.

Written for

Institution
EE 306
Course
EE 306

Document information

Uploaded on
September 27, 2023
Number of pages
3
Written in
2023/2024
Type
Exam (elaborations)
Contains
Questions & answers
$10.49
Get access to the full document:

Wrong document? Swap it for free Within 14 days of purchase and before downloading, you can choose a different document. You can simply spend the amount again.
Written by students who passed
Immediately available after payment
Read online or as PDF

Get to know the seller
Seller avatar
Docmercy

Get to know the seller

Seller avatar
Docmercy Chamberlain College Of Nursing
View profile
Follow You need to be logged in order to follow users or courses
Sold
10
Member since
2 year
Number of followers
4
Documents
658
Last sold
11 months ago

0.0

0 reviews

5
0
4
0
3
0
2
0
1
0

Trending documents

Recently viewed by you

Why students choose Stuvia

Created by fellow students, verified by reviews

Quality you can trust: written by students who passed their tests and reviewed by others who've used these notes.

Didn't get what you expected? Choose another document

No worries! You can instantly pick a different document that better fits what you're looking for.

Pay as you like, start learning right away

No subscription, no commitments. Pay the way you're used to via credit card and download your PDF document instantly.

Student with book image

“Bought, downloaded, and aced it. It really can be that simple.”

Alisha Student

Frequently asked questions