Written by students who passed Immediately available after payment Read online or as PDF Wrong document? Swap it for free 4.6 TrustPilot
logo-home
Exam (elaborations)

HESI V5 Study Guide

Rating
-
Sold
-
Pages
22
Grade
A+
Uploaded on
19-09-2023
Written in
2023/2024

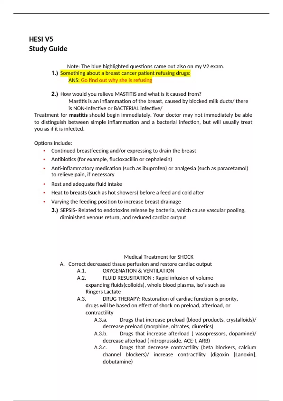
HESI V5 Study Guide Note: The blue highlighted questions came out also on my V2 exam. 1.) Something about a breast cancer patient refusing drugs: ANS: Go find out why she is refusing 2.) How would you relieve MASTITIS and what is it caused from? Mastitis is an inflammation of the breast, caused by blocked milk ducts/ there is NON-Infective or BACTERIAL infective/ Treatment for mastitis should begin immediately. Your doctor may not immediately be able to distinguish between simple inflammation and a bacterial infection, but will usually treat you as if it is infected. Options include: • Continued breastfeeding and/or expressing to drain the breast • Antibiotics (for example, flucloxacillin or cephalexin) • Anti-inflammatory medication (such as ibuprofen) or analgesia (such as paracetamol) to relieve pain, if necessary • Rest and adequate fluid intake • Heat to breasts (such as hot showers) before a feed and cold after • Varying the feeding position to increase breast drainage 3.) SEPSIS- Related to endotoxins release by bacteria, which cause vascular pooling, diminished venous return, and reduced cardiac output Medical Treatment for SHOCK A. Correct decreased tissue perfusion and restore cardiac output A.1. OXYGENATION & VENTILATION A.2. FLUID RESUSITATION : Rapid infusion of volume-expanding fluids(colloids), whole blood plasma, iso’s such as Ringers Lactate A.3. DRUG THERAPY: Restoration of cardiac function is priority, drugs will be based on effect of shock on preload, afterload, or contractility A.3.a. Drugs that increase preload (blood products, crystalloids)/ decrease preload (morphine, nitrates, diuretics) A.3.b. Drugs that increase afterload ( vasopressors, dopamine)/ decrease afterload ( nitroprusside, ACE-I, ARB) A.3.c. Drugs that decrease contractility (beta blockers, calcium channel blockers)/ increase contractility (digoxin [Lanoxin], dobutamine) A.4. MONITOR: CVP, LOC, ABG’s, VITALS, Skin changes, Fluid status 4.) There will be a question relating to anti-infective meds, and your ANS: is anti- effective meds Anti-effectives Anti-infective are drugs that can either kill an infectious agent or inhibit it from spreading. Anti- infective include antibiotics and antibacterial, antifungals, antivirals and antiproatozoans 5.) Question will state something about the kids want the nurse to force their mom whom is refusing her meds to take them, so the nurse should go in the room and… ANS: is D you will go and in to find out why she don’t want meds and treatment 6) A Girl patient eats a handful of pills… ANS: find out what pills she took 7) A nurse arrives on the scene of an accident and there is a person face down in water but her phone is however many feet away what the nurse would do first ANS: Immobilize neck ASSESS for LOC, check or reassess Airway 8) Question about restraints and where and how you would tie them ANS: bed frame with a quick release knot choriocarcinoma Nursing Assessment *Vaginal bleeding in first trimester *Uterus larger than expected for gestational age *Anemia/ excessive N/V, Abdominal cramping, early s/s of preeclampsia Nursing plans and Interventions • Provide preoperative and postoperative D&C care. • *****Instruct patient to prevent pregnancy for 1 year in the (HESI) book, on hesi exam the answer will be 6 months for some reason • Instruct patient to obtain monthly serum hCG levels for 1 year clean 10) Mouth care for dentures: ANS: Put towel in sink and place dentures on towel then 11) You suspect that a Patient is being abused what would you do? ANS: go check it out, as in doing a home visit 12) Question about a patient presenting with decreased BP ANS: Give IV fluids 13) Question relating to stoma care, you will assess and note that the stoma is dusty, this means that there is necrotic tissue; what do you do? ANS: Call surgeon 14) Question about a baby on digoxin and the mother just administered it and then the baby vomits and it will ask what you do about next dose ANS: Hold Digoxin 15) Drag and Drop Question: Patient has adverse reaction to meds: This is the order 16) Drag and Drop in order question: 1. Place catheter set in between patient 2. Apply sterile gloves, and maintain sterile field 3. Cleanse the Meatus, using that Benodine stuff 4. Lube the catheter tip and then insert Foley Catheter, or any catheter for that matter KNOW SKILLS Gather supplies, explain procedure, maintain a sterile field at all times sterile gloves, prepare your iodine, lube, and syringe for balloon, then move everything in between patients legs, only contaminate one hand and use the other to perform procedure. Watch YOU TUBE if you need a recap 17) Picture Questions: Patient lying in bed only shows lower half from where Jackson- Pratt Drain/tube is at and the bulb syringe is full your ANS: you’re going to drain it The Jackson-Pratt (JP) drain is a special tube that prevents body fluid from collecting near the site of your surgery. The drain pulls this fluid (by suction) into a bulb. The bulb can then be emptied and the fluid inside measured. At first, this fluid is bloody. Then, as your wound heals, the fluid changes to light pink, light yellow, or clear. The drain will stay in place until less than 30 cc (about 2 tablespoons) of fluid can be collected in a 24-hour period. Caring for the JP drain is easy. Depending on how much fluid drains from your surgical site, you will need to empty the bulb every 8 to 12 hours. The bulb should be emptied when it is half full. 18) Picture question/ HOT SPOT- Picture of where to place patches for defibrillation/ got to YOU TUBE 19) Question about a patient has a PCA pump and wants off the pump, you need to read this question carefully, and we believe the ANS: is D relating to food and diet 20) There will be a picture of a central line and the question is going to ask you what you would infuse into a central line… ANS: believe the answer is A but just in case here is a recap on central lines: A central line is indicated for patients who need: parenteral nutrition, chemotherapy or other vesicant or irritating solutions, blood products, antibiotics, IV medications or solutions (when peripheral access is limited), central venous pressure (CVP) monitoring 21) Picture/ video of a mom giving her child insulin she wipes the area, then injects into the deltoid muscle then squeezes ANS: she used the wrong site for injection redirect her to right site. 22) Vasopressors Therapeutic response: is to have increased BP, cardiac output 23) You will listen to heart sounds and it will ask you what you hear ANS: S1, S2, S3 24) S/S of HYPOGLYCEMIA- shakiness, irritability, Nausea, sweating, headache, lethargy, confusion S/S of HYPERGLYCEMIA- polydipsia, polyuria, polyphagia, blurred vision, weakness, weight loss, syncope 25) Glaucoma- a condition characterized by increased intraocular pressure (IOP), is the 2nd leading cause of blindness in the US The question is something about Patient having Pain, ANS: Contact Surgeon * Gradual, painless vision loss, asymptomatic in the early stages * Usually diagnosed during routine visual examination * Early s/s: Increase in IOP ˃22 mm Hg Decreased accommodation or ability to focus *Late s/s: loss of peripheral vision; seeing halos around lights Decreased visual acuity not correctable with eyeglasses Headache or eye pain that can be so severe to cause N/V [acute closed- angle glaucoma] *Treatments and interventions for glaucoma 1) Eye drops are needed for the rest of their life 2) Avoid activities that increase IOP (including constipation) 3) Remove rugs, adjust lighting Page 131 in hesi if you need further review 26) Head Injury- any traumatic damage to the head A. Open head injury- fracture of skull or penetration of the skull by object B. Closed “ “(CHI)-result of blunt trauma (more serious R/T increased ICP in closed vault) C. Increased ICP- MAIN CONCERN in head injury; it is R/T edema, hemorrhage, impaired cerebral auto regulation, & hydrocephalus ASSESSMENT- LOC, vertigo, confusion, delirium, pupils, restlessness, irritability, Changes in vitals, headache, vomiting, seizures, ataxia, abnormal posturing (decerebrate or decorticate), and CSF Nursing Plans and Interventions: 1) MAINTAIN AIRWAY, 2) HOB 30-45˚, 3) Neuro Vitals every 1-2 hrs, temp 4) Avoid activities that increase ICP 5) Administer Mannitol (Osmitrol) 27) Stroke/ CVA- Sudden loss of brain function resulting from a disruption in the blood supply to a part of the brain; classified as thrombotic or hemorrhagic Pages 144-146 The question will be about a Patient comes into the ER with having multiple TIAs ANS: Contact stroke team A. Risk Factors: HTN, previous TIA’s, cardiac disease, advanced age, Diabetes, Oral contraceptives, smoking, alcohol ˃than 2 drinks per day B. Assessment: Change in LOC, paresthesia, paralysis, APHASIA, agraphia, memory loss, Vision impairment, bladder and bowel function, ADL’s Feature LEFT HEMI RIGHT HEMI Language • Asphagia • Agraphia • May be alert and oriented Memory • No deficit • Disoriented • Can’t recognize faces Vision • Reading problems, letters, words • deficits in right visual field • Visual/spatial deficits • Neglect of left visual field • Loss of depth perception Behavior • Slow, cautious, anxious, depression r/t to illness • Quick anger/ frustration • Impulsive • Unaware of Neuro deficits • Confabulates • Euphoric • Poor judgment Hearing • No deficit • Loses ability to hear tonal variations 28.) Describe the clinical symptoms of anorexia nervosa? ANS: Weight loss of at least 15% of ideal or original body weight; hair loss; dry skin; irregular heart rate; decreased pulse; decreased BP; amenorrhea; dehydration; electrolyte imbalance. 29.) Parkinson’s: The question is going to ask about you addressing someone’s emotional status of someone with Parkinson’s ANS: will be the one who is crying frequently 30.) Delegation Questions to LPN? There will be a few on these There is one in particular that asks what the Nurse will assign to the UAP, and The ANS: Get blood from bank From the other paper I sent you guys: DO NOT delegate what you can EAT!! E- Evaluate A- Assess T- Teach . 31) Emphysema- Pink Puffer: Barrel chest is indicative of emphysema and is caused by use of accessory muscles to breath. The person works harder to breath, but the amount of O2 taken in is adequate to oxygenate the tissues. (Hesi hint pg. 64) 32) Question relating asthma; ANS: will be Patient can’t breathe and give nebulizer treatment and if you see another question relating to bronchioles the ANS: will be for asthma Asthma- inflammatory reactive airway disease that is commonly chronic The smooth muscle of the Bronchioles and bronchi in asthma patients CONSTRICT, air trapping occurs in the alveoli 33) Question on labs and the ANS: will be Potassium 34) Question about sodium and potassium (will be 3.0) ANS: will be hold Lasix R/T will increase BP 35) Lady has a 4 year old son in ER or somewhere, and how would you assess this child? ANS: The answer is take a pen light and have the child blow on it and the light goes out!! (v1) 36) Nuchal rigidity- Impaired neck flexion resulting from muscle spasm (not actual rigidity of the extensor muscles of the neck usually attributed to meningeal irritation. They will present with a positive Brudzinkis and Kernigs sign, and also have photophobia 37) Schizophrenia- Use Bleuler’s four A’s to help remember the important characteristics of schizophrenia: Autism (preoccupied with self) lacks social skills Affect (flat) dull, humorless Associations (loose) cold, quiet, detached, introverted Ambivalence (difficulty making decisions) 38). Ace Inhibitors adverse reaction- hypotension, cough, hyperkalemia, headache, dizziness, fatigue, nausea, and renal impairment. 39) Osteomyelitis how do you develop it? ANS: Several ways to develop this infection of the bone, one way is for bacteria to travel through bloodstream and spread to the bone , but most common way is for infection to be elsewhere in the body, such as pneumonia, or a urinary tract infection that spreads through the blood and then to the bone. Do blood cultures and antibiotics, then surgery if necessary to drain. 40) There will be a picture of insulin sliding scale chart- believe it was 8u just know these and you will get the answer right ANS: Most common 150-199 2u / 200-249 4u/ 250-299 6u /300-349 8u over 400 call doctor. (v2)

Show more Read less
Institution
HESI V5
Course
HESI V5










Whoops! We can’t load your doc right now. Try again or contact support.

Written for

Institution
HESI V5
Course
HESI V5

Document information

Uploaded on
September 19, 2023
Number of pages
22
Written in
2023/2024
Type
Exam (elaborations)
Contains
Questions & answers
$10.49
Get access to the full document:

Wrong document? Swap it for free Within 14 days of purchase and before downloading, you can choose a different document. You can simply spend the amount again.
Written by students who passed
Immediately available after payment
Read online or as PDF

Get to know the seller
Seller avatar
Docmercy

Get to know the seller

Seller avatar
Docmercy Chamberlain College Of Nursing
View profile
Follow You need to be logged in order to follow users or courses
Sold
10
Member since
2 year
Number of followers
4
Documents
658
Last sold
11 months ago

0.0

0 reviews

5
0
4
0
3
0
2
0
1
0

Trending documents

Recently viewed by you

Why students choose Stuvia

Created by fellow students, verified by reviews

Quality you can trust: written by students who passed their tests and reviewed by others who've used these notes.

Didn't get what you expected? Choose another document

No worries! You can instantly pick a different document that better fits what you're looking for.

Pay as you like, start learning right away

No subscription, no commitments. Pay the way you're used to via credit card and download your PDF document instantly.

Student with book image

“Bought, downloaded, and aced it. It really can be that simple.”

Alisha Student

Frequently asked questions