100% satisfaction guarantee Immediately available after payment Both online and in PDF No strings attached 4.6 TrustPilot
logo-home
Exam (elaborations)

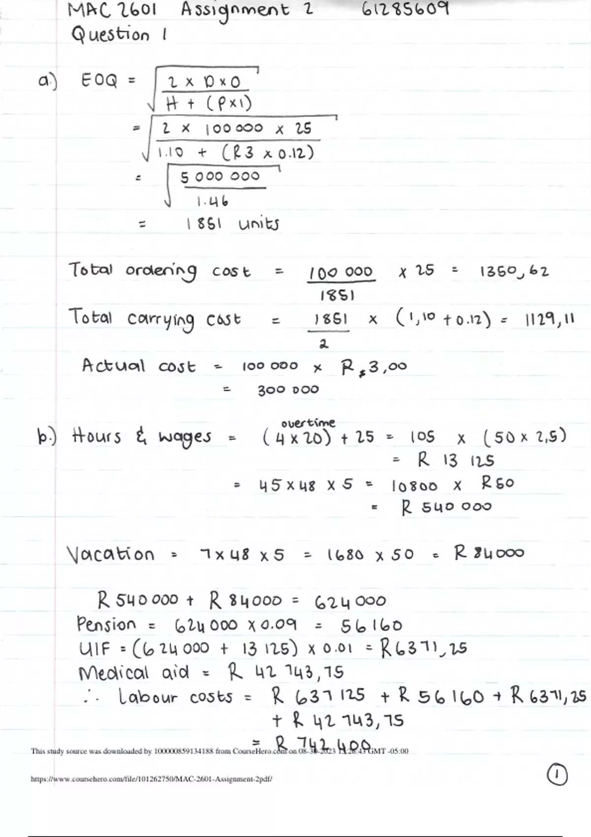
MAC 2601 ASSIGNEMENT QUESTIONS AND ANSWERS

Rating
-
Sold
-
Pages
9
Grade
A+
Uploaded on
03-09-2023
Written in
2023/2024

Questions and answers

Institution
MAC 2601
Course
MAC 2601









Whoops! We can’t load your doc right now. Try again or contact support.

Written for

Institution
MAC 2601
Course
MAC 2601

Document information

Uploaded on
September 3, 2023
Number of pages
9
Written in
2023/2024
Type
Exam (elaborations)
Contains
Questions & answers

Get to know the seller

Seller avatar
Reputation scores are based on the amount of documents a seller has sold for a fee and the reviews they have received for those documents. There are three levels: Bronze, Silver and Gold. The better the reputation, the more your can rely on the quality of the sellers work.
totalrelaxation Chamberlain School Of Nursing
View profile
Follow You need to be logged in order to follow users or courses
Sold
16
Member since
4 year
Number of followers
16
Documents
56
Last sold
1 year ago
Total Relaxation

All I want is for every student to have access to the very best reading material in this modern era of technology at a very reasonable price.

3.0

3 reviews

5
0
4
1
3
1
2
1
1
0

Recently viewed by you

Why students choose Stuvia

Created by fellow students, verified by reviews

Quality you can trust: written by students who passed their tests and reviewed by others who've used these notes.

Didn't get what you expected? Choose another document

No worries! You can instantly pick a different document that better fits what you're looking for.

Pay as you like, start learning right away

No subscription, no commitments. Pay the way you're used to via credit card and download your PDF document instantly.

Student with book image

“Bought, downloaded, and aced it. It really can be that simple.”

Alisha Student

Frequently asked questions