100% satisfaction guarantee Immediately available after payment Both online and in PDF No strings attached 4.6 TrustPilot
logo-home
Exam (elaborations)

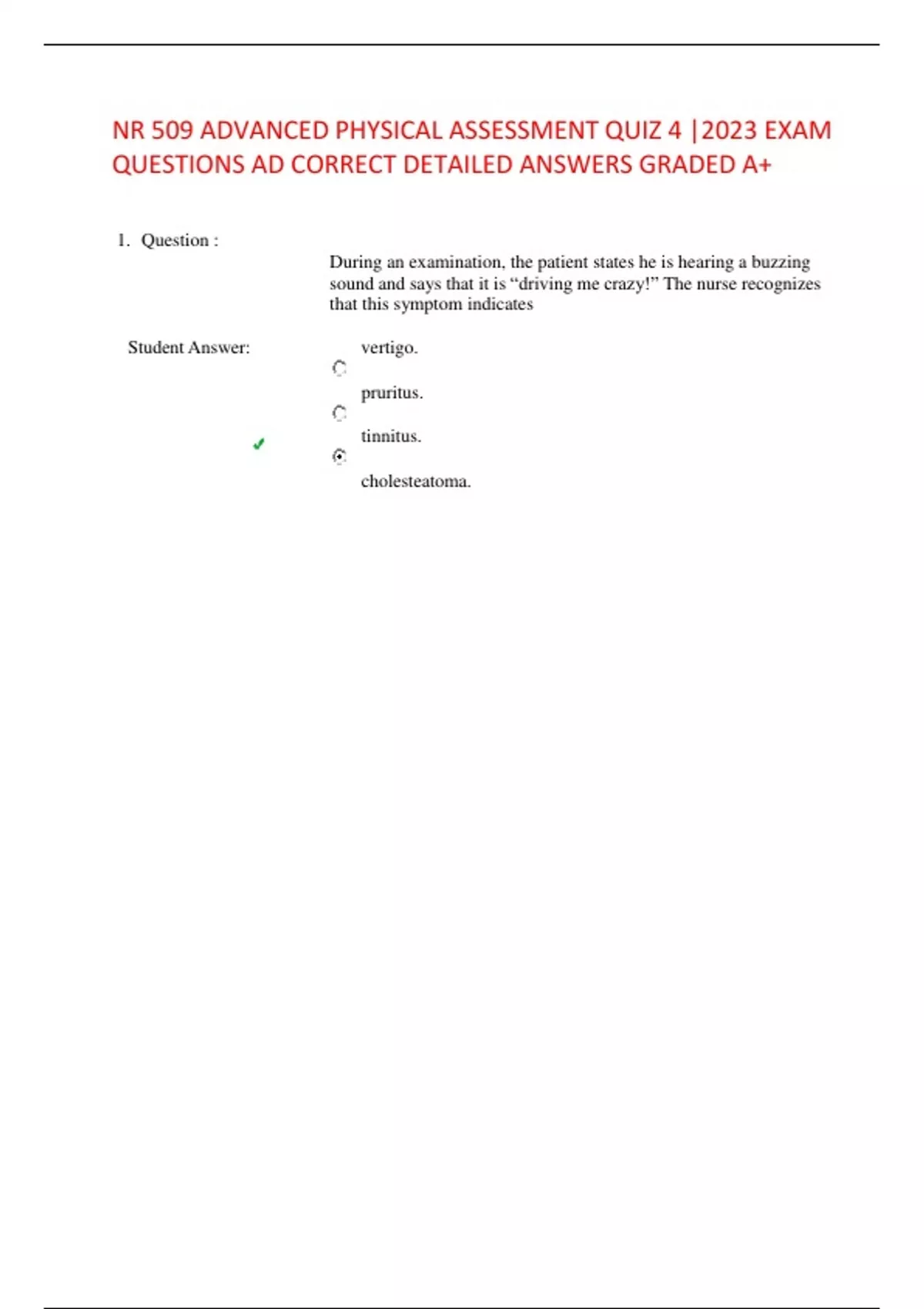
NR 509 ADVANCED PHYSICAL ASSESSMENT QUIZ 4 -2023 EXAM QUESTIONS AD CORRECT DETAILED ANSWERS

Rating
-
Sold
-
Pages
534
Grade
A+
Uploaded on
28-08-2023
Written in
2023/2024

NR 509 ADVANCED PHYSICAL ASSESSMENT QUIZ 4 -2023 EXAM QUESTIONS AD CORRECT DETAILED ANSWERS

Institution
NR 509
Course
NR 509











Whoops! We can’t load your doc right now. Try again or contact support.

Written for

Institution
NR 509
Course
NR 509

Document information

Uploaded on
August 28, 2023
Number of pages
534
Written in
2023/2024
Type
Exam (elaborations)
Contains
Questions & answers

Subjects

Get to know the seller

Seller avatar
Reputation scores are based on the amount of documents a seller has sold for a fee and the reviews they have received for those documents. There are three levels: Bronze, Silver and Gold. The better the reputation, the more your can rely on the quality of the sellers work.
amyjuanaa Johns Hopkins University
View profile
Follow You need to be logged in order to follow users or courses
Sold
55
Member since
3 year
Number of followers
48
Documents
498
Last sold
1 month ago

3.8

10 reviews

5
4
4
2
3
3
2
0
1
1

Why students choose Stuvia

Created by fellow students, verified by reviews

Quality you can trust: written by students who passed their tests and reviewed by others who've used these notes.

Didn't get what you expected? Choose another document

No worries! You can instantly pick a different document that better fits what you're looking for.

Pay as you like, start learning right away

No subscription, no commitments. Pay the way you're used to via credit card and download your PDF document instantly.

Student with book image

“Bought, downloaded, and aced it. It really can be that simple.”

Alisha Student

Frequently asked questions