100% satisfaction guarantee Immediately available after payment Both online and in PDF No strings attached 4.6 TrustPilot
logo-home
Summary

Summary The Presidentialization of Politics - Democratic Political Systems

Rating
-
Sold
-
Pages
2
Uploaded on
11-07-2023
Written in
2022/2023

This is a Summary of the Presidentialisation Thesis which is a key argument addressed in ALevel and University level IR- these are 1st year notes summarising and addressing key arguments across the debate. High quality notes.

Institution
Course








Whoops! We can’t load your doc right now. Try again or contact support.

Connected book

Written for

Institution
Study
Unknown
Course

Document information

Summarized whole book?
No
Which chapters are summarized?
General arguments. what is the predientialisation thesis? who does it argue with>
Uploaded on
July 11, 2023
Number of pages
2
Written in
2022/2023
Type
Summary

Subjects

Content preview

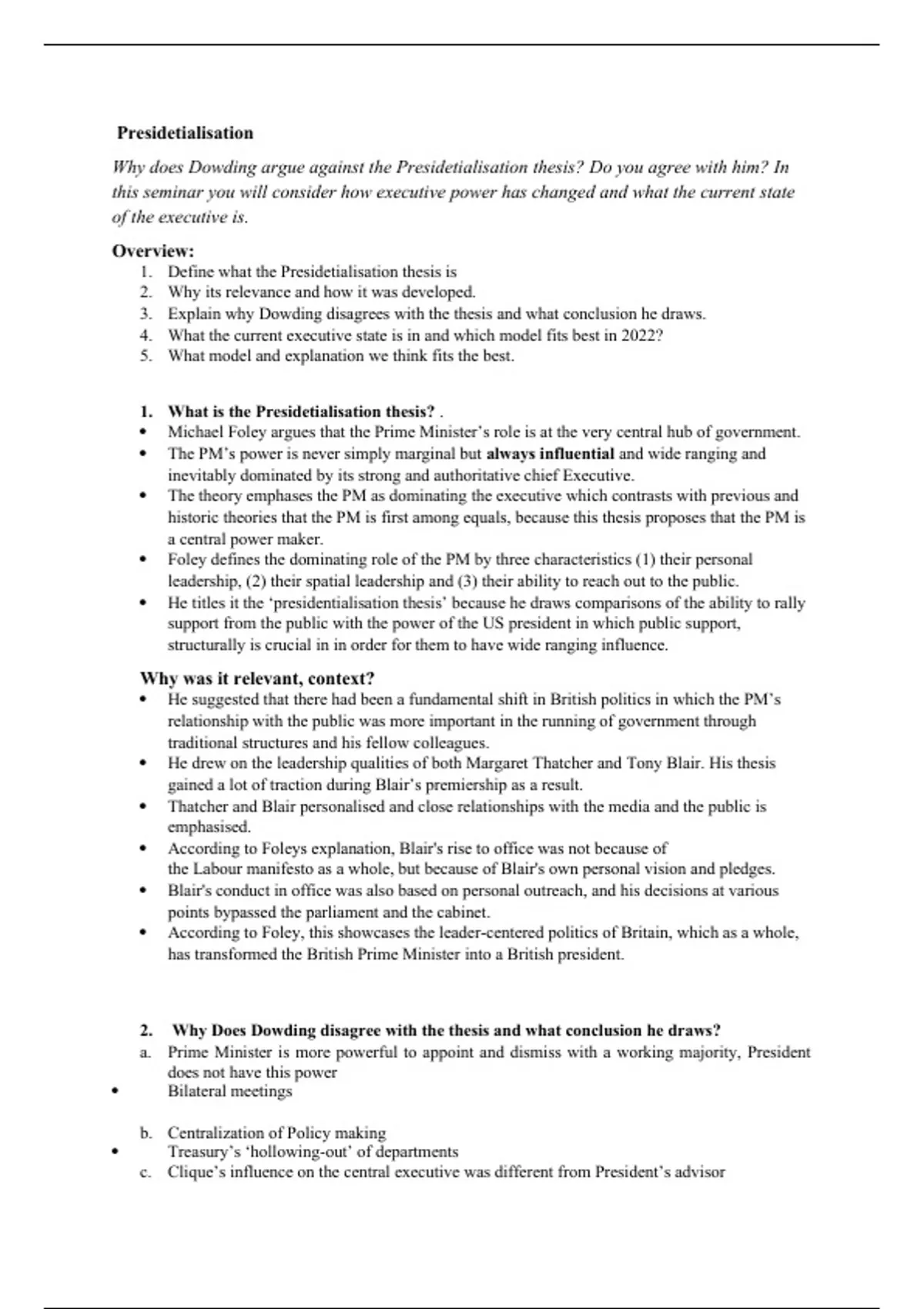
Presidetialisation
Why does Dowding argue against the Presidetialisation thesis? Do you agree with him? In
this seminar you will consider how executive power has changed and what the current state
of the executive is.
Overview:
1. Define what the Presidetialisation thesis is
2. Why its relevance and how it was developed.
3. Explain why Dowding disagrees with the thesis and what conclusion he draws.
4. What the current executive state is in and which model fits best in 2022?
5. What model and explanation we think fits the best.


1. What is the Presidetialisation thesis? .
 Michael Foley argues that the Prime Minister’s role is at the very central hub of government.
 The PM’s power is never simply marginal but always influential and wide ranging and
inevitably dominated by its strong and authoritative chief Executive.
 The theory emphases the PM as dominating the executive which contrasts with previous and
historic theories that the PM is first among equals, because this thesis proposes that the PM is
a central power maker.
 Foley defines the dominating role of the PM by three characteristics (1) their personal
leadership, (2) their spatial leadership and (3) their ability to reach out to the public.
 He titles it the ‘presidentialisation thesis’ because he draws comparisons of the ability to rally
support from the public with the power of the US president in which public support,
structurally is crucial in in order for them to have wide ranging influence.

Why was it relevant, context?
 He suggested that there had been a fundamental shift in British politics in which the PM’s
relationship with the public was more important in the running of government through
traditional structures and his fellow colleagues.
 He drew on the leadership qualities of both Margaret Thatcher and Tony Blair. His thesis
gained a lot of traction during Blair’s premiership as a result.
 Thatcher and Blair personalised and close relationships with the media and the public is
emphasised.
 According to Foleys explanation, Blair's rise to office was not because of
the Labour manifesto as a whole, but because of Blair's own personal vision and pledges.
 Blair's conduct in office was also based on personal outreach, and his decisions at various
points bypassed the parliament and the cabinet.
 According to Foley, this showcases the leader-centered politics of Britain, which as a whole,
has transformed the British Prime Minister into a British president.



2. Why Does Dowding disagree with the thesis and what conclusion he draws?
a. Prime Minister is more powerful to appoint and dismiss with a working majority, President
does not have this power
 Bilateral meetings

b. Centralization of Policy making
 Treasury’s ‘hollowing-out’ of departments
c. Clique’s influence on the central executive was different from President’s advisor
$6.34
Get access to the full document:

100% satisfaction guarantee
Immediately available after payment
Both online and in PDF
No strings attached

Get to know the seller
Seller avatar
emilybrowning

Get to know the seller

Seller avatar
emilybrowning Durham University
Follow You need to be logged in order to follow users or courses
Sold
0
Member since
2 year
Number of followers
0
Documents
6
Last sold
-

0.0

0 reviews

5
0
4
0
3
0
2
0
1
0

Recently viewed by you

Why students choose Stuvia

Created by fellow students, verified by reviews

Quality you can trust: written by students who passed their tests and reviewed by others who've used these notes.

Didn't get what you expected? Choose another document

No worries! You can instantly pick a different document that better fits what you're looking for.

Pay as you like, start learning right away

No subscription, no commitments. Pay the way you're used to via credit card and download your PDF document instantly.

Student with book image

“Bought, downloaded, and aced it. It really can be that simple.”

Alisha Student

Frequently asked questions