100% satisfaction guarantee Immediately available after payment Both online and in PDF No strings attached 4.6 TrustPilot
logo-home
Exam (elaborations)

STROKE SCA 411-STROKE SCALE ANSWERS/STROKE SCA 411-STROKE SCALE ANSWERS

Rating
-
Sold
-
Pages
41
Grade
A+
Uploaded on
05-07-2023
Written in
2022/2023

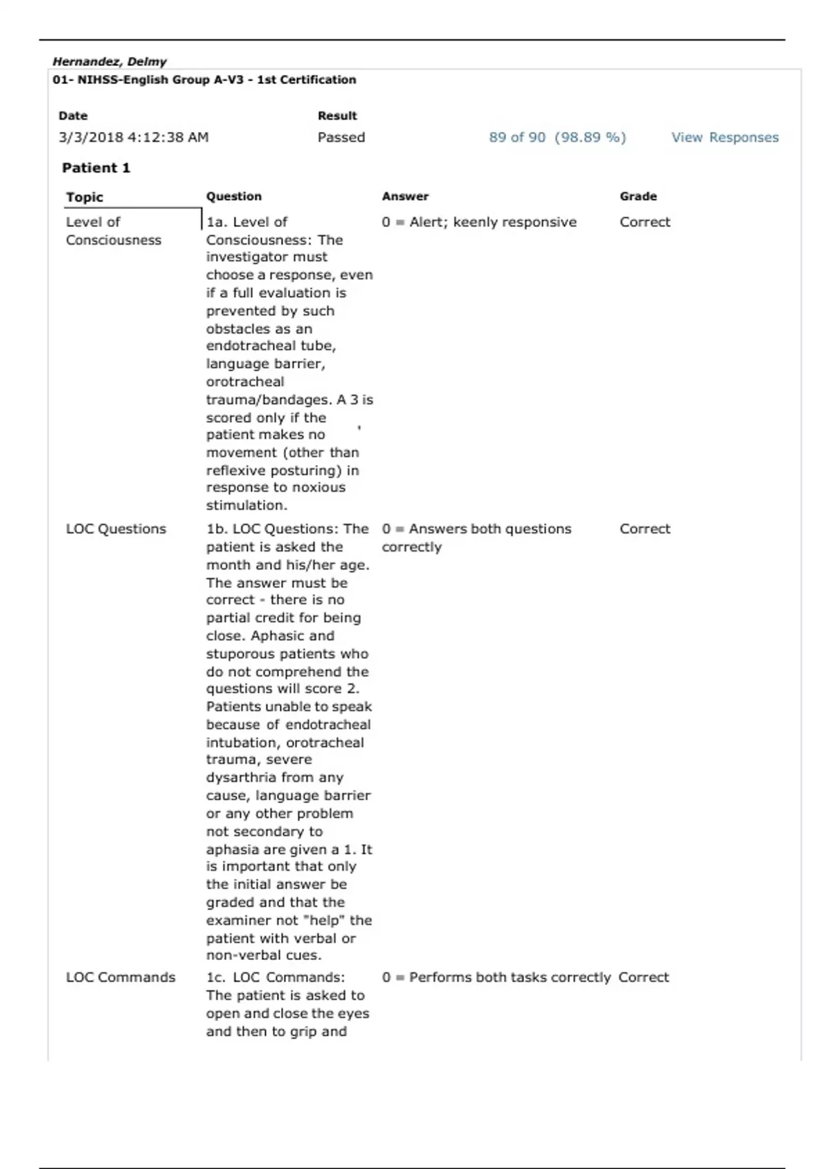
STROKE SCA 411-STROKE SCALE ANSWERS/STROKE SCA 411-STROKE SCALE ANSWERS. Topic Question Answer Grade Level of Consciousness 1a. Level of Consciousness: The investigator must choose a response, even if a full evaluation is prevented by such obstacles as an endotracheal tube, language barrier, orotracheal trauma/bandages. A 3 is scored only if the patient makes no movement (other than reflexive posturing) in response to noxious stimulation.

Show more Read less
Institution
STROKE SCA 411-STROKE SCALE
Course
STROKE SCA 411-STROKE SCALE











Whoops! We can’t load your doc right now. Try again or contact support.

Written for

Institution
STROKE SCA 411-STROKE SCALE
Course
STROKE SCA 411-STROKE SCALE

Document information

Uploaded on
July 5, 2023
Number of pages
41
Written in
2022/2023
Type
Exam (elaborations)
Contains
Questions & answers

Subjects

Get to know the seller

Seller avatar
Reputation scores are based on the amount of documents a seller has sold for a fee and the reviews they have received for those documents. There are three levels: Bronze, Silver and Gold. The better the reputation, the more your can rely on the quality of the sellers work.
MedGeek West Virgina University
View profile
Follow You need to be logged in order to follow users or courses
Sold
1219
Member since
3 year
Number of followers
865
Documents
1856
Last sold
2 days ago
Top-Rated Study Guides, Test Banks & Solution Manuals for Nursing, Accounting, Chemistry, Statistics, Biology & Other Subjects

Welcome to Your Ultimate Study Resource Hub! Looking for high-quality, reliable, and exam-ready study materials? You’re in the right place. Our shop specializes in original publisher content, including solutions manuals, test banks, and comprehensive study guides that are ideal for university and college students across various subjects. Every document is in PDF format and available for instant download—no waiting, no hassle. That means you get immediate access to top-tier academic resources the moment you need them, whether you're cramming for an exam or studying ahead. These materials are especially effective for exam preparation, offering step-by-step solutions, real test formats, and well-organized study guides that align with your coursework and textbooks. Whether you're a visual learner, a problem-solver, or need practice questions—there’s something for every study style. Know someone who needs better study tools? Share MedGeek with your mates and help them succeed too.

Read more Read less
4.1

73 reviews

5
44
4
10
3
9
2
1
1
9

Recently viewed by you

Why students choose Stuvia

Created by fellow students, verified by reviews

Quality you can trust: written by students who passed their tests and reviewed by others who've used these notes.

Didn't get what you expected? Choose another document

No worries! You can instantly pick a different document that better fits what you're looking for.

Pay as you like, start learning right away

No subscription, no commitments. Pay the way you're used to via credit card and download your PDF document instantly.

Student with book image

“Bought, downloaded, and aced it. It really can be that simple.”

Alisha Student

Frequently asked questions