100% satisfaction guarantee Immediately available after payment Both online and in PDF No strings attached 4.6 TrustPilot
logo-home
Class notes

solving quadratic equations with imaginary solutions

Rating
-
Sold
-
Pages
2
Uploaded on
17-06-2023
Written in
2022/2023

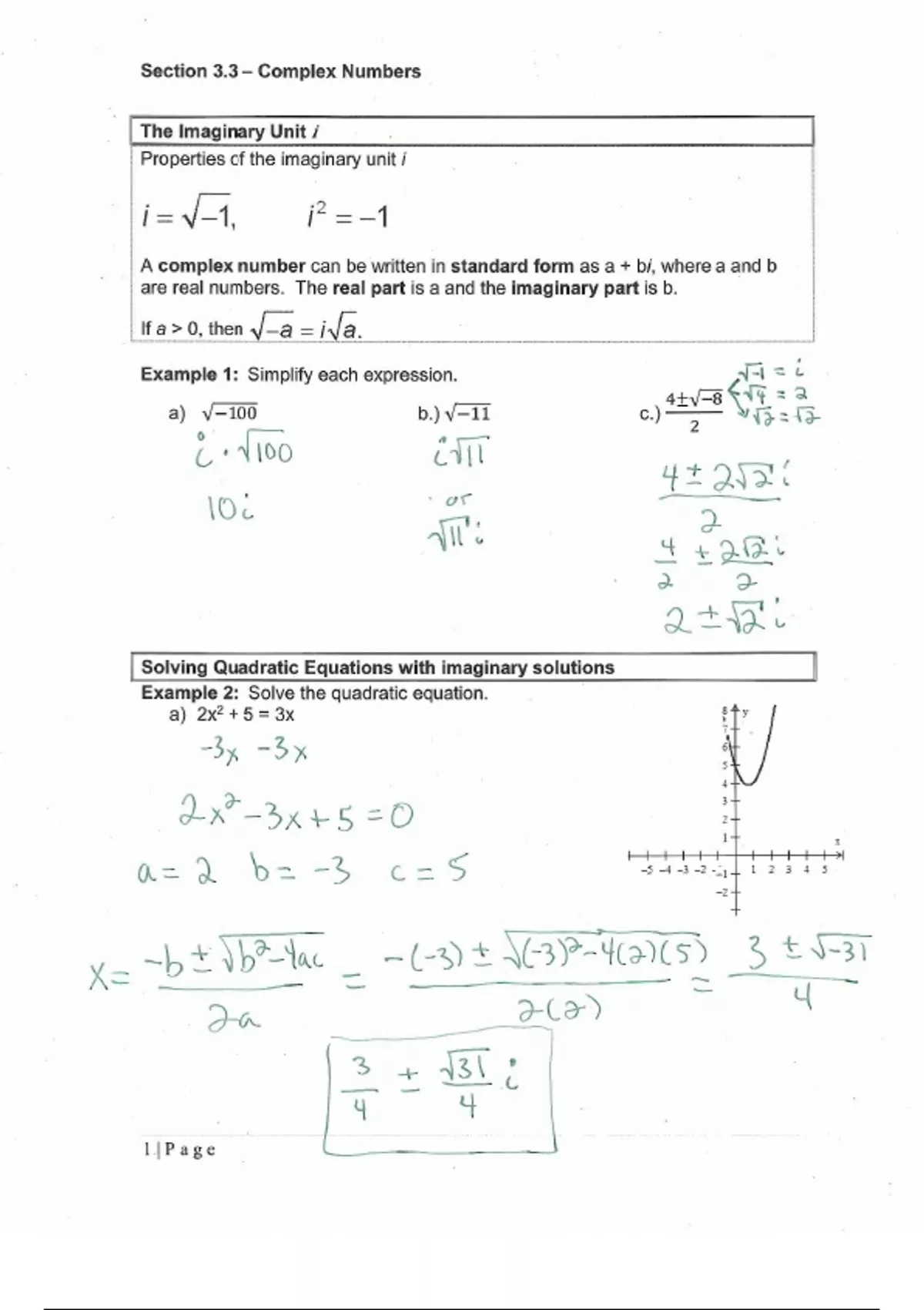
Solving quadratic equations with imaginary solutions involves finding the values of the variable that satisfy the equation but result in complex or imaginary numbers. A quadratic equation is typically written in the form ax^2 + bx + c = 0, where 'a', 'b', and 'c' are coefficients and 'x' is the variable. When the discriminant, which is b^2 - 4ac, is negative, the quadratic equation does not have real solutions. Instead, it yields complex solutions in the form of a+bi, where 'a' and 'b' are real numbers and 'i' represents the imaginary unit (√-1). To solve such equations, we can use the quadratic formula: x = (-b ± √(b^2 - 4ac))/(2a). When the discriminant is negative, the square root term (√(b^2 - 4ac)) becomes an imaginary number, indicating that the solutions are complex. Solving quadratic equations with imaginary solutions allows us to handle situations where the roots lie on the imaginary number line and provide a comprehensive understanding of the behavior and solutions of quadratic equations.

Show more Read less








Whoops! We can’t load your doc right now. Try again or contact support.

Document information

Uploaded on
June 17, 2023
Number of pages
2
Written in
2022/2023
Type
Class notes
Professor(s)
Carmen mccullough
Contains
All classes
$9.99
Get access to the full document:

100% satisfaction guarantee
Immediately available after payment
Both online and in PDF
No strings attached

Get to know the seller
Seller avatar
sharmaynecarter

Also available in package deal

Thumbnail
Package deal
The whole deal
-
12 2023
$ 106.48 More info

Get to know the seller

Seller avatar
sharmaynecarter Austin Community College
View profile
Follow You need to be logged in order to follow users or courses
Sold
-
Member since
2 year
Number of followers
0
Documents
12
Last sold
-

0.0

0 reviews

5
0
4
0
3
0
2
0
1
0

Trending documents

Recently viewed by you

Why students choose Stuvia

Created by fellow students, verified by reviews

Quality you can trust: written by students who passed their tests and reviewed by others who've used these notes.

Didn't get what you expected? Choose another document

No worries! You can instantly pick a different document that better fits what you're looking for.

Pay as you like, start learning right away

No subscription, no commitments. Pay the way you're used to via credit card and download your PDF document instantly.

Student with book image

“Bought, downloaded, and aced it. It really can be that simple.”

Alisha Student

Frequently asked questions