100% satisfaction guarantee Immediately available after payment Both online and in PDF No strings attached 4.6 TrustPilot
logo-home
Summary

Summary Small Approaches Assumption List

Rating
-
Sold
-
Pages
1
Uploaded on
05-06-2023
Written in
2022/2023

Quick summary of all assumptions for each approach

Institution
Course








Whoops! We can’t load your doc right now. Try again or contact support.

Written for

Study Level
Examinator
Subject
Unit

Document information

Uploaded on
June 5, 2023
Number of pages
1
Written in
2022/2023
Type
Summary

Subjects

Content preview

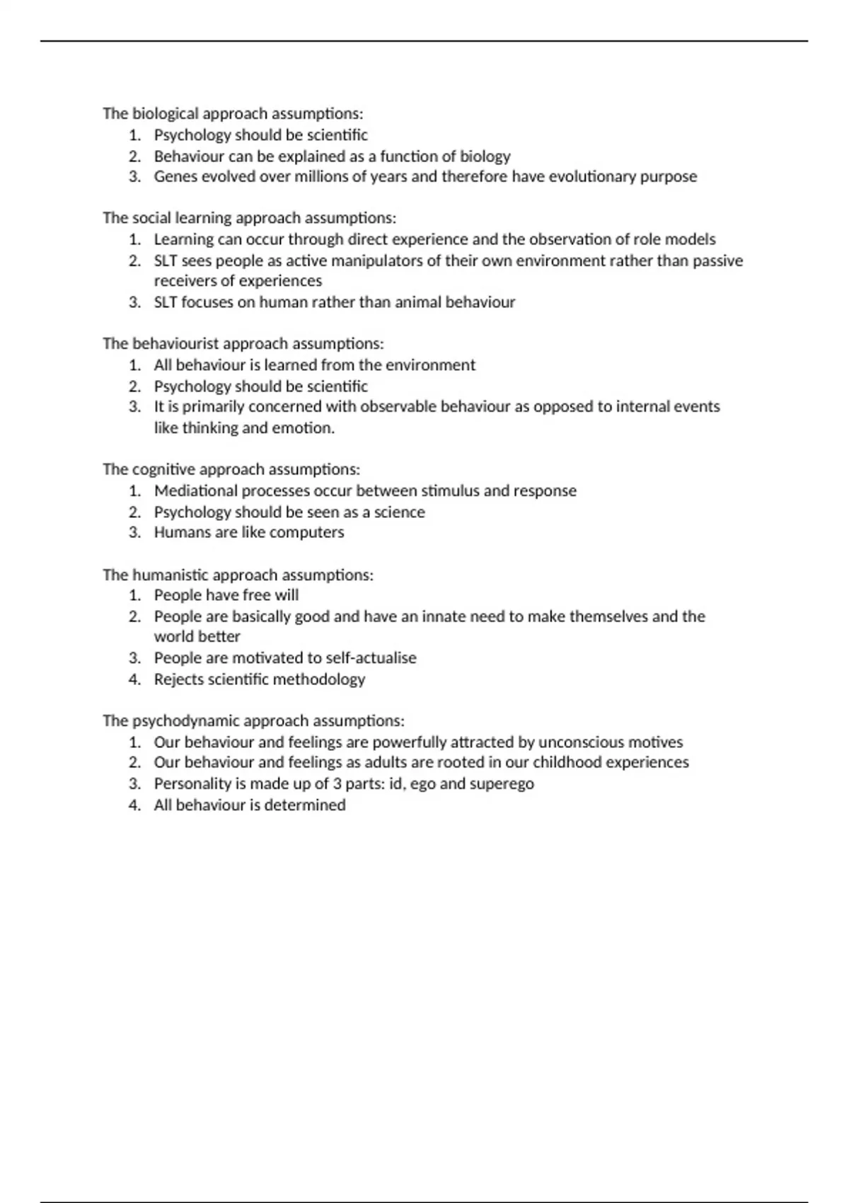
The biological approach assumptions:
1. Psychology should be scientific
2. Behaviour can be explained as a function of biology
3. Genes evolved over millions of years and therefore have evolutionary purpose

The social learning approach assumptions:
1. Learning can occur through direct experience and the observation of role models
2. SLT sees people as active manipulators of their own environment rather than passive
receivers of experiences
3. SLT focuses on human rather than animal behaviour

The behaviourist approach assumptions:
1. All behaviour is learned from the environment
2. Psychology should be scientific
3. It is primarily concerned with observable behaviour as opposed to internal events
like thinking and emotion.

The cognitive approach assumptions:
1. Mediational processes occur between stimulus and response
2. Psychology should be seen as a science
3. Humans are like computers

The humanistic approach assumptions:
1. People have free will
2. People are basically good and have an innate need to make themselves and the
world better
3. People are motivated to self-actualise
4. Rejects scientific methodology

The psychodynamic approach assumptions:
1. Our behaviour and feelings are powerfully attracted by unconscious motives
2. Our behaviour and feelings as adults are rooted in our childhood experiences
3. Personality is made up of 3 parts: id, ego and superego
4. All behaviour is determined
$5.62
Get access to the full document:

100% satisfaction guarantee
Immediately available after payment
Both online and in PDF
No strings attached

Get to know the seller
Seller avatar
izzy01

Get to know the seller

Seller avatar
izzy01 City of Islington College
Follow You need to be logged in order to follow users or courses
Sold
1
Member since
2 year
Number of followers
1
Documents
6
Last sold
2 year ago

0.0

0 reviews

5
0
4
0
3
0
2
0
1
0

Recently viewed by you

Why students choose Stuvia

Created by fellow students, verified by reviews

Quality you can trust: written by students who passed their tests and reviewed by others who've used these notes.

Didn't get what you expected? Choose another document

No worries! You can instantly pick a different document that better fits what you're looking for.

Pay as you like, start learning right away

No subscription, no commitments. Pay the way you're used to via credit card and download your PDF document instantly.

Student with book image

“Bought, downloaded, and aced it. It really can be that simple.”

Alisha Student

Frequently asked questions