100% satisfaction guarantee Immediately available after payment Both online and in PDF No strings attached 4.6 TrustPilot
logo-home
Exam (elaborations)

ADVANCED PHARMACOLOGY TEST BANK, QUESTIONS AND ANSWERS WITH RATIONALES

Rating
-
Sold
-
Pages
224
Grade
A+
Uploaded on
21-05-2023
Written in
2022/2023

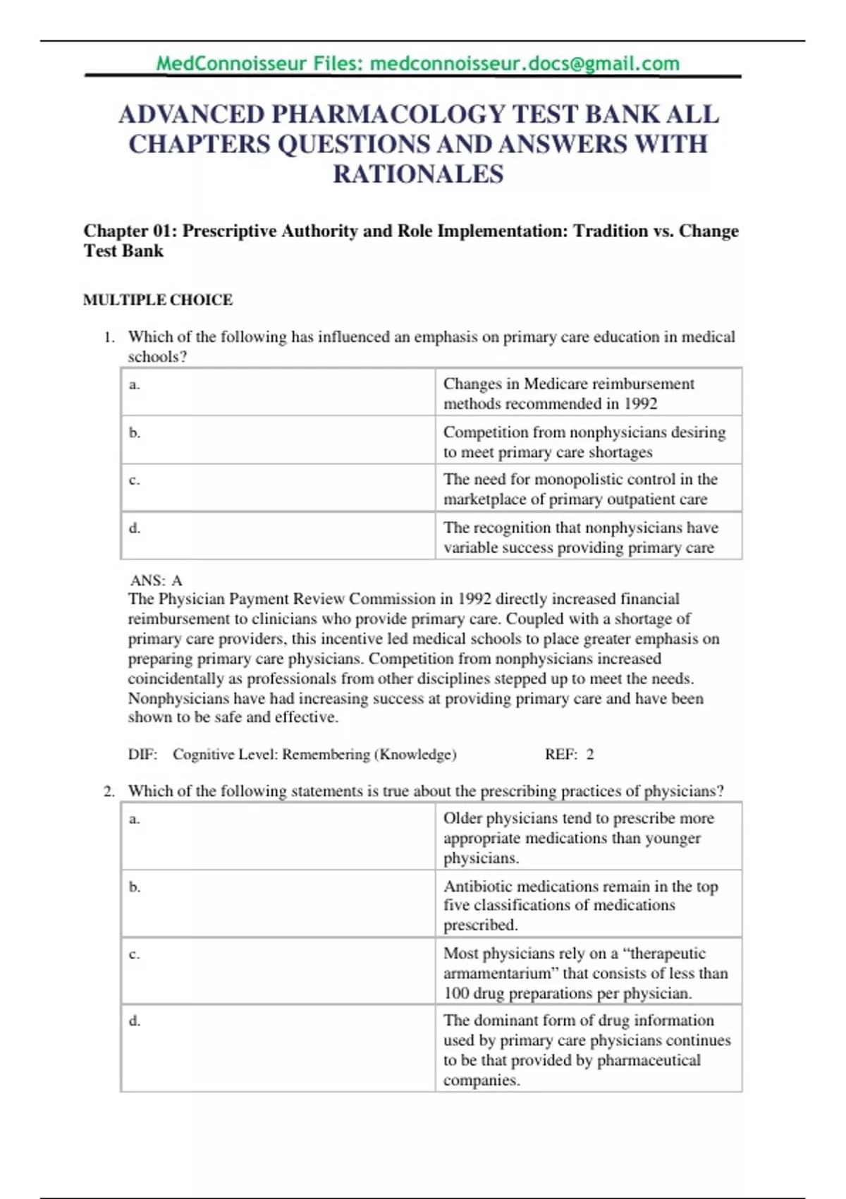
Chapter 01: Prescriptive Authority and Role Implementation: Tradition vs. Change Test Bank MULTIPLE CHOICE 1. Which of the following has influenced an emphasis on primary care education in medical schools? a. Changes in Medicare reimbursement methods recommended in 1992 b. Competition from nonphysicians desiring to meet primary care shortages c. The need for monopolistic control in the marketplace of primary outpatient care d. The recognition that nonphysicians have variable success providing primary care ANS: A The Physician Payment Review Commission in 1992 directly increased financial reimbursement to clinicians who provide primary care. Coupled with a shortage of primary care providers, this incentive led medical schools to place greater emphasis on preparing primary care physicians. Competition from nonphysicians increased coincidentally as professionals from other disciplines stepped up to meet the needs. Nonphysicians have had increasing success at providing primary care and have been shown to be safe and effective. DIF: Cognitive Level: Remembering (Knowledge) REF: 2 2. Which of the following statements is true about the prescribing practices of physicians? a. Older physicians tend to prescribe more appropriate medications than younger physicians. b. Antibiotic medications remain in the top five classifications of medications prescribed. c. Most physicians rely on a “therapeutic armamentarium” that consists of less than 100 drug preparations per physician. d. The dominant form of drug information used by primary care physicians continues to be that provided by pharmaceutical companies. ANS: D Even though most physicians claim to place little weight on drug advertisements, pharmaceutical representatives, and patient preference and state that they rely on academic sources for drug information, a study showed that commercial rather than scientific sources of drug information dominated their drug information materials. Younger physicians tend to prescribe fewer and more appropriate drugs. Antibiotics have dropped out of the top five classifications of drugs prescribed. Most physicians have a therapeutic armamentarium of about 144 drugs. DIF: Cognitive Level: Remembering (Knowledge) REF: 3 3. As primary care nurse practitioners (NPs) continue to develop their role as prescribers of medications, it will be important to: a. attain the same level of expertise as physicians who currently prescribe medications. b. learn from the experiences of physicians and develop expertise based on evidence- based practice. c. maintain collaborative and supervisorial relationships with physicians who will oversee prescribing practices. d. develop relationships with pharmaceutical representatives to learn about new medications as they are developed. ANS: B As nonphysicians develop the roles associated with prescriptive authority, it will be important to learn from the past experiences of physicians and to develop prescribing practices based on evidence-based medicine. It is hoped that all prescribers, including physicians and nurse practitioners, will strive to do better than in the past. NPs should work toward prescriptive authority and for practice that is not supervised by another professional. Pharmaceutical representatives provide information that carries some bias. Academic sources are better. DIF: Cognitive Level: Applying (Application) REF: 4 Chapter 02: Historical Review of Prescriptive Authority: The Role of Nurses (NPs, CNMs, CRNAs, and CNSs) and Physician Assistants Test Bank MULTIPLE CHOICE 1. A primary care NP will begin practicing in a state in which the governor has opted out of the federal facility reimbursement requirement. The NP should be aware that this defines how NPs may write prescriptions:

Show more Read less











Whoops! We can’t load your doc right now. Try again or contact support.

Document information

Uploaded on
May 21, 2023
Number of pages
224
Written in
2022/2023
Type
Exam (elaborations)
Contains
Questions & answers

Subjects

Get to know the seller

Seller avatar
Reputation scores are based on the amount of documents a seller has sold for a fee and the reviews they have received for those documents. There are three levels: Bronze, Silver and Gold. The better the reputation, the more your can rely on the quality of the sellers work.
Impressivegrades Chamberlain College Of Nursing
View profile
Follow You need to be logged in order to follow users or courses
Sold
670
Member since
2 year
Number of followers
496
Documents
1192
Last sold
3 days ago
Exam Mastery Vault

Exam Mastery Vault is built for students who are tired of guessing and ready to score with precision. This stores delivers high-yield, exam-focused notes, verified answers, study guides, and solutions manuals designed to turn complex topics into simple, test-ready material. Every document inside the vault is created with one goal: maximum marks with minimum wasted time. No filler. No recycled PDFS. Just clear explanations, structured summaries, practice-driven content, and exam-style questions that reflect what actually appears in assessments. whether you're preparing for quizzes, midterms, finals, licensure exams, or certification tests, Exam mastery vault helps you: Master key concepts faster, Revise smarter, not longer, Eliminate confusion before exam day, Boost accuracy and confidence. If you want premium revision notes, reliable answers, and performance-focused study resources, you're in the right place. Open the vault. Master the exam. Dominate your results.

Read more Read less
4.0

67 reviews

5
39
4
12
3
5
2
2
1
9

Recently viewed by you

Why students choose Stuvia

Created by fellow students, verified by reviews

Quality you can trust: written by students who passed their tests and reviewed by others who've used these notes.

Didn't get what you expected? Choose another document

No worries! You can instantly pick a different document that better fits what you're looking for.

Pay as you like, start learning right away

No subscription, no commitments. Pay the way you're used to via credit card and download your PDF document instantly.

Student with book image

“Bought, downloaded, and aced it. It really can be that simple.”

Alisha Student

Frequently asked questions