100% satisfaction guarantee Immediately available after payment Both online and in PDF No strings attached 4.2 TrustPilot
logo-home
Summary

[BSc TN] Summary Transport Phenomena - 2nd Midterm

Rating
-
Sold
2
Pages
18
Uploaded on
20-05-2023
Written in
2021/2022

--- Satisfied? Please don't forget to leave a rating! --- This summary covers chapters 4 and 5 of "Transport Phenomena - The Art of Balancing" by H. v.d. Akker and R.F. Mudde (besides the less crucial §4.4 and §5.5) and the lectures given of the accompanying course "TN2786 - Fysische Transportverschijnselen" given at the TU Delft, which covers all material needed for the second midterm.

Show more Read less
Institution
Course










Whoops! We can’t load your doc right now. Try again or contact support.

Connected book

Written for

Institution
Study
Course

Document information

Summarized whole book?
Unknown
Uploaded on
May 20, 2023
Number of pages
18
Written in
2021/2022
Type
Summary

Subjects

Content preview

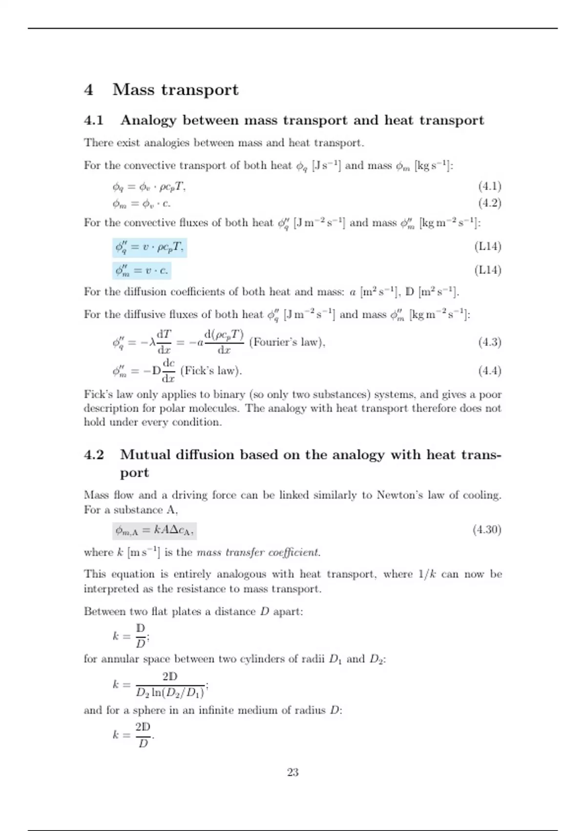
4 Mass transport
4.1 Analogy between mass transport and heat transport
There exist analogies between mass and heat transport.
For the convective transport of both heat ϕq [J s−1 ] and mass ϕm [kg s−1 ]:
ϕq = ϕv · ρcp T, (4.1)
ϕm = ϕv · c. (4.2)
For the convective fluxes of both heat ϕ′′q [J m−2 s−1 ] and mass ϕ′′m [kg m−2 s−1 ]:
ϕ′′q = v · ρcp T, (L14)
ϕ′′m = v · c. (L14)
For the diffusion coefficients of both heat and mass: a [m2 s−1 ], D [m2 s−1 ].
For the diffusive fluxes of both heat ϕ′′q [J m−2 s−1 ] and mass ϕ′′m [kg m−2 s−1 ]:
dT d(ρcp T )
ϕ′′q = −λ = −a (Fourier’s law), (4.3)
dx dx
dc
ϕ′′m = −D (Fick’s law). (4.4)
dx
Fick’s law only applies to binary (so only two substances) systems, and gives a poor
description for polar molecules. The analogy with heat transport therefore does not
hold under every condition.

4.2 Mutual diffusion based on the analogy with heat trans-
port
Mass flow and a driving force can be linked similarly to Newton’s law of cooling.
For a substance A,
ϕm,A = kA∆cA , (4.30)
where k [m s−1 ] is the mass transfer coefficient.
This equation is entirely analogous with heat transport, where 1/k can now be
interpreted as the resistance to mass transport.
Between two flat plates a distance D apart:
D
k= ;
D
for annular space between two cylinders of radii D1 and D2 :
2D
k= ;
D2 ln(D2 /D1 )
and for a sphere in an infinite medium of radius D:
2D
k= .
D

23

,In non-dimensional form, the ratio of the convective mass transport and the diffusive
mass transport is known as the Sherwood number (Sh):

kD
Sh = , (4.31)
D

which is analogous to the Nusselt number (Nu).

Similarly for the Prandtl number (Pr), we have the analoglous Schmidt number (Sc):

ν
Sc = . (L14)
D


For mass, we can also analogously to heat work with penetration theory. The
penetration depth is now defined as

δ(t) = πDt, (L14)

which again is only valid for a layer/slab of thickness D if δ(t) < 0.6D. With help
of the Fourier number:

Dt
Fo = < 0.1. (4.35)
D2

And, for double-heated layers/slabs or cylindrical/spherical bodies:

Fo < 0.03.

It is then also clear that
r
D D D
ϕ′′m = k∆c = ∆c = √ ∆c = ∆c, (L14)
D πDt πt

which implies that k is dependent on time:
r
D
k(t) = . (4.36)
πt
With the penetration depth δ(t) only having a significantly changed concentration,
it follows that the overall concentration difference is independent on time:

∆c = c1 − c0 ̸= f (t).




24

, Similarly, we speak of long-term diffusion into a layer of a stagnant medium or a
solid material if: Fo > 0.1 for diffusion processes from/towards a single boundary
plane; and if Fo > 0.03 for diffusion processes concerning double-sided diffusion
from/towards a slab or a cylindrical/spherical body.

We again work with a mean concentration ⟨c⟩, which yields

D
ϕ′′m = k(c1 − ⟨c⟩) = Sh (c1 − ⟨c⟩),
D
where k is now independent on time and therefore is constant:

D
k = Sh ̸= f (t). (L14)
D

So for long periods of time, we again find

For a flat slab: Sh = 4.93;
For a long cylinder: Sh = 5.8;
For a sphere: Sh = 6.6.

The concentration difference after long times, so Fo > 0, 03, is then also dependent
on time:

∆c = T1 − ⟨T ⟩ = f (t).



Again, the driving force for diffusion can also be described by the concentration at
the centre of a body cc by

ϕ′′m = k(c1 − cc ).



The exact solutions for the total diffusion process for a number of finite-size objects
are shown in TPDC ”Fourier Instationary Heat and Mass Transfer” (p. 90-92) for
the ratios
c1 − cc c1 − ⟨c⟩
and .
c1 − c0 c1 − c0
Note that for smaller values of Fo (e.g. Fo < 0.03), these graphs lead to inaccurate
results and it is therefore better to use penetration theory.




25

Get to know the seller

Seller avatar
Reputation scores are based on the amount of documents a seller has sold for a fee and the reviews they have received for those documents. There are three levels: Bronze, Silver and Gold. The better the reputation, the more your can rely on the quality of the sellers work.
rhjatol Technische Universiteit Delft
Follow You need to be logged in order to follow users or courses
Sold
67
Member since
5 year
Number of followers
48
Documents
10
Last sold
5 months ago

4.4

7 reviews

5
4
4
2
3
1
2
0
1
0

Recently viewed by you

Why students choose Stuvia

Created by fellow students, verified by reviews

Quality you can trust: written by students who passed their tests and reviewed by others who've used these notes.

Didn't get what you expected? Choose another document

No worries! You can instantly pick a different document that better fits what you're looking for.

Pay as you like, start learning right away

No subscription, no commitments. Pay the way you're used to via credit card and download your PDF document instantly.

Student with book image

“Bought, downloaded, and aced it. It really can be that simple.”

Alisha Student

Frequently asked questions