100% satisfaction guarantee Immediately available after payment Both online and in PDF No strings attached 4.6 TrustPilot
logo-home
Exam (elaborations)

MARYLAND TAX PREPARER PRACTICE TEST WITH CORRECT ANSWERS 2026

Rating
1.0
(1)
Sold
-
Pages
2
Grade
A+
Uploaded on
06-01-2026
Written in
2025/2026

MARYLAND TAX PREPARER PRACTICE TEST WITH CORRECT ANSWERS 2026

Institution
Maryland Tax Preparer
Course
Maryland Tax Preparer








Whoops! We can’t load your doc right now. Try again or contact support.

Written for

Institution
Maryland Tax Preparer
Course
Maryland Tax Preparer

Document information

Uploaded on
January 6, 2026
Number of pages
2
Written in
2025/2026
Type
Exam (elaborations)
Contains
Questions & answers

Subjects

Content preview

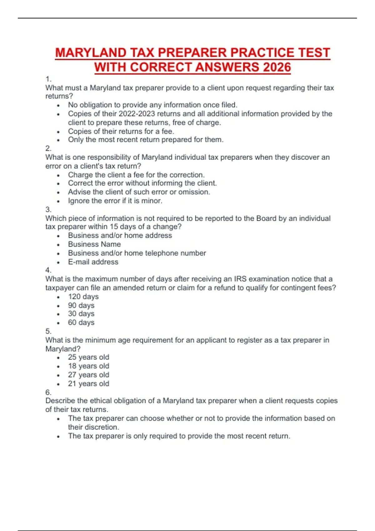
MARYLAND TAX PREPARER PRACTICE TEST
WITH CORRECT ANSWERS 2026
1.
What must a Maryland tax preparer provide to a client upon request regarding their tax
returns?
• No obligation to provide any information once filed.
• Copies of their 2022-2023 returns and all additional information provided by the
client to prepare these returns, free of charge.
• Copies of their returns for a fee.
• Only the most recent return prepared for them.
2.
What is one responsibility of Maryland individual tax preparers when they discover an
error on a client's tax return?
• Charge the client a fee for the correction.
• Correct the error without informing the client.
• Advise the client of such error or omission.
• Ignore the error if it is minor.
3.
Which piece of information is not required to be reported to the Board by an individual
tax preparer within 15 days of a change?
• Business and/or home address
• Business Name
• Business and/or home telephone number
• E-mail address
4.
What is the maximum number of days after receiving an IRS examination notice that a
taxpayer can file an amended return or claim for a refund to qualify for contingent fees?
• 120 days
• 90 days
• 30 days
• 60 days
5.
What is the minimum age requirement for an applicant to register as a tax preparer in
Maryland?
• 25 years old
• 18 years old
• 27 years old
• 21 years old
6.
Describe the ethical obligation of a Maryland tax preparer when a client requests copies
of their tax returns.
• The tax preparer can choose whether or not to provide the information based on
their discretion.
• The tax preparer is only required to provide the most recent return.

Reviews from verified buyers

Showing all reviews
6 days ago

6 days ago

Thanks for the review much appreciated @sierraharmon

1.0

1 reviews

5
0
4
0
3
0
2
0
1
1
Trustworthy reviews on Stuvia

All reviews are made by real Stuvia users after verified purchases.

Get to know the seller

Seller avatar
Reputation scores are based on the amount of documents a seller has sold for a fee and the reviews they have received for those documents. There are three levels: Bronze, Silver and Gold. The better the reputation, the more your can rely on the quality of the sellers work.
AcademicACHIEVER oxford university
View profile
Follow You need to be logged in order to follow users or courses
Sold
268
Member since
1 year
Number of followers
17
Documents
8782
Last sold
2 days ago
A+ Academic achiever

On this page, you find all documents, package deals, and flashcards offered by seller Academic achiever

3.2

60 reviews

5
20
4
8
3
11
2
3
1
18

Why students choose Stuvia

Created by fellow students, verified by reviews

Quality you can trust: written by students who passed their tests and reviewed by others who've used these notes.

Didn't get what you expected? Choose another document

No worries! You can instantly pick a different document that better fits what you're looking for.

Pay as you like, start learning right away

No subscription, no commitments. Pay the way you're used to via credit card and download your PDF document instantly.

Student with book image

“Bought, downloaded, and aced it. It really can be that simple.”

Alisha Student

Frequently asked questions