100% satisfaction guarantee Immediately available after payment Both online and in PDF No strings attached 4.2 TrustPilot
logo-home
Package deal

Schriftelijk betoog + casusmodel

Combined rating
-
Documents
2
Sold
1
Total pages
3
Last updated
27-05-2025

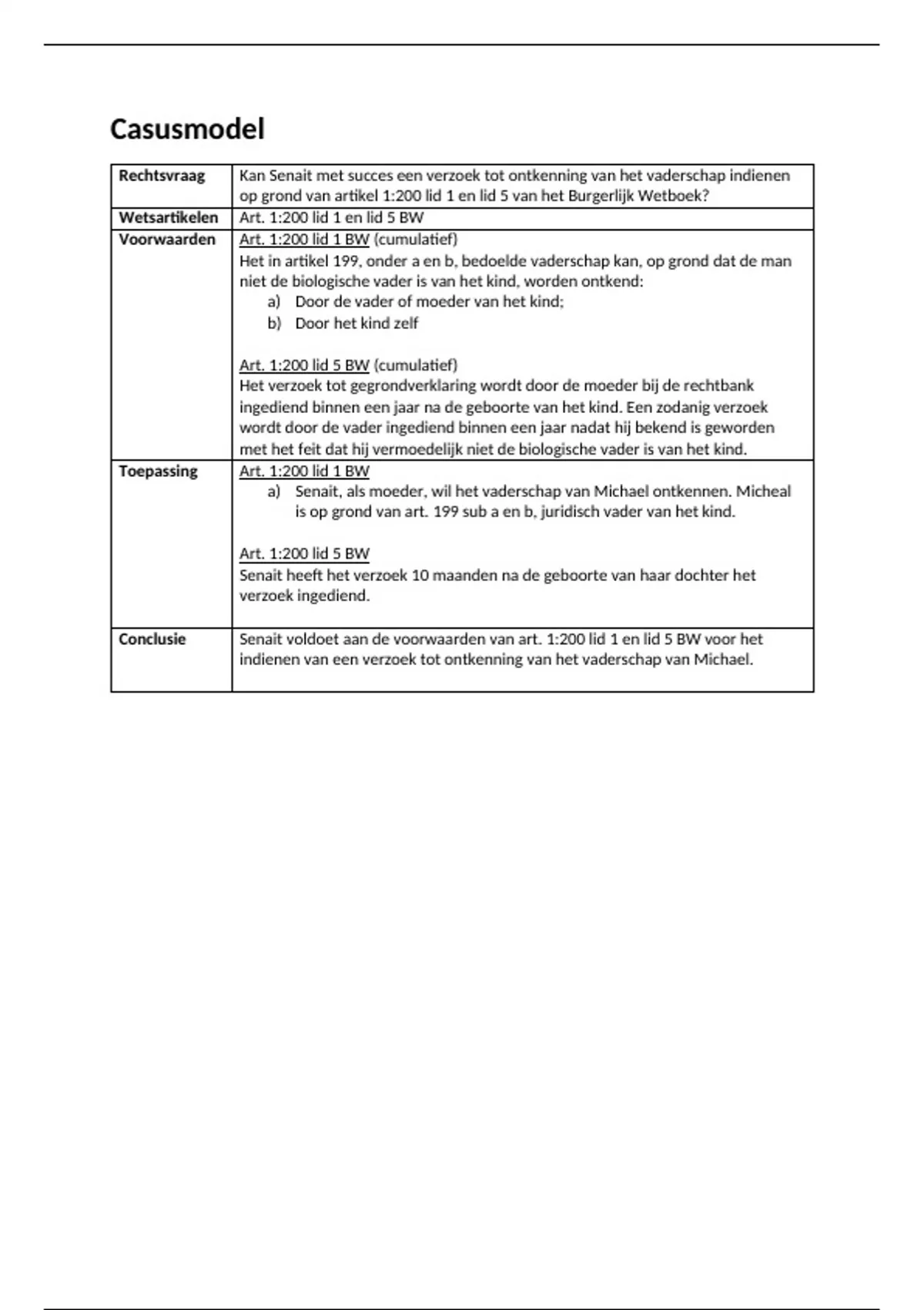
schriftelijk betoog en casusmodel beide met een voldoende afgerond. Gaat over een verzoek tot ontkenning van het vaderschap. Art. 1:200 lid 1 en 5 BW komen aan bod.

Documents in this bundle
2
$13.05 $18.35
You save $5.31
Save 29% on 2 documents

100% satisfaction guarantee
Immediately available after payment
Both online and in PDF
No strings attached

Get to know the seller
Seller avatar
sophiekievit1

Get to know the seller

Seller avatar
sophiekievit1 Hogeschool InHolland
Follow You need to be logged in order to follow users or courses
Sold
1
Member since
4 year
Number of followers
0
Documents
3
Last sold
7 months ago

0.0

0 reviews

5
0
4
0
3
0
2
0
1
0

Recently viewed by you

Why students choose Stuvia

Created by fellow students, verified by reviews

Quality you can trust: written by students who passed their tests and reviewed by others who've used these notes.

Didn't get what you expected? Choose another document

No worries! You can instantly pick a different document that better fits what you're looking for.

Pay as you like, start learning right away

No subscription, no commitments. Pay the way you're used to via credit card and download your PDF document instantly.

Student with book image

“Bought, downloaded, and aced it. It really can be that simple.”

Alisha Student

Frequently asked questions