100% satisfaction guarantee Immediately available after payment Both online and in PDF No strings attached 4.6 TrustPilot
logo-home
Summary

Summary Mechanism with Reagents for Organic Chemistry

Rating
-
Sold
-
Pages
34
Uploaded on
08-12-2025
Written in
2023/2024

These Organic Chemistry notes break down reaction mechanisms and reagents into clear, step-by-step visual pathways designed specifically for fast recognition on test day. Each reaction includes common reagents, reaction conditions, stereochemistry outcomes, and shortcut patterns to help you quickly predict products with confidence. Perfect for students who want fast, effective mechanism mastery.

Show more Read less











Whoops! We can’t load your doc right now. Try again or contact support.

Document information

Uploaded on
December 8, 2025
Number of pages
34
Written in
2023/2024
Type
Summary

Content preview

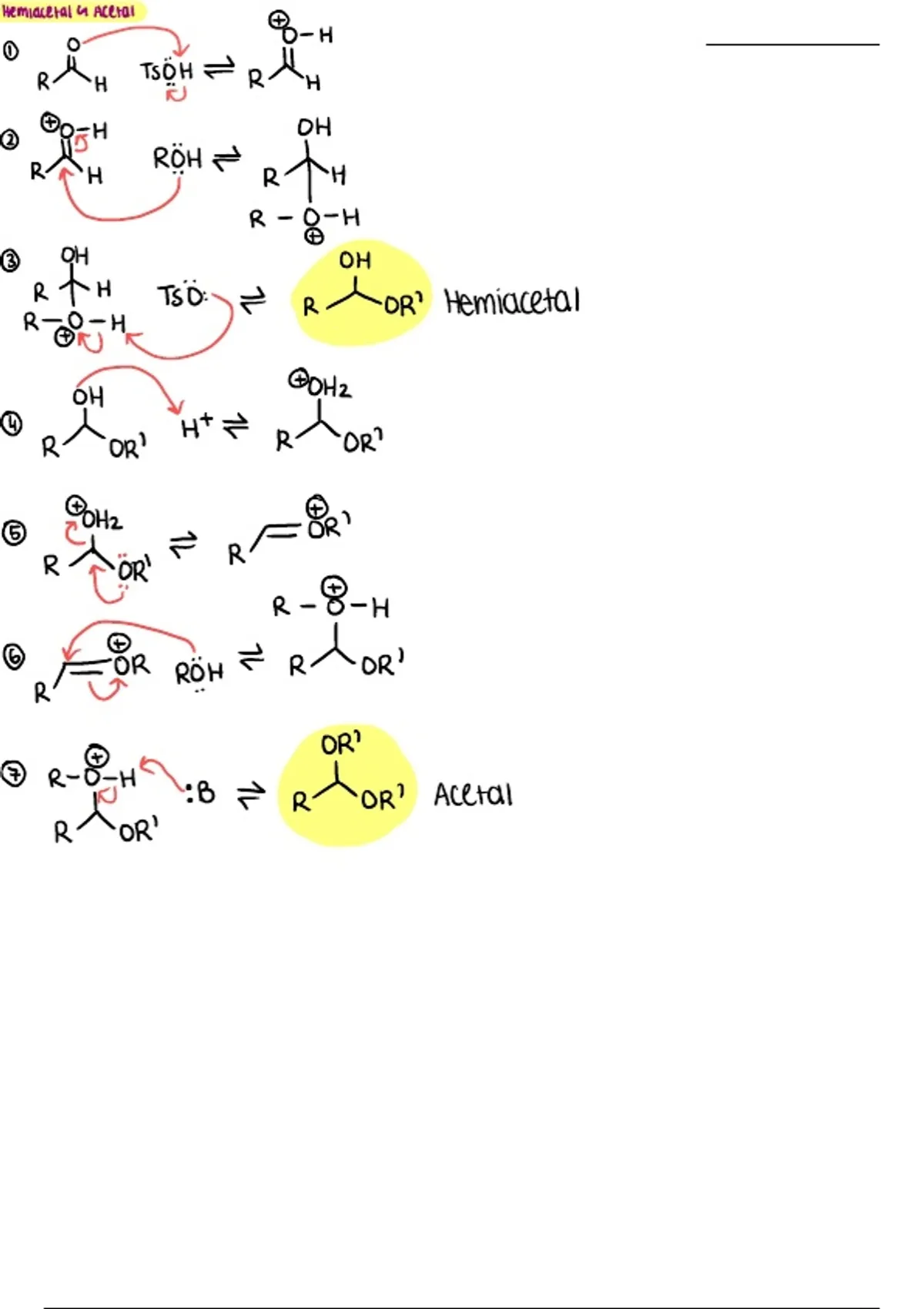
Hemiacetal in Acetal

O-H
① a
R TEHRAN
·



E
OH



&.. RHR
③ Oh H OM



R-iYorHemiacetal
RX a



off

OH2
*
R or MTRX ORI


For
H
⑮ R
&



#
R -
0 -
H

⑭ ↑

REOR RHY
⑥ Ror

?
OR
② R- H & ↑
& B + RT Or Acetal
R OR

,Vinyl Ether



LITTCH3 ~f




CH3
&
②H H104
&
is H



③ H Toon
G
① o
-

⑤ ⑦




Hid Xo
+ H30

,Aldehyde + 10 OH
&
①H TSH T H
one -




-H

&H
-




RO
I S
on
HR

1
OH OH
n T



b

① Note
b
H+ -
XO ⑦


V







⑧ RH TN01
& R
6 -

H
-


⑦Q 10
B
b
:

R
-S
-
H & b
-
$5.59
Get access to the full document:

100% satisfaction guarantee
Immediately available after payment
Both online and in PDF
No strings attached

Get to know the seller
Seller avatar
diyapatel8

Also available in package deal

Thumbnail
Package deal
MCAT (Biochemistry, Physics, Psych/Socio., Biology) Pack High Yield Notes
-
5 2025
$ 28.65 More info

Get to know the seller

Seller avatar
diyapatel8 Lake Erie College Of Osteopathic Medicine
View profile
Follow You need to be logged in order to follow users or courses
Sold
New on Stuvia
Member since
1 month
Number of followers
0
Documents
5
Last sold
-

0.0

0 reviews

5
0
4
0
3
0
2
0
1
0

Recently viewed by you

Why students choose Stuvia

Created by fellow students, verified by reviews

Quality you can trust: written by students who passed their tests and reviewed by others who've used these notes.

Didn't get what you expected? Choose another document

No worries! You can instantly pick a different document that better fits what you're looking for.

Pay as you like, start learning right away

No subscription, no commitments. Pay the way you're used to via credit card and download your PDF document instantly.

Student with book image

“Bought, downloaded, and aced it. It really can be that simple.”

Alisha Student

Frequently asked questions