Garantie de satisfaction à 100% Disponible immédiatement après paiement En ligne et en PDF Tu n'es attaché à rien 4,6 TrustPilot
logo-home
Examen

EXAMEN DE REPASO DE PROPORCIONALIDAD

Note
-
Vendu
-
Pages
1
Qualité
10 (Matrícula de Hon
Publié le
29-11-2025
Écrit en
2025/2026

Unos ejercicios sin respuestas para repasar antes del examen

Établissement
Cours








Oups ! Impossible de charger votre document. Réessayez ou contactez le support.

École, étude et sujet

Établissement
Lycée
Cours
ESO
Cours
Année scolaire
2

Infos sur le Document

Publié le
29 novembre 2025
Nombre de pages
1
Écrit en
2025/2026
Type
Examen
Contenu
Seulement des questions

Sujets

Aperçu du contenu

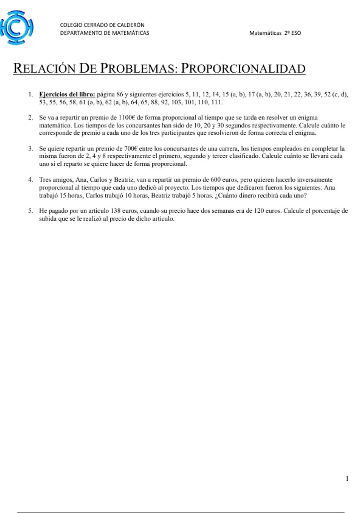
COLEGIO CERRADO DE CALDERÓN
DEPARTAMENTO DE MATEMÁTICAS Matemáticas 2º ESO




RELACIÓN DE PROBLEMAS: PROPORCIONALIDAD
1. Ejercicios del libro: página 86 y siguientes ejercicios 5, 11, 12, 14, 15 (a, b), 17 (a, b), 20, 21, 22, 36, 39, 52 (c, d),
53, 55, 56, 58, 61 (a, b), 62 (a, b), 64, 65, 88, 92, 103, 101, 110, 111.

2. Se va a repartir un premio de 1100€ de forma proporcional al tiempo que se tarda en resolver un enigma
matemático. Los tiempos de los concursantes han sido de 10, 20 y 30 segundos respectivamente. Calcule cuánto le
corresponde de premio a cada uno de los tres participantes que resolvieron de forma correcta el enigma.

3. Se quiere repartir un premio de 700€ entre los concursantes de una carrera, los tiempos empleados en completar la
misma fueron de 2, 4 y 8 respectivamente el primero, segundo y tercer clasificado. Calcule cuánto se llevará cada
uno si el reparto se quiere hacer de forma proporcional.

4. Tres amigos, Ana, Carlos y Beatriz, van a repartir un premio de 600 euros, pero quieren hacerlo inversamente
proporcional al tiempo que cada uno dedicó al proyecto. Los tiempos que dedicaron fueron los siguientes: Ana
trabajó 15 horas, Carlos trabajó 10 horas, Beatriz trabajó 5 horas. ¿Cuánto dinero recibirá cada uno?

5. He pagado por un artículo 138 euros, cuando su precio hace dos semanas era de 120 euros. Calcule el porcentaje de
subida que se le realizó al precio de dicho artículo.




1
$9.17
Accéder à l'intégralité du document:

Garantie de satisfaction à 100%
Disponible immédiatement après paiement
En ligne et en PDF
Tu n'es attaché à rien

Faites connaissance avec le vendeur
Seller avatar
doreenjimnezneyra

Document également disponible en groupe

Faites connaissance avec le vendeur

Seller avatar
doreenjimnezneyra
S'abonner Vous devez être connecté afin de pouvoir suivre les étudiants ou les formations
Vendu
1
Membre depuis
2 mois
Nombre de followers
0
Documents
19
Dernière vente
2 mois de cela

0.0

0 revues

5
0
4
0
3
0
2
0
1
0

Récemment consulté par vous

Pourquoi les étudiants choisissent Stuvia

Créé par d'autres étudiants, vérifié par les avis

Une qualité sur laquelle compter : rédigé par des étudiants qui ont réussi et évalué par d'autres qui ont utilisé ce document.

Le document ne convient pas ? Choisis un autre document

Aucun souci ! Tu peux sélectionner directement un autre document qui correspond mieux à ce que tu cherches.

Paye comme tu veux, apprends aussitôt

Aucun abonnement, aucun engagement. Paye selon tes habitudes par carte de crédit et télécharge ton document PDF instantanément.

Student with book image

“Acheté, téléchargé et réussi. C'est aussi simple que ça.”

Alisha Student

Foire aux questions