Personenbelasting
Uitleg over aangifte in personenbelasting
Deel I: iedereen invullen
Vak I: bankrekening en telefoonnummers
Vak II: persoonlijke gegevens en gezinslasten
- Ongehuwd = fiscaal alleenstaand
o Gekend voor de wet
- Samenwonend op 3 manieren
o Gehuwd = gekend voor de wet
2 manieren
Met (huwelijks)contract
o Scheiding van goederen = elk eigen potje 2
vermogens
o 1 gemeenschappelijk vermogen: dus alles voor
huwelijk is voor beide partners
Wettelijk stelsel = zonder contract
o Eigen vermogen= alles wat je voor je gehuwt
bent is nog van jou en schenking en erfenis
tijdens huwelijk ook enkel van je
o 3 vermogens
Partner 1 vermogen
Partner 2 vermogen
3de vermogen gemeenschap = alles wat je
samen verwerft tijdens huwelijk
50-50 verhouding
o Kan soms verschillen
o Zelfstandig failliet dat andere
niet mee erin gaat
o Wettelijk samenwonend = gekend voor de wet
Verklaring afleggen in gemeentehuis
Wonen samen, maar niet gehuwd
Iedereen heeft eigen potje
Scheiding van goederen en samenwonend
Hier kan onverdeeldheid
o Geen 50-50 maar kan ook 60-40
o Feitelijk samenwonend = niet gekend voor de wet
2x alleenstaand
- Gehuwd of wettelijk samenwonend maakt niet uit voor personenbelasting
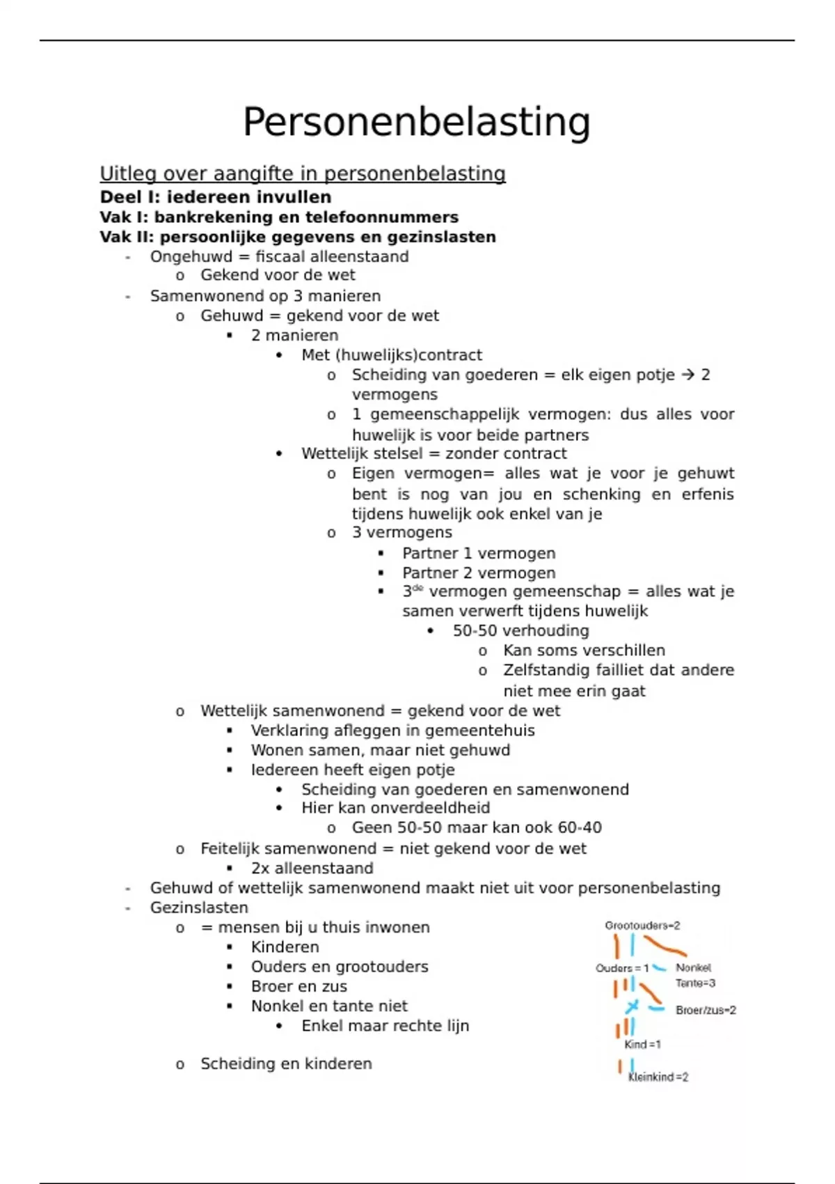
- Gezinslasten
o = mensen bij u thuis inwonen
Kinderen
Ouders en grootouders
Broer en zus
Nonkel en tante niet
Enkel maar rechte lijn
o Scheiding en kinderen
, Statuut aanvragen dat je kan delen
Kan via co-ouderschap (bij gezinslasten vraag 2 en 3)
Ene partner gaat akkoord om helft van fiscaal voordeel van
kind af te geven aan andere partner
Kan ook via alimentatiegeld
= onderhoudsgeld
Fiscaal aftrekbaar
Als kind bij 1 ouder enkel blijft
Je ontvangt onderhoudsuitkering
Degene die ontvangt moet dit bij ontvangen
onderhoudsuitkering zetten = vak VI*
Degene die geeft zet dit bij betaalde onderhoudsuitkeringen =
vak VIII?*
Vak III: inkomsten van onroerende goederen
- Wat zijn onroerende goederen? 1 van 4 inkomen (zie verder)
o In België niet op belast in Nederland wel voor je 1 ste huis
Iemand met villa moet meer betalen dan iemand in sociale
woning
o 2 huis moet je wel voor betalen
de
o Code 1106
Vak IV: wedden, lonen, werkloosheidsuitkeringen, wettelijke uitkeringen
bij ziekte of invaliditeit, vervangingsinkomsten en
werkloosheidsuitkeringen met bedrijfstoeslag
- Gewone bezoldigingen
o Loon en wedden
Als Loontrekker = werknemer en baas geeft u werk en betaalt
u
Stel brutoloon 100 nettoloon +-50
o Bruto loon invullen op 1950
o 13,07 voor RSZ (Rijksdienst voor Sociale
Zekerheid)
Zogezegd nog 96,93 over schrijf je op
1250 code
o Bedrijfsvoorheffing gaat ervan af
= voorschot op uw toekomstige belasting
Niet voor zelfstandige
o Vakantie geld = 85% van u wedde = wettelijk verplicht
Eindejaarspremie = niet wettelijk verplicht = 13 de maand
1385 = 13 van de 13de maand en 85 van vakantie geld
Zit in code 1255
- Werkloosheidsuitkeringen
- Wettelijke uitkeringen bij ziekte of invaliditeit
- Vervangingsinkomsten
Als je je beroep niet kan uitoefenen, vervanging van
beroepsinkomsten
Kan tijdelijk zijn ziekte
Kan blijvend zijn pensioen
Uitleg over aangifte in personenbelasting
Deel I: iedereen invullen
Vak I: bankrekening en telefoonnummers
Vak II: persoonlijke gegevens en gezinslasten
- Ongehuwd = fiscaal alleenstaand
o Gekend voor de wet
- Samenwonend op 3 manieren
o Gehuwd = gekend voor de wet
2 manieren
Met (huwelijks)contract
o Scheiding van goederen = elk eigen potje 2
vermogens
o 1 gemeenschappelijk vermogen: dus alles voor
huwelijk is voor beide partners
Wettelijk stelsel = zonder contract
o Eigen vermogen= alles wat je voor je gehuwt
bent is nog van jou en schenking en erfenis
tijdens huwelijk ook enkel van je
o 3 vermogens
Partner 1 vermogen
Partner 2 vermogen
3de vermogen gemeenschap = alles wat je
samen verwerft tijdens huwelijk
50-50 verhouding
o Kan soms verschillen
o Zelfstandig failliet dat andere
niet mee erin gaat
o Wettelijk samenwonend = gekend voor de wet
Verklaring afleggen in gemeentehuis
Wonen samen, maar niet gehuwd
Iedereen heeft eigen potje
Scheiding van goederen en samenwonend
Hier kan onverdeeldheid
o Geen 50-50 maar kan ook 60-40
o Feitelijk samenwonend = niet gekend voor de wet
2x alleenstaand
- Gehuwd of wettelijk samenwonend maakt niet uit voor personenbelasting
- Gezinslasten
o = mensen bij u thuis inwonen
Kinderen
Ouders en grootouders
Broer en zus
Nonkel en tante niet
Enkel maar rechte lijn
o Scheiding en kinderen
, Statuut aanvragen dat je kan delen
Kan via co-ouderschap (bij gezinslasten vraag 2 en 3)
Ene partner gaat akkoord om helft van fiscaal voordeel van
kind af te geven aan andere partner
Kan ook via alimentatiegeld
= onderhoudsgeld
Fiscaal aftrekbaar
Als kind bij 1 ouder enkel blijft
Je ontvangt onderhoudsuitkering
Degene die ontvangt moet dit bij ontvangen
onderhoudsuitkering zetten = vak VI*
Degene die geeft zet dit bij betaalde onderhoudsuitkeringen =
vak VIII?*
Vak III: inkomsten van onroerende goederen
- Wat zijn onroerende goederen? 1 van 4 inkomen (zie verder)
o In België niet op belast in Nederland wel voor je 1 ste huis
Iemand met villa moet meer betalen dan iemand in sociale
woning
o 2 huis moet je wel voor betalen
de
o Code 1106
Vak IV: wedden, lonen, werkloosheidsuitkeringen, wettelijke uitkeringen
bij ziekte of invaliditeit, vervangingsinkomsten en
werkloosheidsuitkeringen met bedrijfstoeslag
- Gewone bezoldigingen
o Loon en wedden
Als Loontrekker = werknemer en baas geeft u werk en betaalt
u
Stel brutoloon 100 nettoloon +-50
o Bruto loon invullen op 1950
o 13,07 voor RSZ (Rijksdienst voor Sociale
Zekerheid)
Zogezegd nog 96,93 over schrijf je op
1250 code
o Bedrijfsvoorheffing gaat ervan af
= voorschot op uw toekomstige belasting
Niet voor zelfstandige
o Vakantie geld = 85% van u wedde = wettelijk verplicht
Eindejaarspremie = niet wettelijk verplicht = 13 de maand
1385 = 13 van de 13de maand en 85 van vakantie geld
Zit in code 1255
- Werkloosheidsuitkeringen
- Wettelijke uitkeringen bij ziekte of invaliditeit
- Vervangingsinkomsten
Als je je beroep niet kan uitoefenen, vervanging van
beroepsinkomsten
Kan tijdelijk zijn ziekte
Kan blijvend zijn pensioen