100% satisfaction guarantee Immediately available after payment Both online and in PDF No strings attached 4.6 TrustPilot
logo-home
Summary

Summary topic 6 Biology AQA A-level Notes

Rating
-
Sold
-
Pages
2
Uploaded on
10-01-2025
Written in
2024/2025

Master AQA Biology Topic 6 with My In-Depth Notes!

Institution
Course








Whoops! We can’t load your doc right now. Try again or contact support.

Written for

Study Level
Examinator
Subject
Unit

Document information

Uploaded on
January 10, 2025
Number of pages
2
Written in
2024/2025
Type
Summary

Subjects

Content preview

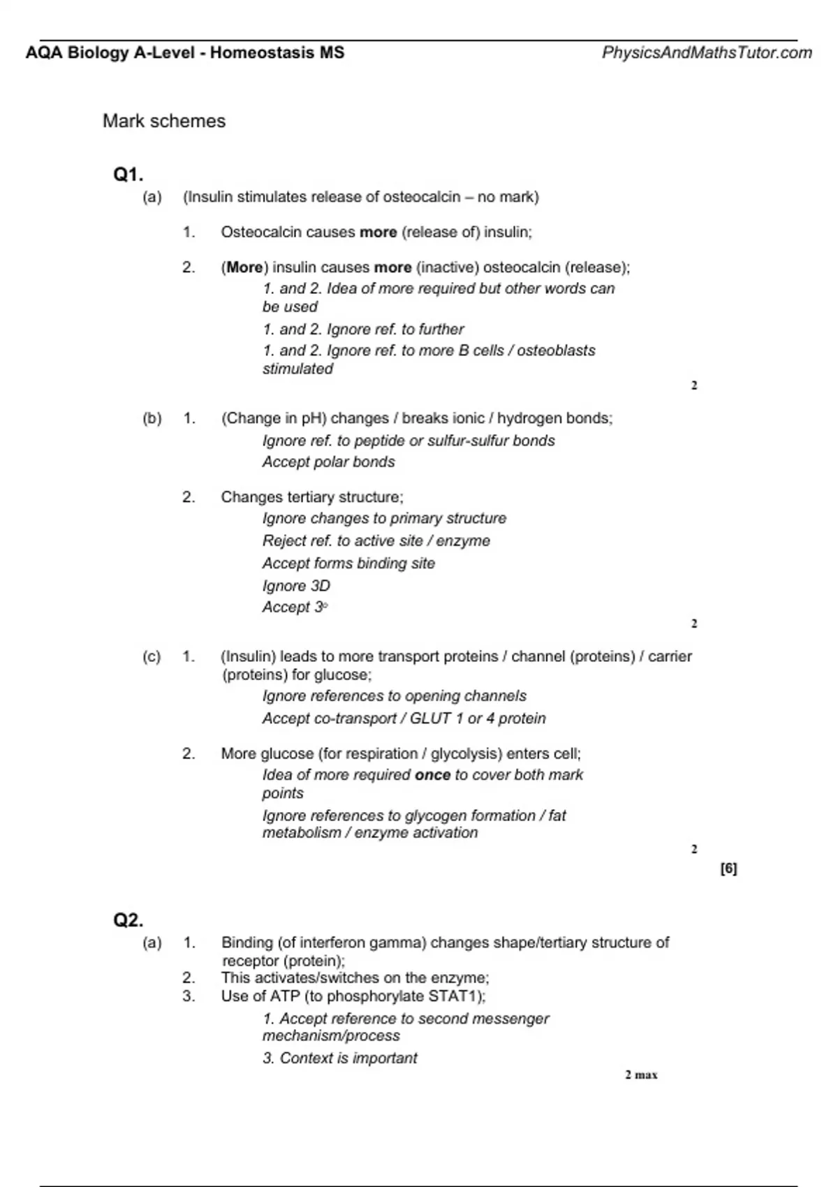
AQA Biology A-Level - Homeostasis MS PhysicsAndMathsTutor.com



Mark schemes

Q1.
(a) (Insulin stimulates release of osteocalcin – no mark)

1. Osteocalcin causes more (release of) insulin;

2. (More) insulin causes more (inactive) osteocalcin (release);
1. and 2. Idea of more required but other words can
be used
1. and 2. Ignore ref. to further
1. and 2. Ignore ref. to more B cells / osteoblasts
stimulated
2

(b) 1. (Change in pH) changes / breaks ionic / hydrogen bonds;
Ignore ref. to peptide or sulfur-sulfur bonds
Accept polar bonds

2. Changes tertiary structure;
Ignore changes to primary structure
Reject ref. to active site / enzyme
Accept forms binding site
Ignore 3D
Accept 3o
2

(c) 1. (Insulin) leads to more transport proteins / channel (proteins) / carrier
(proteins) for glucose;
Ignore references to opening channels
Accept co-transport / GLUT 1 or 4 protein

2. More glucose (for respiration / glycolysis) enters cell;
Idea of more required once to cover both mark
points
Ignore references to glycogen formation / fat
metabolism / enzyme activation
2
[6]


Q2.
(a) 1. Binding (of interferon gamma) changes shape/tertiary structure of
receptor (protein);
2. This activates/switches on the enzyme;
3. Use of ATP (to phosphorylate STAT1);
1. Accept reference to second messenger
mechanism/process
3. Context is important
2 max
$15.32
Get access to the full document:

100% satisfaction guarantee
Immediately available after payment
Both online and in PDF
No strings attached

Get to know the seller
Seller avatar
sophiavinci

Get to know the seller

Seller avatar
sophiavinci
Follow You need to be logged in order to follow users or courses
Sold
0
Member since
1 year
Number of followers
0
Documents
8
Last sold
-

0.0

0 reviews

5
0
4
0
3
0
2
0
1
0

Recently viewed by you

Why students choose Stuvia

Created by fellow students, verified by reviews

Quality you can trust: written by students who passed their tests and reviewed by others who've used these notes.

Didn't get what you expected? Choose another document

No worries! You can instantly pick a different document that better fits what you're looking for.

Pay as you like, start learning right away

No subscription, no commitments. Pay the way you're used to via credit card and download your PDF document instantly.

Student with book image

“Bought, downloaded, and aced it. It really can be that simple.”

Alisha Student

Frequently asked questions