Garantie de satisfaction à 100% Disponible immédiatement après paiement En ligne et en PDF Tu n'es attaché à rien 4.2 TrustPilot
logo-home
Resume

Summary chapter 2

Note
-
Vendu
-
Pages
1
Publié le
14-10-2024
Écrit en
2023/2024

further information on chapter 2, more specifically conformers









Oups ! Impossible de charger votre document. Réessayez ou contactez le support.

Infos sur le Document

Publié le
14 octobre 2024
Nombre de pages
1
Écrit en
2023/2024
Type
Resume

Sujets

Aperçu du contenu

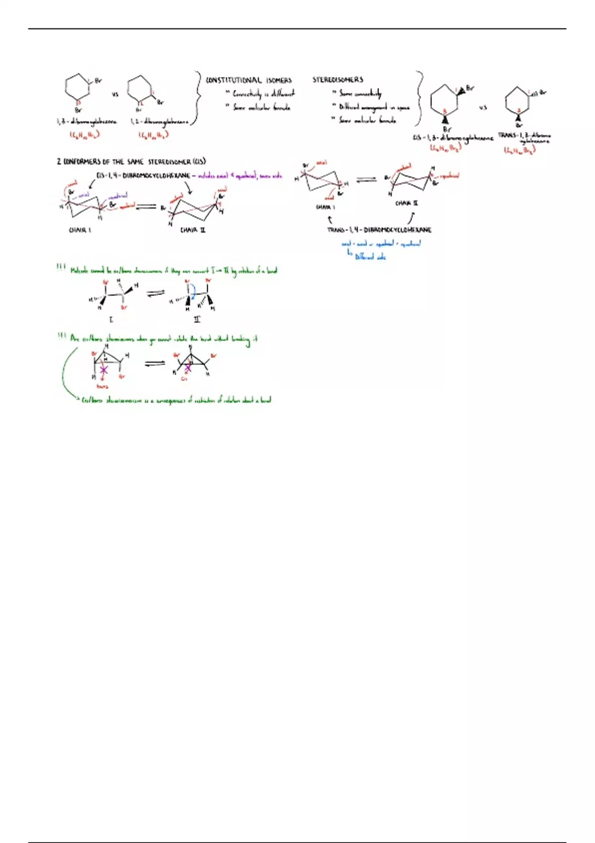
us connectivity
isdifferent Sameconnectivity
www.uyastntw
2
B molalarbia same
mg mm
Samemolecularformula
Myth us
yummy e
y 13dibrom
as 1,3dibromocyclohexaneTRANScyclohexane
Bra
Clotho
Bra
Clotho
CONFORMERS
OFTHESAMESTEREOISOMERCIS
s1
l i
ÉÉÉ E
CHAIR
y3
agjyt.fi ftp.t.gy.II.EE
chair
trans
1,4
entire
DIBROMOCYCLOIXANE


axialtaxialorequatonaliequatorial




cannotb ecisltrans
Molecule
iftheycanconvert
s tereoisomer byrotatonofabond




it I É T.mill I
Arecisltrans stereoisomerswhen
you
rotate
cannot thebondwithoutbreakingit


in
www.y.nmnnn.nn.g.nnn.mn
$8.49
Accéder à l'intégralité du document:

Garantie de satisfaction à 100%
Disponible immédiatement après paiement
En ligne et en PDF
Tu n'es attaché à rien

Faites connaissance avec le vendeur
Seller avatar
sabrinanguyen

Faites connaissance avec le vendeur

Seller avatar
sabrinanguyen Rutgers University - Newark
Voir profil
S'abonner Vous devez être connecté afin de suivre les étudiants ou les cours
Vendu
0
Membre depuis
2 année
Nombre de followers
0
Documents
11
Dernière vente
-

0.0

0 revues

5
0
4
0
3
0
2
0
1
0

Récemment consulté par vous

Pourquoi les étudiants choisissent Stuvia

Créé par d'autres étudiants, vérifié par les avis

Une qualité sur laquelle compter : rédigé par des étudiants qui ont réussi et évalué par d'autres qui ont utilisé ce document.

Le document ne convient pas ? Choisis un autre document

Aucun souci ! Tu peux sélectionner directement un autre document qui correspond mieux à ce que tu cherches.

Paye comme tu veux, apprends aussitôt

Aucun abonnement, aucun engagement. Paye selon tes habitudes par carte de crédit et télécharge ton document PDF instantanément.

Student with book image

“Acheté, téléchargé et réussi. C'est aussi simple que ça.”

Alisha Student

Foire aux questions