100% tevredenheidsgarantie Direct beschikbaar na je betaling Lees online óf als PDF Geen vaste maandelijkse kosten 4.2 TrustPilot
logo-home
College aantekeningen

Ultimate Class 9 Chemistry Notes

Beoordeling
-
Verkocht
-
Pagina's
4
Geüpload op
03-10-2024
Geschreven in
2024/2025

Ace Chemistry Struggling to keep up with Chemistry? This Comprehensive Class 9 Chemistry Notes Package is your perfect study companion! Covering the critical lessons Structure of Atoms — these notes provide clear, concise explanations to help you grasp even the toughest concepts. What sets these notes apart? Detailed flowcharts are included to simplify complex topics, making your learning more visual and engaging. Whether you're revising for exams or need a quick review, these notes will help you master Chemistry with confidence!

Meer zien Lees minder
Instelling
Vak








Oeps! We kunnen je document nu niet laden. Probeer het nog eens of neem contact op met support.

Geschreven voor

Instelling
Middelbare school
Vak
School jaar
3

Documentinformatie

Geüpload op
3 oktober 2024
Aantal pagina's
4
Geschreven in
2024/2025
Type
College aantekeningen
Docent(en)
Unknown
Bevat
Alle colleges

Onderwerpen

Voorbeeld van de inhoud

CHEMISTRY
CHAPTER - 03
ATOMS AND MOLECULES
Laws of Chemical Combination:
1. Law of conservation of mass (Antoine Lavoisier)
The law of conservation of mass states that mass can neither be created nor be destroyed in a chemical reaction.
The law of conservation of mass means that in a chemical reaction, the total mass of products is equal to the total
mass of reactants. There is no change in the mass during a chemical reaction.
Suppose a chemical reaction takes place between substances A and B and if the products formed are C and D as:



If ‘a’ g of A and ‘b’ g of B react to produce ‘c’ g if C and ‘d’ g of D. Then according to law of conservation of
mass, we have
a + b = c + d.

2. Law of constant proportions (Joseph L. Proust.)
“In a chemical substance, the elements are always present in definite proportions by their mass”. The chemical
composition of pure substance is not dependent on the source from which it is obtained.

3. Dalton’s atomic theory
● All matter is made of very tiny particles called atoms, which participate in chemical reactions.
● Atoms are indivisible particles, which cannot be created or destroyed in a chemical reaction.
● Atoms of a given element are identical in mass and chemical properties.
● Atoms of different elements have different masses and chemical properties.
● Atoms combine in the ratio of small whole numbers to form compounds.
● The relative number and kinds of atoms are constant in a given compound.



4. Atom: Atoms are defined as “the basic building blocks of matter”.
Atomic radius is measured in nanometre.
1nm = 10-9m



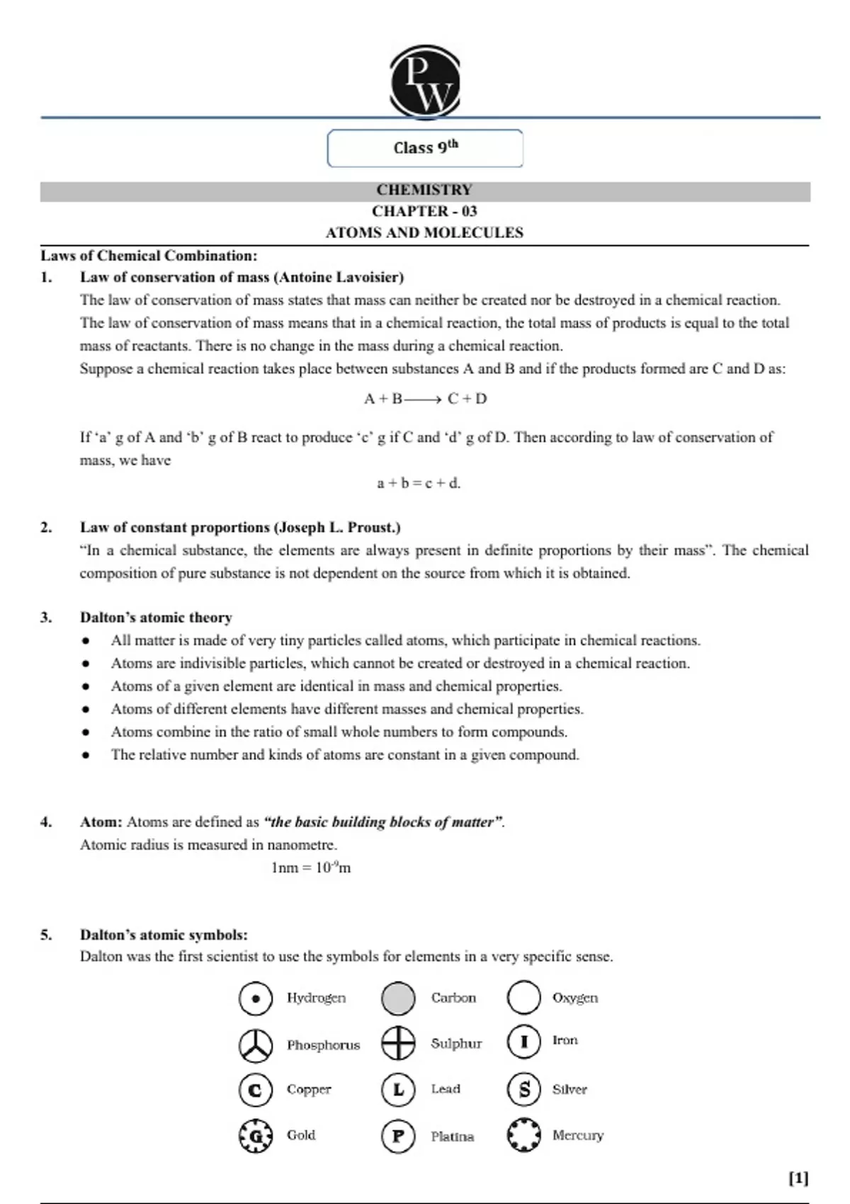
5. Dalton’s atomic symbols:
Dalton was the first scientist to use the symbols for elements in a very specific sense.




[1]
$4.99
Krijg toegang tot het volledige document:

100% tevredenheidsgarantie
Direct beschikbaar na je betaling
Lees online óf als PDF
Geen vaste maandelijkse kosten

Maak kennis met de verkoper
Seller avatar
areebajunaid

Ook beschikbaar in voordeelbundel

Maak kennis met de verkoper

Seller avatar
areebajunaid
Volgen Je moet ingelogd zijn om studenten of vakken te kunnen volgen
Verkocht
0
Lid sinds
1 jaar
Aantal volgers
0
Documenten
19
Laatst verkocht
-
StudyPro Resources :Premium High-Quality Notes for High Achievers

Hi this is me & I sell really amazing notes crafted just for high achievers the notes are not just any other cheap one's They are made by a really famous Online study hub once you buy you'll get to know also if you want any specific chapter notes do let me know within 24 hours you will receive them I look forward with your responses soon & For any questions do let me know.

0.0

0 beoordelingen

5
0
4
0
3
0
2
0
1
0

Recent door jou bekeken

Waarom studenten kiezen voor Stuvia

Gemaakt door medestudenten, geverifieerd door reviews

Kwaliteit die je kunt vertrouwen: geschreven door studenten die slaagden en beoordeeld door anderen die dit document gebruikten.

Niet tevreden? Kies een ander document

Geen zorgen! Je kunt voor hetzelfde geld direct een ander document kiezen dat beter past bij wat je zoekt.

Betaal zoals je wilt, start meteen met leren

Geen abonnement, geen verplichtingen. Betaal zoals je gewend bent via iDeal of creditcard en download je PDF-document meteen.

Student with book image

“Gekocht, gedownload en geslaagd. Zo makkelijk kan het dus zijn.”

Alisha Student

Veelgestelde vragen