100% tevredenheidsgarantie Direct beschikbaar na je betaling Lees online óf als PDF Geen vaste maandelijkse kosten 4.2 TrustPilot
logo-home
College aantekeningen

Class notes Mathematics

Beoordeling
-
Verkocht
-
Pagina's
1
Geüpload op
04-08-2024
Geschreven in
2024/2025

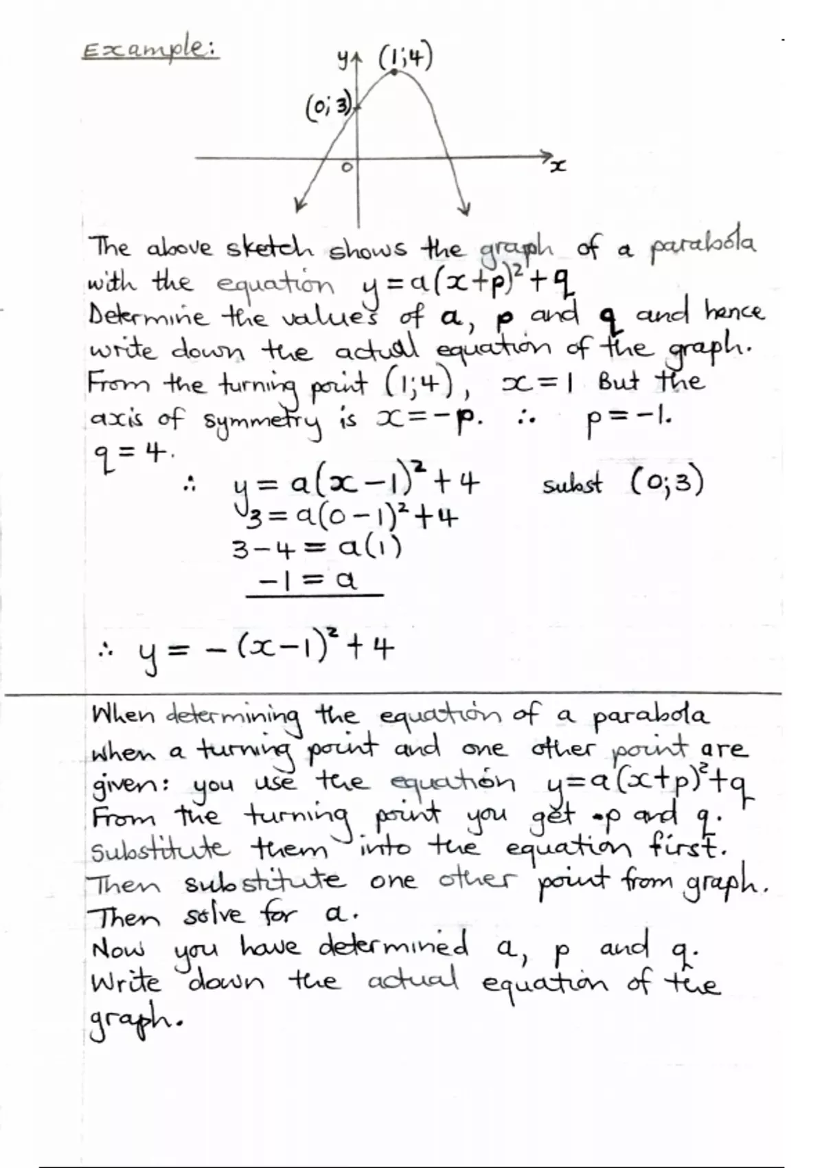
Analytical geometry simplified with examples and clear steps in solving problems

Instelling
Vak








Oeps! We kunnen je document nu niet laden. Probeer het nog eens of neem contact op met support.

Geschreven voor

Instelling
Vak
Schooljaar
200

Documentinformatie

Geüpload op
4 augustus 2024
Aantal pagina's
1
Geschreven in
2024/2025
Type
College aantekeningen
Docent(en)
Sam
Bevat
Alle colleges

Onderwerpen

$8.36
Krijg toegang tot het volledige document:

100% tevredenheidsgarantie
Direct beschikbaar na je betaling
Lees online óf als PDF
Geen vaste maandelijkse kosten

Maak kennis met de verkoper
Seller avatar
alliek

Maak kennis met de verkoper

Seller avatar
alliek University of South Africa (Unisa)
Volgen Je moet ingelogd zijn om studenten of vakken te kunnen volgen
Verkocht
0
Lid sinds
1 jaar
Aantal volgers
0
Documenten
9
Laatst verkocht
-

0.0

0 beoordelingen

5
0
4
0
3
0
2
0
1
0

Recent door jou bekeken

Waarom studenten kiezen voor Stuvia

Gemaakt door medestudenten, geverifieerd door reviews

Kwaliteit die je kunt vertrouwen: geschreven door studenten die slaagden en beoordeeld door anderen die dit document gebruikten.

Niet tevreden? Kies een ander document

Geen zorgen! Je kunt voor hetzelfde geld direct een ander document kiezen dat beter past bij wat je zoekt.

Betaal zoals je wilt, start meteen met leren

Geen abonnement, geen verplichtingen. Betaal zoals je gewend bent via iDeal of creditcard en download je PDF-document meteen.

Student with book image

“Gekocht, gedownload en geslaagd. Zo makkelijk kan het dus zijn.”

Alisha Student

Veelgestelde vragen