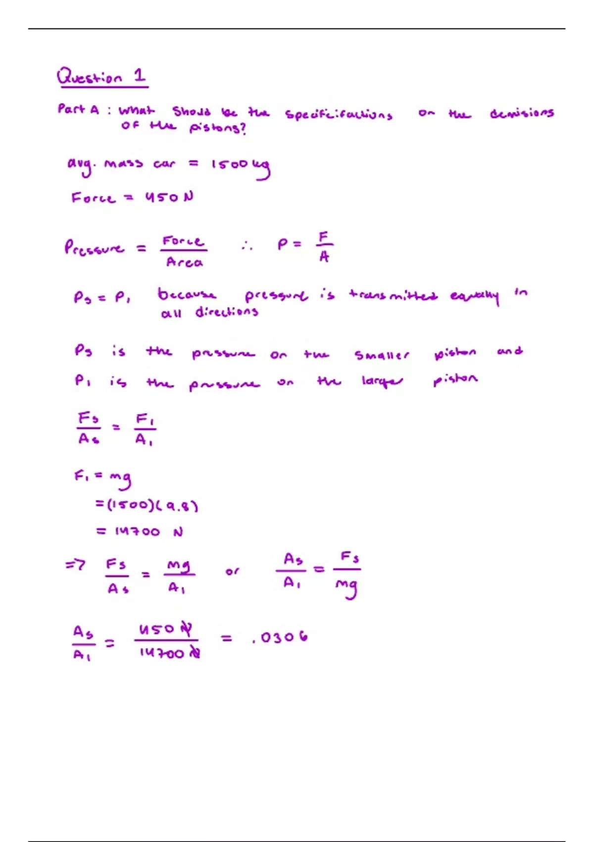
Class notes
PHYS 220 Homework 12 Answers
Rating
Sold
-
Pages
10
Uploaded on
11-03-2024
Written in
2023/2024
Homework 12 Answers Purdue University. PHYS 220.
Institution
Purdue University
Course
PHYS 220
Whoops! We can’t load your doc right now. Try again or contact support.
Written for
- Institution
-
Purdue University
- Course
-
PHYS 220
Document information
- Uploaded on
- March 11, 2024
- Number of pages
- 10
- Written in
- 2023/2024
- Type
- Class notes
- Professor(s)
- Hood
- Contains
- All classes
Subjects
$8.49
Get access to the full document:
100% satisfaction guarantee
Immediately available after payment
Both online and in PDF
No strings attached
Get to know the seller
gmturner3
Also available in package deal
Package deal
Purdue Physics 220 Homework Answers Pack
14
2024
$ 111.36
More info