Accounting II
Lecture 1:
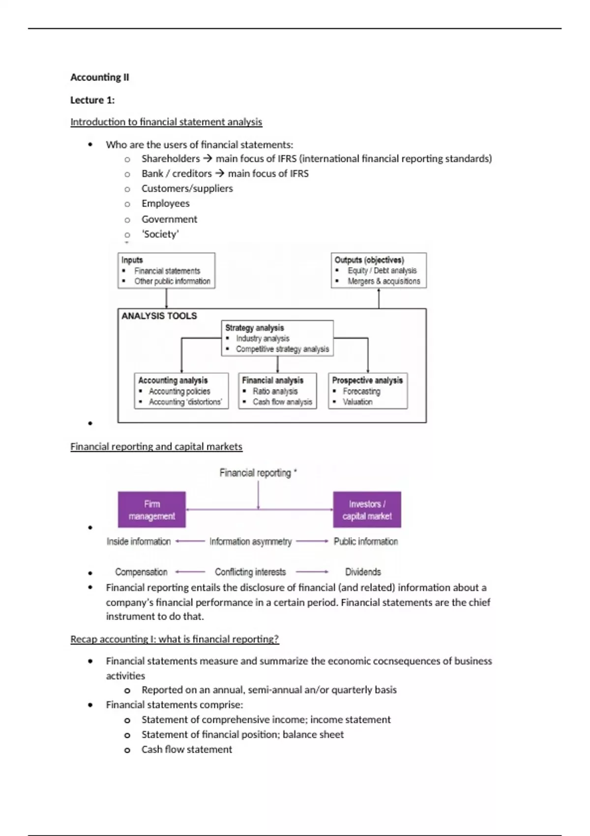
Introduction to financial statement analysis
Who are the users of financial statements:
o Shareholders main focus of IFRS (international financial reporting standards)
o Bank / creditors main focus of IFRS
o Customers/suppliers
o Employees
o Government
o ‘Society’
Financial reporting and capital markets
Financial reporting entails the disclosure of financial (and related) information about a
company’s financial performance in a certain period. Financial statements are the chief
instrument to do that.
Recap accounting I: what is financial reporting?
Financial statements measure and summarize the economic cocnsequences of business
activities
o Reported on an annual, semi-annual an/or quarterly basis
Financial statements comprise:
o Statement of comprehensive income; income statement
o Statement of financial position; balance sheet
o Cash flow statement
, o Statement of changes in equity
o Notes
o
Beyond accounting I: influences on financial reporting
We focus on two major themes (or influences on financial reporting)
o Accrual accounting and discretion
o Managers’ influence on financial statements
Other factors that affect financial reporting:
o Accounting conventions and standards
European listed firms apply IFRS
o Auditing and the regulatory framework
Key takeaway: accounting is not ‘objective’, and there is no ‘true’ outcome
Theme 1: accrual accounting and discretion
IFRS defines the following statement elements
o Revenues, expenses (income statement)
o Assets, liabilities, equity (balance sheet)
Financial reports are prepared using accrual accounting
o Transactions are recorded when they occur, rather than at the time of a cash flow
For example: revenue recognition, depreciation
Net income = cash flow + accruals (discretion!)
Accrual accounting means that there is a trade-off due to:
o Accounting estimates: what is the right number?
o Flexibility in standards: how much discretion to choose a number?
, o Imperfect rules: do the rules still reflect the current environment?
o Managers’ incentives: do they want to present the right number?
Theme II: management incentives
Management has superior knowledge of a firm’s business:
o Using accounting, it can communicate insider information to investors
For example:
Useful lives of assets
Revenue recognition
o However there are also incentives to distort accounting numbers
Management compensation
Debt contracts
o As a result there is a trade-off surrounding management discretion
ESG reporting & stakeholder orientation
Three pillars of ESG reporting
o
Major ESG focus on reporting greenhouse gas emissions
o Scope 1:
All direct emissions within organization’s control
o Scope 2:
Indirect emissions from purchased electricity, heat, steam, or cooling
o Scope 3:
Other indirect emissions in entire value chain
Greatest share of a firm’s carbon footprint
Toturial 1
Accounting I
Balance sheet debit = assets, credit = liabilities + equity
Income statement expense/loss, revenue/gain (change in equity)
Accounting for non-current assets:
Property, plant and equipment
o Cost of property, plant and equipment is
recognized as an asset if, and only if:
• it is probable that future economic
benefits associated with the item
will flow to the entity; and
• the cost of the item can be
measured reliably.
Lecture 1:
Introduction to financial statement analysis
Who are the users of financial statements:
o Shareholders main focus of IFRS (international financial reporting standards)
o Bank / creditors main focus of IFRS
o Customers/suppliers
o Employees
o Government
o ‘Society’
Financial reporting and capital markets
Financial reporting entails the disclosure of financial (and related) information about a
company’s financial performance in a certain period. Financial statements are the chief
instrument to do that.
Recap accounting I: what is financial reporting?
Financial statements measure and summarize the economic cocnsequences of business
activities
o Reported on an annual, semi-annual an/or quarterly basis
Financial statements comprise:
o Statement of comprehensive income; income statement
o Statement of financial position; balance sheet
o Cash flow statement
, o Statement of changes in equity
o Notes
o
Beyond accounting I: influences on financial reporting
We focus on two major themes (or influences on financial reporting)
o Accrual accounting and discretion
o Managers’ influence on financial statements
Other factors that affect financial reporting:
o Accounting conventions and standards
European listed firms apply IFRS
o Auditing and the regulatory framework
Key takeaway: accounting is not ‘objective’, and there is no ‘true’ outcome
Theme 1: accrual accounting and discretion
IFRS defines the following statement elements
o Revenues, expenses (income statement)
o Assets, liabilities, equity (balance sheet)
Financial reports are prepared using accrual accounting
o Transactions are recorded when they occur, rather than at the time of a cash flow
For example: revenue recognition, depreciation
Net income = cash flow + accruals (discretion!)
Accrual accounting means that there is a trade-off due to:
o Accounting estimates: what is the right number?
o Flexibility in standards: how much discretion to choose a number?
, o Imperfect rules: do the rules still reflect the current environment?
o Managers’ incentives: do they want to present the right number?
Theme II: management incentives
Management has superior knowledge of a firm’s business:
o Using accounting, it can communicate insider information to investors
For example:
Useful lives of assets
Revenue recognition
o However there are also incentives to distort accounting numbers
Management compensation
Debt contracts
o As a result there is a trade-off surrounding management discretion
ESG reporting & stakeholder orientation
Three pillars of ESG reporting
o
Major ESG focus on reporting greenhouse gas emissions
o Scope 1:
All direct emissions within organization’s control
o Scope 2:
Indirect emissions from purchased electricity, heat, steam, or cooling
o Scope 3:
Other indirect emissions in entire value chain
Greatest share of a firm’s carbon footprint
Toturial 1
Accounting I
Balance sheet debit = assets, credit = liabilities + equity
Income statement expense/loss, revenue/gain (change in equity)
Accounting for non-current assets:
Property, plant and equipment
o Cost of property, plant and equipment is
recognized as an asset if, and only if:
• it is probable that future economic
benefits associated with the item
will flow to the entity; and
• the cost of the item can be
measured reliably.