100% satisfaction guarantee Immediately available after payment Both online and in PDF No strings attached 4.2 TrustPilot
logo-home
Exam (elaborations)

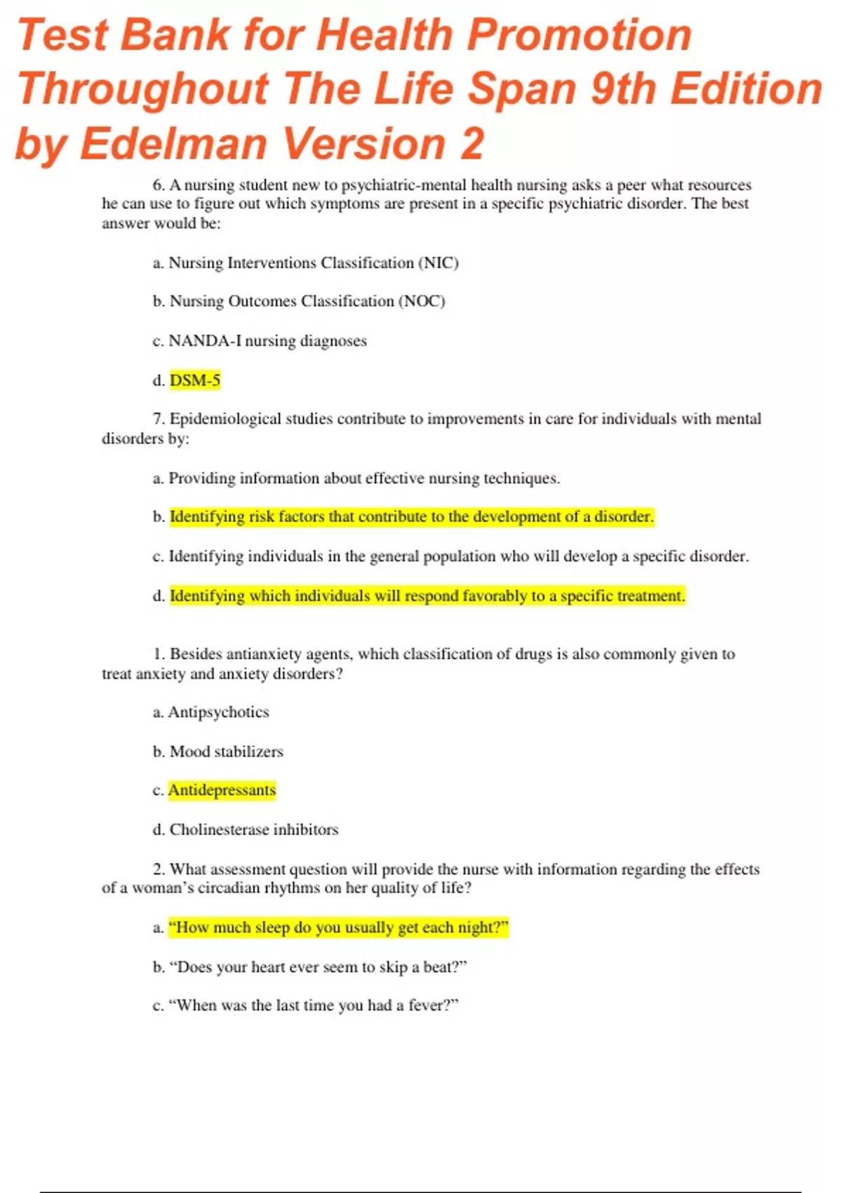
Test Bank For Health Promotion Throughout The Life Span 9th Edition by Edelman, Version 2, ( Deep Elaborated Answers]

Rating
5.0
(1)
Sold
-
Pages
88
Grade
A+
Uploaded on
07-11-2023
Written in
2023/2024

Test Bank For Health Promotion Throughout The Life Span 9th Edition by Edelman, Version 2, ( Deep Elaborated Answers]

Institution
Health Promotion Throughout The Life
Course
Health Promotion Throughout The Life











Whoops! We can’t load your doc right now. Try again or contact support.

Written for

Institution
Health Promotion Throughout The Life
Course
Health Promotion Throughout The Life

Document information

Uploaded on
November 7, 2023
Number of pages
88
Written in
2023/2024
Type
Exam (elaborations)
Contains
Questions & answers

Subjects

Reviews from verified buyers

Showing all reviews
2 year ago

2 year ago

Thanks for the review all the best in your studies.

5.0

1 reviews

5
1
4
0
3
0
2
0
1
0
Trustworthy reviews on Stuvia

All reviews are made by real Stuvia users after verified purchases.

Get to know the seller

Seller avatar
Reputation scores are based on the amount of documents a seller has sold for a fee and the reviews they have received for those documents. There are three levels: Bronze, Silver and Gold. The better the reputation, the more your can rely on the quality of the sellers work.
Andymoh Chamberlain College Of Nursing
View profile
Follow You need to be logged in order to follow users or courses
Sold
3204
Member since
4 year
Number of followers
2382
Documents
4511
Last sold
1 week ago
QUALITY DOCUMENTS FOR BEST RESULTS.

In my page you will find latest Exams, Test Banks,Solutions Manual, Exam Elaboration, Discussions, Case Studies,Essays etc. I upload quality and verified documents at an affordable price. Also check out the package deal and be guaranteed to pass. Help others to benefit from this study materials by leaving a review, SUCCESS.

4.1

657 reviews

5
394
4
111
3
63
2
23
1
66

Recently viewed by you

Why students choose Stuvia

Created by fellow students, verified by reviews

Quality you can trust: written by students who passed their tests and reviewed by others who've used these notes.

Didn't get what you expected? Choose another document

No worries! You can instantly pick a different document that better fits what you're looking for.

Pay as you like, start learning right away

No subscription, no commitments. Pay the way you're used to via credit card and download your PDF document instantly.

Student with book image

“Bought, downloaded, and aced it. It really can be that simple.”

Alisha Student

Frequently asked questions