100% satisfaction guarantee Immediately available after payment Both online and in PDF No strings attached 4.2 TrustPilot
logo-home
Exam (elaborations)

EDF 6226 M8 Guided Notes latest updated spring 2023

Rating
-
Sold
-
Pages
2
Uploaded on
12-09-2023
Written in
2023/2024

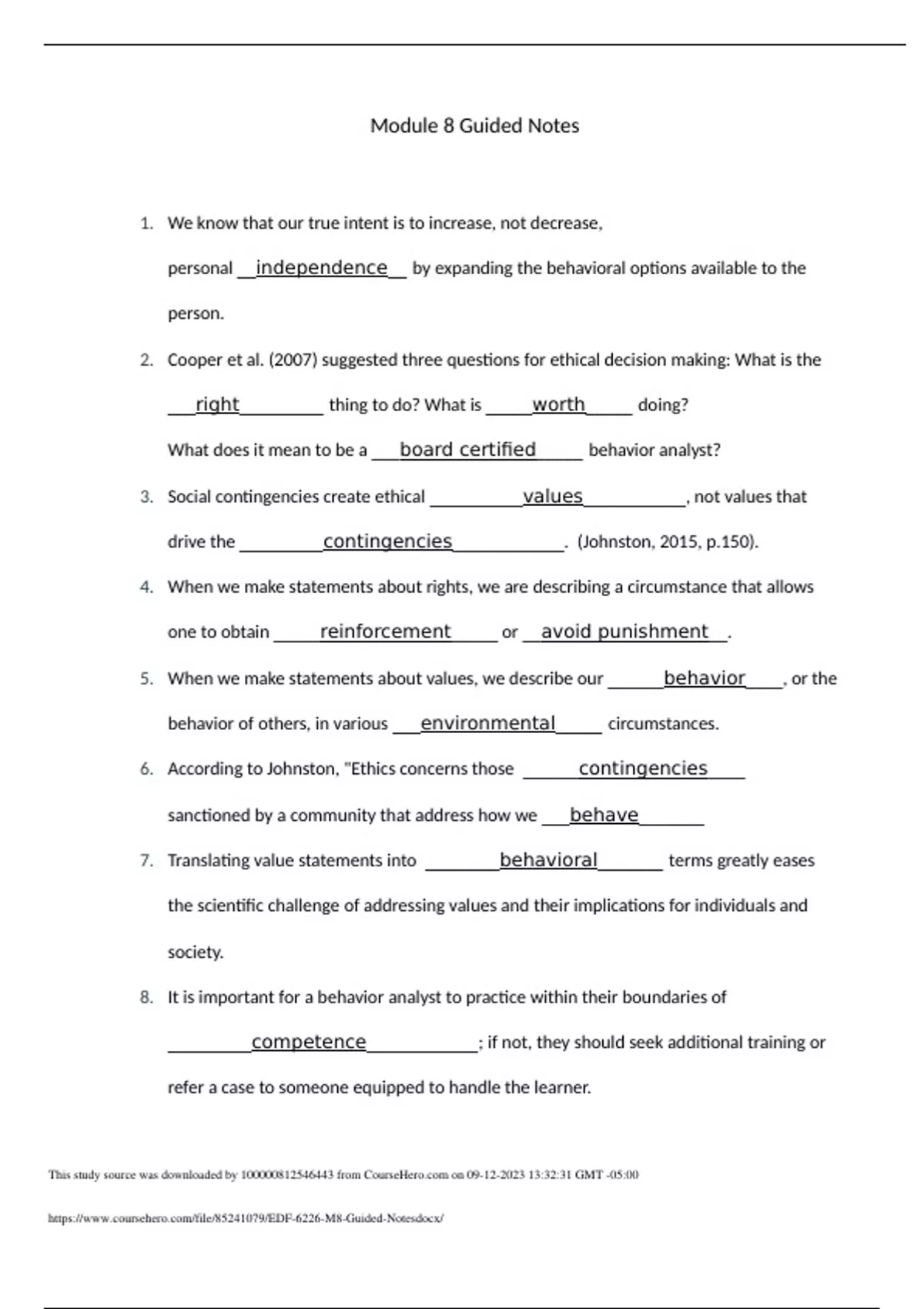
Module 8 Guided Notes 1. We know that our true intent is to increase, not decrease, personal __independence__ by expanding the behavioral options available to the person. 2. Cooper et al. (2007) suggested three questions for ethical decision making: What is the ___right_________ thing to do? What is _____worth_____ doing? What does it mean to be a ___b

Show more Read less








Whoops! We can’t load your doc right now. Try again or contact support.

Document information

Uploaded on
September 12, 2023
Number of pages
2
Written in
2023/2024
Type
Exam (elaborations)
Contains
Unknown

Get to know the seller

Seller avatar
Reputation scores are based on the amount of documents a seller has sold for a fee and the reviews they have received for those documents. There are three levels: Bronze, Silver and Gold. The better the reputation, the more your can rely on the quality of the sellers work.
Studygreatsolutions Yale University
View profile
Follow You need to be logged in order to follow users or courses
Sold
277
Member since
3 year
Number of followers
199
Documents
3501
Last sold
1 month ago
Studygreatsolutions

Hello FELLOW NURSES! I'm here to make nursing school a little bit EASIER. Discover the best Nursing Test Banks, Case studies, Assignments, Reviews, Study Guides & any other study Materials [Show Less]

3.8

79 reviews

5
37
4
15
3
10
2
9
1
8

Why students choose Stuvia

Created by fellow students, verified by reviews

Quality you can trust: written by students who passed their tests and reviewed by others who've used these notes.

Didn't get what you expected? Choose another document

No worries! You can instantly pick a different document that better fits what you're looking for.

Pay as you like, start learning right away

No subscription, no commitments. Pay the way you're used to via credit card and download your PDF document instantly.

Student with book image

“Bought, downloaded, and aced it. It really can be that simple.”

Alisha Student

Frequently asked questions