Garantie de satisfaction à 100% Disponible immédiatement après paiement En ligne et en PDF Tu n'es attaché à rien 4,6 TrustPilot
logo-home
Notes de cours

Pathophysiology and Pharmacotherapy of Atopic and Contact Dermatitis

Note
-
Vendu
-
Pages
5
Publié le
28-07-2023
Écrit en
2021/2022

Eczema (aka atopic dermatitis) and contact dermatitis is one of the topics discussed as part of the Doctor of Pharmacy curriculum. It is a disease state of high prevalence that requires in-depth understanding for proper treatment. These notes are a compilation of the pathophysiology as well as the non-drug and drug interventions in both atopic and contact dermatitis. All pharmacists, doctors and nurses working in the community setting will encounter patients who have some form of dermatitis; the proper treatments for both eczema and contact dermatitis are outlined in-detail in these notes and will definitely help enrich your knowledge in this disease area whether it be in preparation for the upcoming examinations, licensing exams or as part of continuing education. These notes are best studied along side the powerpoint presentation "Pharmacotherapy of Atopic Dermatitis".

Montrer plus Lire moins
Établissement
Cours









Oups ! Impossible de charger votre document. Réessayez ou contactez le support.

École, étude et sujet

Établissement
Cours
Cours

Infos sur le Document

Publié le
28 juillet 2023
Nombre de pages
5
Écrit en
2021/2022
Type
Notes de cours
Professeur(s)
Debra sibbald
Contenu
Pharmacotherapy of self-care

Sujets

Aperçu du contenu

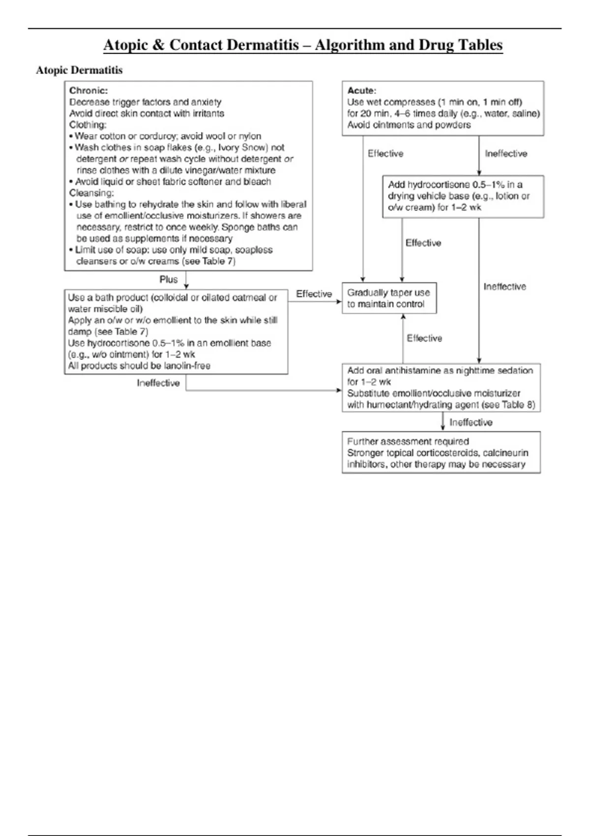
Atopic & Contact Dermatitis – Algorithm and Drug Tables
Atopic Dermatitis

, Contact Dermatitis
$11.69
Accéder à l'intégralité du document:

Garantie de satisfaction à 100%
Disponible immédiatement après paiement
En ligne et en PDF
Tu n'es attaché à rien

Faites connaissance avec le vendeur
Seller avatar
eileen-huephan

Document également disponible en groupe

Faites connaissance avec le vendeur

Seller avatar
eileen-huephan University of Toronto
S'abonner Vous devez être connecté afin de pouvoir suivre les étudiants ou les formations
Vendu
1
Membre depuis
2 année
Nombre de followers
0
Documents
7
Dernière vente
2 année de cela

0.0

0 revues

5
0
4
0
3
0
2
0
1
0

Récemment consulté par vous

Pourquoi les étudiants choisissent Stuvia

Créé par d'autres étudiants, vérifié par les avis

Une qualité sur laquelle compter : rédigé par des étudiants qui ont réussi et évalué par d'autres qui ont utilisé ce document.

Le document ne convient pas ? Choisis un autre document

Aucun souci ! Tu peux sélectionner directement un autre document qui correspond mieux à ce que tu cherches.

Paye comme tu veux, apprends aussitôt

Aucun abonnement, aucun engagement. Paye selon tes habitudes par carte de crédit et télécharge ton document PDF instantanément.

Student with book image

“Acheté, téléchargé et réussi. C'est aussi simple que ça.”

Alisha Student

Foire aux questions