100% tevredenheidsgarantie Direct beschikbaar na je betaling Lees online óf als PDF Geen vaste maandelijkse kosten 4.2 TrustPilot
logo-home
Tentamen (uitwerkingen)

(2025) HESI A2 PHYSICS COMPLETE STUDY GUIDE

Beoordeling
-
Verkocht
-
Pagina's
10
Cijfer
A+
Geüpload op
11-07-2023
Geschreven in
2022/2023

Questions, solutions, and the justification for the right response are all included in this document. Exam preparation is a great idea because it will deepen your understanding of the subject. This study material will help you ace your exams! We've helped students improve their grades simply by using our materials.

Meer zien Lees minder
Instelling
Hesi A2
Vak
Hesi A2









Oeps! We kunnen je document nu niet laden. Probeer het nog eens of neem contact op met support.

Geschreven voor

Instelling
Hesi A2
Vak
Hesi A2

Documentinformatie

Geüpload op
11 juli 2023
Aantal pagina's
10
Geschreven in
2022/2023
Type
Tentamen (uitwerkingen)
Bevat
Vragen en antwoorden

Onderwerpen

Voorbeeld van de inhoud

HESI A2 PHYSICS STUDY GUIDE
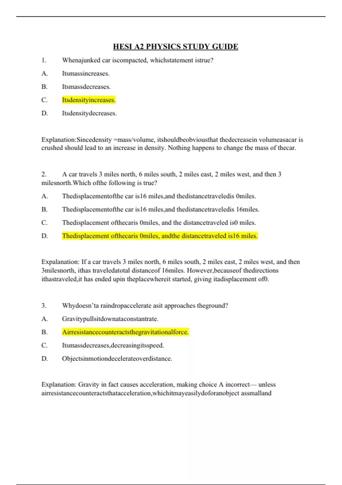
1. Whenajunked car iscompacted, whichstatement istrue?
A. Itsmassincreases.
B. Itsmassdecreases.
C. Itsdensityincreases.
D. Itsdensitydecreases.


Explanation:Sincedensity =mass/volume, itshouldbeobviousthat thedecreasein volumeasacar is
crushed should lead to an increase in density. Nothing happens to change the mass of thecar.


2. A car travels 3 miles north, 6 miles south, 2 miles east, 2 miles west, and then 3
milesnorth.Which ofthe following is true?
A. Thedisplacementofthe car is16 miles,and thedistancetraveledis 0miles.
B. Thedisplacementofthe car is16 miles,and thedistancetraveledis 16miles.
C. Thedisplacement ofthecaris 0miles, and the distancetraveled is0 miles.
D. Thedisplacement ofthecaris 0miles, andthe distancetraveled is16 miles.


Expalanation: If a car travels 3 miles north, 6 miles south, 2 miles east, 2 miles west, and then
3milesnorth, ithas traveledatotal distanceof 16miles. However,becauseof thedirections
ithastraveled,it has ended upin theplacewhereit started, giving itadisplacement of0.


3. Whydoesn’ta raindropaccelerate asit approaches theground?
A. Gravitypullsitdownataconstantrate.
B. Airresistancecounteractsthegravitationalforce.
C. Itsmassdecreases,decreasingitsspeed.
D. Objectsinmotiondecelerateoverdistance.


Explanation: Gravity in fact causes acceleration, making choice A incorrect— unless
airresistancecounteractsthatacceleration,whichitmayeasilydoforanobject assmalland

, lightweightasaraindrop. Raindropsmay losemass (choiceC),but thatwould
notdecreasetheiracceleration.ChoiceDviolates Newton’sfirst law.
4. Anobject moves100 m in10 s.What is thevelocity ofthe object overthistime?
A. 10m/s
B. 90m/s
C. 110m/s
D.1,000 m/s


Explanation:Velocityis thechangeindistanceovertime.100 m/10s isthe sameas 10m/s.


5. Whichoftheseobjects hasthe greatest momentum?
A. A1,250-kg car moving at 5 m/s
B. An80-kgpersonrunningat4 m/s
C. A10-kgpieceofmeteoritemoving at600m/s
D. A0.5-kgrockmoving at40m/s


Explanation:Momentumis calculatedbymultiplying massby
velocity,p=mv.Althoughthemeteoriteseemsintimidating, itis thecar thathas
thegreatestmomentum,at6,250 kg⋅m/s.


6. Sublimation is the change in matter from solid to gas or gas to solid without
passingthroughaliquid phase.Outsideof thelaboratory, whichsolid providesthebest
exampleofthis?
A. Iron
B. Silver
C. Saltcrystal
D. Dryice


Explanation: Dry ice is frozen carbon dioxide. As it breaks down, it transforms directly into
gaswithoutpassingthroughaliquidphase.Sublimationofmetalsispossible,butnot“outsideofthelabor
atory.”

Maak kennis met de verkoper

Seller avatar
De reputatie van een verkoper is gebaseerd op het aantal documenten dat iemand tegen betaling verkocht heeft en de beoordelingen die voor die items ontvangen zijn. Er zijn drie niveau’s te onderscheiden: brons, zilver en goud. Hoe beter de reputatie, hoe meer de kwaliteit van zijn of haar werk te vertrouwen is.
OliviaRN Chamberlain College Nursing
Bekijk profiel
Volgen Je moet ingelogd zijn om studenten of vakken te kunnen volgen
Verkocht
83
Lid sinds
5 jaar
Aantal volgers
62
Documenten
482
Laatst verkocht
6 dagen geleden
RNOlivia

2.9

21 beoordelingen

5
7
4
2
3
1
2
3
1
8

Recent door jou bekeken

Waarom studenten kiezen voor Stuvia

Gemaakt door medestudenten, geverifieerd door reviews

Kwaliteit die je kunt vertrouwen: geschreven door studenten die slaagden en beoordeeld door anderen die dit document gebruikten.

Niet tevreden? Kies een ander document

Geen zorgen! Je kunt voor hetzelfde geld direct een ander document kiezen dat beter past bij wat je zoekt.

Betaal zoals je wilt, start meteen met leren

Geen abonnement, geen verplichtingen. Betaal zoals je gewend bent via iDeal of creditcard en download je PDF-document meteen.

Student with book image

“Gekocht, gedownload en geslaagd. Zo makkelijk kan het dus zijn.”

Alisha Student

Veelgestelde vragen