100% tevredenheidsgarantie Direct beschikbaar na je betaling Lees online óf als PDF Geen vaste maandelijkse kosten 4,6 TrustPilot
logo-home
Tentamen (uitwerkingen)

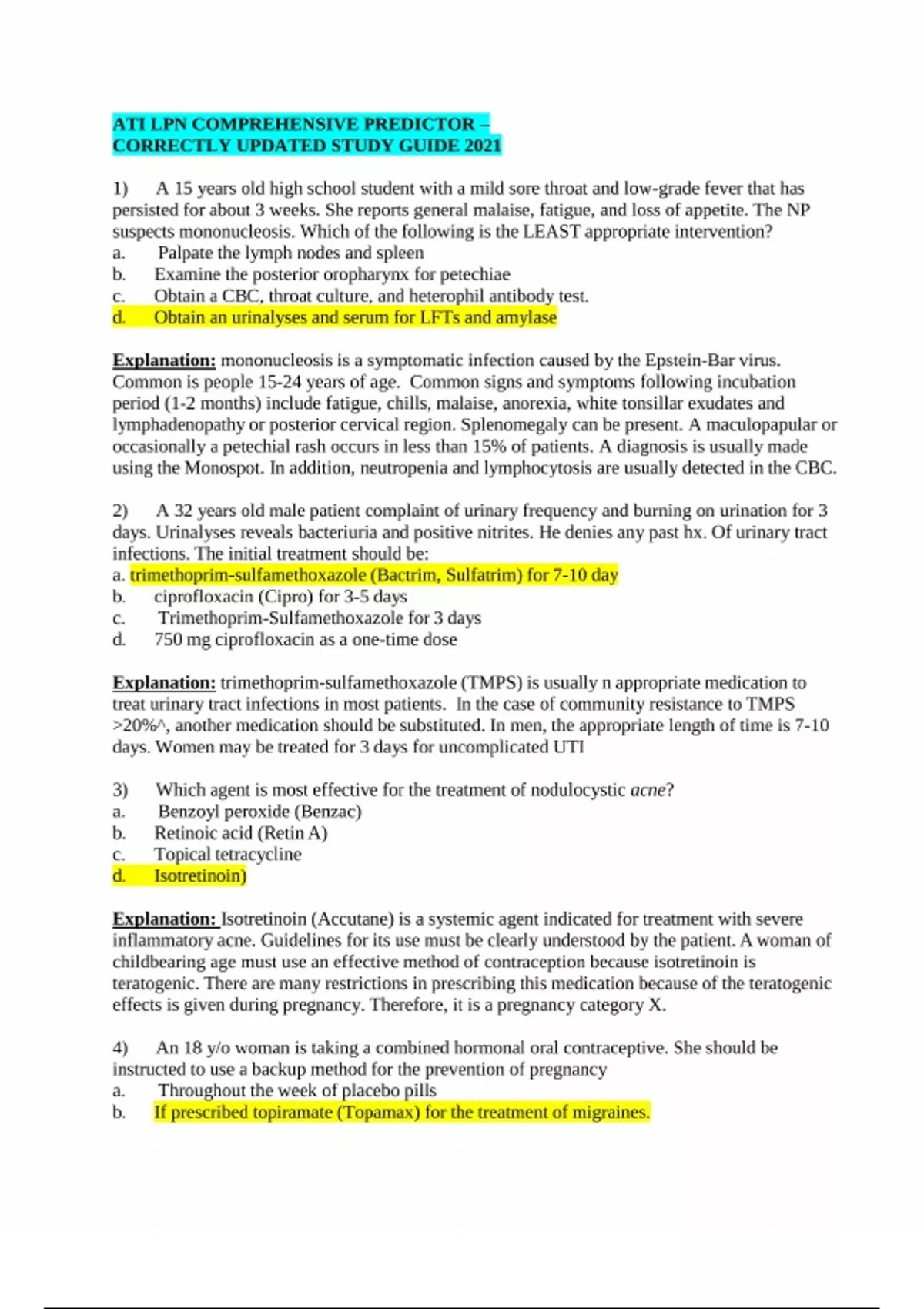
ATI LPN COMPREHENSIVE PREDICTOR CORRECTLY UPDATED STUDY GUIDE 2023

Beoordeling
-
Verkocht
-
Pagina's
81
Cijfer
A+
Geüpload op
16-06-2023
Geschreven in
2022/2023

ATI LPN COMPREHENSIVE PREDICTOR CORRECTLY UPDATED STUDY GUIDE 2023. Genuine and latest updated version for 2023/2024 exams

Instelling
ATI LPN COMPREHENSIVE PREDICTOR 2021
Vak
ATI LPN COMPREHENSIVE PREDICTOR 2021











Oeps! We kunnen je document nu niet laden. Probeer het nog eens of neem contact op met support.

Geschreven voor

Instelling
ATI LPN COMPREHENSIVE PREDICTOR 2021
Vak
ATI LPN COMPREHENSIVE PREDICTOR 2021

Documentinformatie

Geüpload op
16 juni 2023
Aantal pagina's
81
Geschreven in
2022/2023
Type
Tentamen (uitwerkingen)
Bevat
Vragen en antwoorden

Onderwerpen

  • ati lpn comprehensive
  • ati lpn compr

Maak kennis met de verkoper

Seller avatar
De reputatie van een verkoper is gebaseerd op het aantal documenten dat iemand tegen betaling verkocht heeft en de beoordelingen die voor die items ontvangen zijn. Er zijn drie niveau’s te onderscheiden: brons, zilver en goud. Hoe beter de reputatie, hoe meer de kwaliteit van zijn of haar werk te vertrouwen is.
studypartner1 Walden University
Bekijk profiel
Volgen Je moet ingelogd zijn om studenten of vakken te kunnen volgen
Verkocht
421
Lid sinds
2 jaar
Aantal volgers
211
Documenten
1990
Laatst verkocht
6 dagen geleden

4.2

61 beoordelingen

5
34
4
13
3
8
2
4
1
2

Populaire documenten

Recent door jou bekeken

Waarom studenten kiezen voor Stuvia

Gemaakt door medestudenten, geverifieerd door reviews

Kwaliteit die je kunt vertrouwen: geschreven door studenten die slaagden en beoordeeld door anderen die dit document gebruikten.

Niet tevreden? Kies een ander document

Geen zorgen! Je kunt voor hetzelfde geld direct een ander document kiezen dat beter past bij wat je zoekt.

Betaal zoals je wilt, start meteen met leren

Geen abonnement, geen verplichtingen. Betaal zoals je gewend bent via iDeal of creditcard en download je PDF-document meteen.

Student with book image

“Gekocht, gedownload en geslaagd. Zo makkelijk kan het dus zijn.”

Alisha Student

Veelgestelde vragen