100% satisfaction guarantee Immediately available after payment Both online and in PDF No strings attached 4.2 TrustPilot
logo-home
Interview

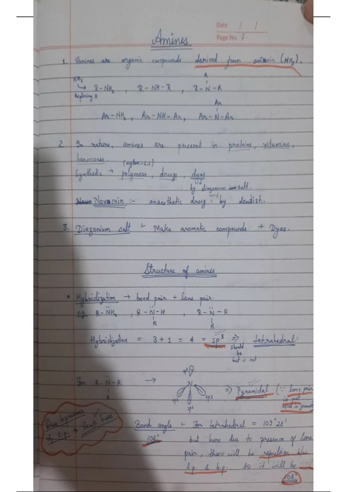
Best handwritten notes from PHYSICS WALLAH COACHING INSTITUTION of CHEMISTRY on Amines

Rating
-
Sold
-
Pages
19
Uploaded on
13-06-2023
Written in
2022/2023

Hey! These are very good handwritten notes of CBSE class 12 chemistry on amines of PHYSICS WALLAH coaching institution. It was due to these notes that I scored 95 in chemistry 2022-23 in CBSE . Hope they help you too.

Institution
Module










Whoops! We can’t load your doc right now. Try again or contact support.

Written for

Institution
Secondary school
Module
School year
1

Document information

Uploaded on
June 13, 2023
Number of pages
19
Written in
2022/2023
Type
Interview
Company
Unknown
Person
Unknown

Subjects

$2.99
Get access to the full document:

100% satisfaction guarantee
Immediately available after payment
Both online and in PDF
No strings attached

Get to know the seller
Seller avatar
yashasvim20

Get to know the seller

Seller avatar
yashasvim20
Follow You need to be logged in order to follow users or courses
Sold
0
Member since
2 year
Number of followers
0
Documents
4
Last sold
-

0.0

0 reviews

5
0
4
0
3
0
2
0
1
0

Recently viewed by you

Why students choose Stuvia

Created by fellow students, verified by reviews

Quality you can trust: written by students who passed their exams and reviewed by others who've used these revision notes.

Didn't get what you expected? Choose another document

No problem! You can straightaway pick a different document that better suits what you're after.

Pay as you like, start learning straight away

No subscription, no commitments. Pay the way you're used to via credit card and download your PDF document instantly.

Student with book image

“Bought, downloaded, and smashed it. It really can be that simple.”

Alisha Student

Frequently asked questions