100% satisfaction guarantee Immediately available after payment Both online and in PDF No strings attached 4.6 TrustPilot
logo-home
Class notes

Integration by Substitution Notes for Calculus 1 (TAMU MATH151)

Rating
-
Sold
-
Pages
2
Uploaded on
09-06-2023
Written in
2021/2022

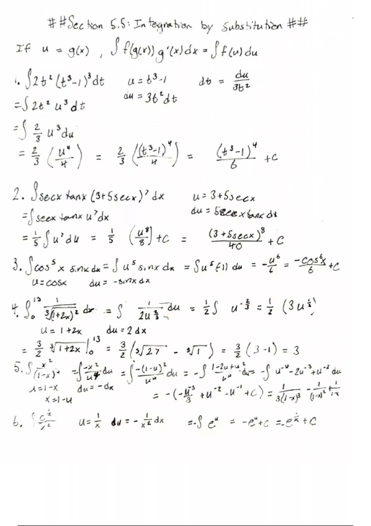
Notes taken on the topic of integration by substitution as taught by Amy Austin in MATH 151 at TAMU. These notes provide numerous examples and work for integration problems using the method of substitution to solve them.









Whoops! We can’t load your doc right now. Try again or contact support.

Document information

Uploaded on
June 9, 2023
Number of pages
2
Written in
2021/2022
Type
Class notes
Professor(s)
Amy austin
Contains
Integration by substition
$8.49
Get access to the full document:

100% satisfaction guarantee
Immediately available after payment
Both online and in PDF
No strings attached

Get to know the seller
Seller avatar
danselle

Get to know the seller

Seller avatar
danselle Texas A&M University
View profile
Follow You need to be logged in order to follow users or courses
Sold
-
Member since
2 year
Number of followers
0
Documents
35
Last sold
-

0.0

0 reviews

5
0
4
0
3
0
2
0
1
0

Trending documents

Why students choose Stuvia

Created by fellow students, verified by reviews

Quality you can trust: written by students who passed their tests and reviewed by others who've used these notes.

Didn't get what you expected? Choose another document

No worries! You can instantly pick a different document that better fits what you're looking for.

Pay as you like, start learning right away

No subscription, no commitments. Pay the way you're used to via credit card and download your PDF document instantly.

Student with book image

“Bought, downloaded, and aced it. It really can be that simple.”

Alisha Student

Frequently asked questions