100% satisfaction guarantee Immediately available after payment Both online and in PDF No strings attached 4.6 TrustPilot
logo-home
Exam (elaborations)

Testbank Complete Probability and Statistics for Engineering and the Sciences 9th edition by Jay L. Devore-- updated version 2026 A+

Rating
-
Sold
-
Pages
250
Grade
A+
Uploaded on
16-02-2026
Written in
2025/2026

Testbank Complete Probability and Statistics for Engineering and the Sciences 9th edition by Jay L. Devore-- updated version 2026 A+Testbank Complete Probability and Statistics for Engineering and the Sciences 9th edition by Jay L. Devore-- updated version 2026 A+Testbank Complete Probability and Statistics for Engineering and the Sciences 9th edition by Jay L. Devore-- updated version 2026 A+Testbank Complete Probability and Statistics for Engineering and the Sciences 9th edition by Jay L. Devore-- updated version 2026 A+Testbank Complete Probability and Statistics for Engineering and the Sciences 9th edition by Jay L. Devore-- updated version 2026 A+Testbank Complete Probability and Statistics for Engineering and the Sciences 9th edition by Jay L. Devore-- updated version 2026 A+

Show more Read less
Institution
Probability And Statistics
Course
Probability and Statistics

Content preview

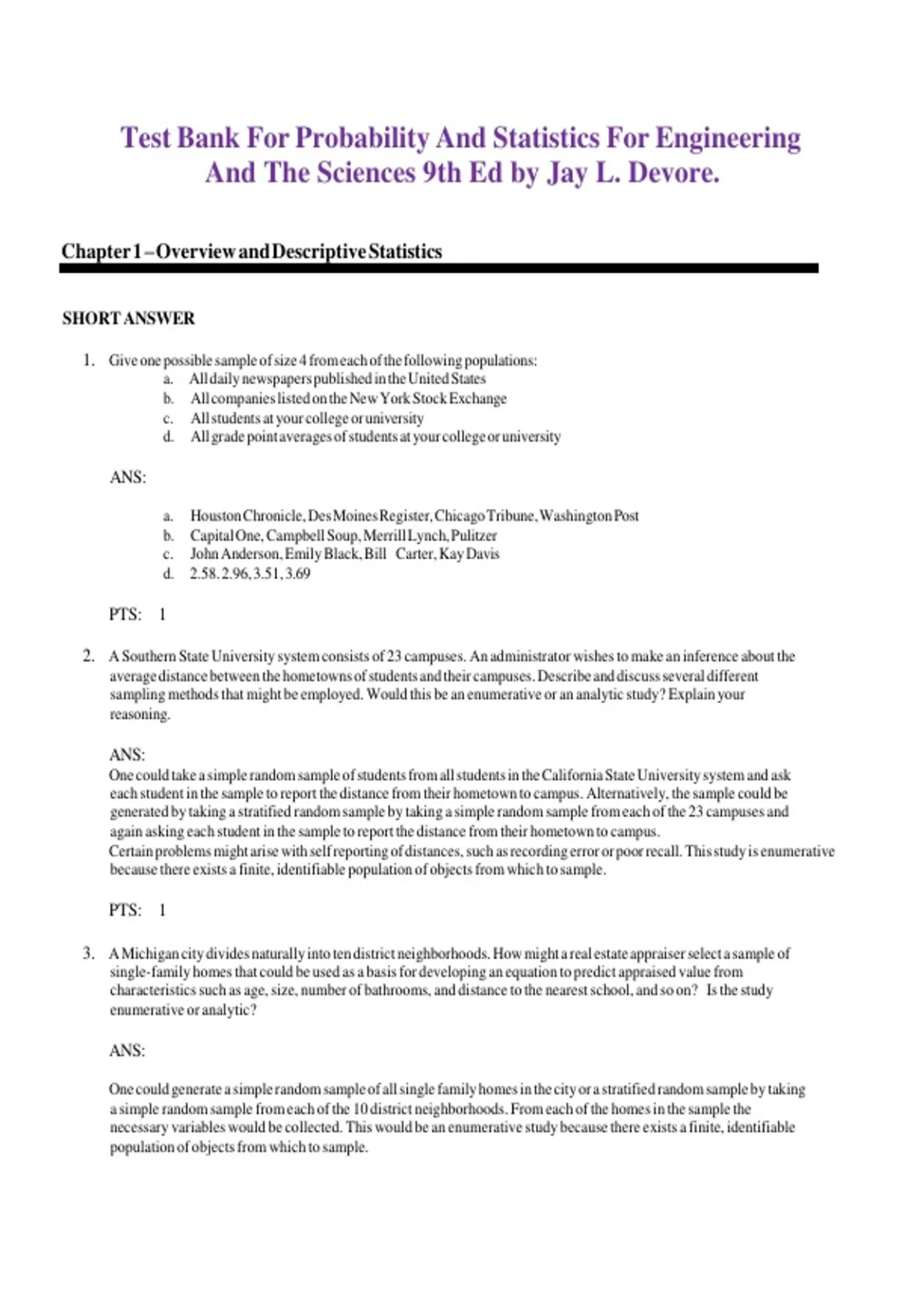
Test Bank For Probability And Statistics For Engineering
And The Sciences 9th Ed by Jay L. Devore.

Chapter 1 – Overview and Descriptive Statistics
t t t t t t




SHORT ANSWER t




1. Give one possible sample of size 4 from each of the following populations:
t t t t t t t t t t t t


a. All daily newspapers published in the United States t t t t t t t


b. All companies listed on the New York Stock Exchange t t t t t t t t


c. All students at your college or university t t t t t t


d. All grade point averages of students at your college or university
t t t t t t t t t t




ANS:

a. Houston Chronicle, Des Moines Register, Chicago Tribune, Washington Post t t t t t t t t


b. Capital One, Campbell Soup, Merrill Lynch, Pulitzer t t t t t t


c. John Anderson, Emily Black, Bill Carter, Kay Davis
t t t t t t t


d. 2.58. 2.96, 3.51, 3.69 t t t




PTS: 1 t t




2. A Southern State University system consists of 23 campuses. An administrator wishes to make an inference about the
t t t t t t t t t t t t t t t t t


average distance between the hometowns of students and their campuses. Describe and discuss several different
t t t t t t t t t t t t t t t


sampling methods that might be employed. Would this be an enumerative or an analytic study? Explain your
t t t t t t t t t t t t t t t t t


reasoning.
t




ANS:
One could take a simple random sample of students from all students in the California State University system and ask
t t t t t t t t t t t t t t t t t t t


each student in the sample to report the distance from their hometown to campus. Alternatively, the sample could be
t t t t t t t t t t t t t t t t t t t


generated by taking a stratified random sample by taking a simple random sample from each of the 23 campuses and
t t t t t t t t t t t t t t t t t t t t


again asking each student in the sample to report the distance from their hometown to campus.
t t t t t t t t t t t t t t t t


Certain problems might arise with self reporting of distances, such as recording error or poor recall. This study is enumerative
t t t t t t t t t t t t t t t t t t t


because there exists a finite, identifiable population of objects from which to sample.
t t t t t t t t t t t t t




PTS: 1 t t




3. A Michigan city divides naturally into ten district neighborhoods. How might a real estate appraiser select a sample of
t t t t t t t t t t t t t t t t t t


t single-family homes that could be used as a basis for developing an equation to predict appraised value from
t t t t t t t t t t t t t t t t t


t characteristics such as age, size, number of bathrooms, and distance to the nearest school, and so on? Is the study
t t t t t t t t t t t t t t t t t t t


t enumerative or analytic? t t




ANS:

One could generate a simple random sample of all single family homes in the city or a stratified random sample by taking
t t t t t t t t t t t t t t t t t t t t t


a simple random sample from each of the 10 district neighborhoods. From each of the homes in the sample the
t t t t t t t t t t t t t t t t t t t t


necessary variables would be collected. This would be an enumerative study because there exists a finite, identifiable
t t t t t t t t t t t t t t t t t


population of objects from which to sample.
t t t t t t t

, PTS: 1 t t




4. An experiment was carried out to study how flow rate through a solenoid valve in an automobile’s pollution-control
t t t t t t t t t t t t t t t t t


t system depended on three factors: armature lengths, spring load, and bobbin depth. Two different levels (low and
t t t t t t t t t t t t t t t t


t high) of each factor were chosen, and a single observation on flow was made for each combination of levels.
t t t t t t t t t t t t t t t t t t




a. The resulting data set consisted of how many observations?
t t t t t t t t


b. Is this an enumerative or analytic study? Explain your reasoning.
t t t t t t t t t




ANS:
a. Number observations equal 2 2 2=8 t t t t t t t


b. This could be called an analytic study because the data would be collected on an existing process.
t t t t t t t t t t t t t t t t


There is no sampling frame.
t t t t t




PTS: 1 t t




5. The accompanying data specific gravity values for various wood types used in construction .
t t t t t t t t t t t t t




.41 .41 .42 .42. .42 .42 .42 .43 .44
.54 .55 .58 .62 .66 .66 .67 .68 .75
.31 .35 .36 .36 .37 .38 .40 .40 .40
.45 .46 .46 .47 .48 .48 .48 .51 .54

Construct a stem-and-leaf display using repeated stems and comment on any interesting features of the display.
t t t t t t t t t t t t t t t




ANS:
One method of denoting the pairs of stems having equal values is to denote the stem by L, for ‘low’ and the second stem
t t t t t t t t t t t t t t t t t t t t t t t


by H, for ‘high’. Using this notation, the stem-and-leaf display would appear as follows:
t t t t t t t t t t t t t t




3L 1 stem: tenths t


3H 56678 leaf: hundredths t


4L 000112222234
5L 144
5H 58
6L 2
6H 6678
7L
7H 5

The stem-and-leaf display on the previous page shows that .45 is a good representative value for the data. In addition,
t t t t t t t t t t t t t t t t t t t


the display is not symmetric and appears to be positively skewed. The spread of the data is .75 - .31 = .44, which is
t t t t t t t t t t t t t t t t t t t t t t t t


.44/.45 = .978 or about 98% of the typical value of .45. This constitutes a reasonably large amount of variation in the
t t t t t t t t t t t t t t t t t t t t t t


data. The data value .75 is a possible outlier.
t t t t t t t t t




PTS: 1 t t




6. Temperature transducers of a certain type are shipped in batches of 50. A sample of 60 batches was selected, and the
t t t t t t t t t t t t t t t t t t t t


t number of transducers in each batch not conforming to design specifications was determined, resulting in the
t t t t t t t t t t t t t t t


t following data: t




0 4 t t 2 t t 1 t 1 1 3 4 1 2 3 2 2 8 4 5 1 3 1
t3
2 1 t t 2 t t 4 t 1 3 2 0 5 3 3 1 3 2 4 7 0 2 3
t0
5 0 t t 2 t t 3 t 1 0 6 4 2 1 6 0 3 3 3 6 1 2 3
t2

, a. Determine frequencies and relative frequencies for the observed values of x = number of
t nonconforming t t t t t t t t t t t t


transducers in a batch.
t t t t


b. What proportion of batches in the sample has at most four nonconforming transducers? What proportion has
t t t t t t t t t t t t t t t


fewer than four? What proportion has at least four nonconforming units?
t t t t t t t t t t t




ANS:

a.
Number Nonconforming Relative Frequency t Frequency t



0 0.117 7
1 0.200 12
2 0.217 13
3 0.233 14
4 0.100 6
5 0.050 3
6 0.050 3
7 0.017 1
8 0.017 1
1.001
The relative frequencies don’t add up exactly to 1because they have been rounded
t t t t t t t t t t t t




b. The number of batches with at most 4 nonconforming items is 7+12+13+14+6=52, which is a proportion of
t t t t t t t t t t t t t t t t t


52/60=.867. The proportion of batches with (strictly) fewer than 4 nonconforming items is 46/60=.767.
t t t t t t t t t t t t t t




PTS: 1 t t




7. The number of contaminating particles on a silicon wafer prior to a certain rinsing process was determined for each
t t t t t t t t t t t t t t t t t t


t wafer in a sample size 100, resulting in the following frequencies:
t t t t t t t t t t




Number of particles t t Frequency Number of particles t t Frequency
0 1 8 12
1 2 9 4
2 3 10 5
3 12 11 3
4 11 12 1
5 15 13 2
6 18 14 1
7 10


a. What proportion of the sampled wafers had at least two particles? At least six particles?
t t t t t t t t t t t t t t


b. What proportion of the sampled wafers had between four and nine particles, inclusive? Strictly between four and
t t t t t t t t t t t t t t t t


nine particles?
t t




ANS:
a. From this frequency distribution, the proportion of wafers that contained at least two particles is (100-1-2)/100 =
t t t t t t t t t t t t t t t t


.97, or 97%. In a similar fashion, the proportion containing at least 6 particles is (100 – 1-2-3-12-11-15)/100 =
t t t t t t t t t t t t t t t t t t


56/100 = .56, or 56%.
t t t t t


b. The proportion containing between 4 and 9 particles inclusive is (11+15+18+10+12+4)/100 = 70/100 = .70, or
t t t t t t t t t t t t t t t


70%. The proportion that contain strictly between 4 and 9 (meaning strictly more than 4 and strictly less than 9) is
t t t t t t t t t t t t t t t t t t t t t


(15+ 18+10+12)/100= 55/100 = .55, or 55%.
t t t t t t t

, PTS: 1 t t




8. The cumulative frequency and cumulative relative frequency for a particular class interval are the sum of
t t t t t t t t t t t t t t t


t frequencies and relative frequencies, respectively, for that interval and all intervals lying below it. Compute the
t t t t t t t t t t t t t t t


t cumulative frequencies and cumulative relative frequencies for the following data:
t t t t t t t t t




75 89 80 93 64 67 72 70 66 85
89 81 81 71 74 82 85 63 72 81
81 95 84 81 80 70 69 66 60 83
85 98 84 68 90 82 69 72 87 88

ANS:

Class Frequency Relative Cumulative Cumulative
t Frequency Frequency
t Relative Frequency
t t


60 – under 65 t t t 3 .075 3 .075
65 – under 70 t t t 6 .15 9 .225
70 – under 75 t t t 7 .175 16 .40
75 – under 80 t t t 1 .025 17 .425
80 – under 85 t t t 12 .30 29 .725
85 – under 90 t t t 7 .175 36 .90
90 – under 95 t t t 2 .05 38 .95
95 – under 100 t t t 2 .05 40 1.0

PTS: 1 t t




9. Consider the following observations on shear strength of a joint bonded in a particular manner:
t t t t t t t t t t t t t t




30.0 4.4 33.1 66.7 81.5 22.2 40.4 16.4 73.7 36.6 109.9

a. Determine the value of the sample mean. t t t t t t


b. Determine the value of the sample median. Why is it so different from the mean?
t t t t t t t t t t t t t t


c. Calculate a trimmed mean by deleting the smallest and largest observations. What is the corresponding
t t t t t t t t t t t t t t




t trimming percentage? How does the value of this t t t t t t t t t compare to the mean and median? t t t t t




ANS:
a. The sum of the n = 11 data points is 514.90, so
t t = 514.90/11 = 46.81.
t t t t t t t t t t t t t t


b. The sample size (n = 11) is odd, so there will be a middle value. Sorting from smallest to largest: 4.4 16.4 22.2
t t t t t t t t t t t t t t t t t t t t t t


30.0 33.1 36.6 40.4 66.7 73.7 81.5 109.9. The sixth value, 36.6 is the middle, or median, value. The mean
t t t t t t t t t t t t t t t t t t t


differs from the median because the largest sample observations are much further from the median than are the
t t t t t t t t t t t t t t t t t t


smallest values.
t t


c. Deleting the smallest (x = 4.4) and largest (x = 109.9) values, the sum of the remaining 9 observations is 400.6. The
t t t t t t t t t t t t t t t t t t t t t



trimmed mean
t is 400.6/9 = 44.51. The trimming percentage is 100(1/11) = 9.1%.
t lies between the mean
t t t t t t t t t t t t t t t t t



and median.
t t




PTS: 1 t t




10. A sample of 26 offshore oil workers took part in a simulated escape exercise, resulting in the accompanying data on time
t t t t t t t t t t t t t t t t t t t t


t (sec) to complete the escape:
t t t t




373 370 364 366 364 325 339 393
356 359 363 375 424 325 394 402

Written for

Institution
Probability and Statistics
Course
Probability and Statistics

Document information

Uploaded on
February 16, 2026
Number of pages
250
Written in
2025/2026
Type
Exam (elaborations)
Contains
Questions & answers

Subjects

Get to know the seller

Seller avatar
Reputation scores are based on the amount of documents a seller has sold for a fee and the reviews they have received for those documents. There are three levels: Bronze, Silver and Gold. The better the reputation, the more your can rely on the quality of the sellers work.
Czar Phoenix University
View profile
Follow You need to be logged in order to follow users or courses
Sold
54
Member since
1 year
Number of followers
2
Documents
370
Last sold
1 month ago
TESTBANKS & SOLUTION MANUALS

if in any need of a Test bank and Solution Manual, fell free to Message me or Email {} All the best in your Studies

2.9

10 reviews

5
3
4
1
3
1
2
2
1
3

Trending documents

Recently viewed by you

Why students choose Stuvia

Created by fellow students, verified by reviews

Quality you can trust: written by students who passed their tests and reviewed by others who've used these notes.

Didn't get what you expected? Choose another document

No worries! You can instantly pick a different document that better fits what you're looking for.

Pay as you like, start learning right away

No subscription, no commitments. Pay the way you're used to via credit card and download your PDF document instantly.

Student with book image

“Bought, downloaded, and aced it. It really can be that simple.”

Alisha Student

Frequently asked questions