100% satisfaction guarantee Immediately available after payment Both online and in PDF No strings attached 4.6 TrustPilot
logo-home
Summary

(GOAT) SAMENVATTING - alle leerstof theorie examen Geavanceerde Machine Elementen

Rating
-
Sold
-
Pages
23
Uploaded on
29-12-2025
Written in
2024/2025

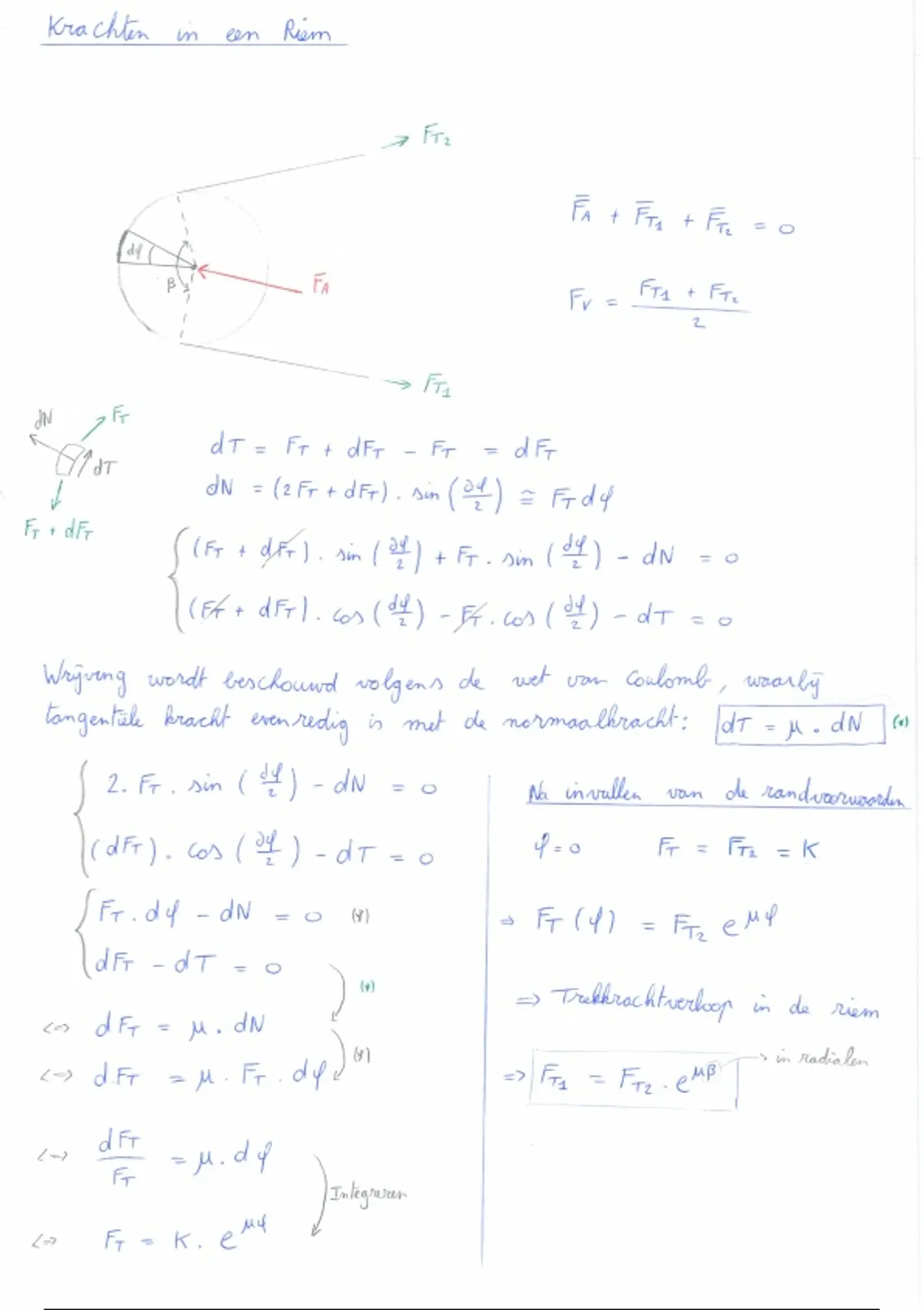
Dit is DE samenvatting voor het studeren voor het vak Geavanceerde machine elementen. Deze samenvatting is gemaakt adhv lesnotities en de slides. Indien je deze samenvatting kent, slaag je gegarandeerd.

Institution
Course










Whoops! We can’t load your doc right now. Try again or contact support.

Written for

Institution
Study
Course

Document information

Uploaded on
December 29, 2025
Number of pages
23
Written in
2024/2025
Type
Summary

Subjects

$19.10
Get access to the full document:

100% satisfaction guarantee
Immediately available after payment
Both online and in PDF
No strings attached

Get to know the seller
Seller avatar
IndustrieelEM

Get to know the seller

Seller avatar
IndustrieelEM Universiteit Gent
Follow You need to be logged in order to follow users or courses
Sold
New on Stuvia
Member since
1 month
Number of followers
0
Documents
8
Last sold
-

0.0

0 reviews

5
0
4
0
3
0
2
0
1
0

Recently viewed by you

Why students choose Stuvia

Created by fellow students, verified by reviews

Quality you can trust: written by students who passed their tests and reviewed by others who've used these notes.

Didn't get what you expected? Choose another document

No worries! You can instantly pick a different document that better fits what you're looking for.

Pay as you like, start learning right away

No subscription, no commitments. Pay the way you're used to via credit card and download your PDF document instantly.

Student with book image

“Bought, downloaded, and aced it. It really can be that simple.”

Alisha Student

Frequently asked questions