100% satisfaction guarantee Immediately available after payment Both online and in PDF No strings attached 4.6 TrustPilot
logo-home
Summary

medicatie, wonverband en hechting samenvatting mondzorg bij bijzondere doelgroep

Rating
-
Sold
-
Pages
4
Uploaded on
27-12-2025
Written in
2025/2026

Bevat de 3 delen: medicatie, wondverband en hechting. Hoort bij vak mondzorg bij bijzondere doelgroep.

Institution
Course








Whoops! We can’t load your doc right now. Try again or contact support.

Written for

Institution
Study
Course

Document information

Uploaded on
December 27, 2025
Number of pages
4
Written in
2025/2026
Type
Summary

Subjects

Content preview

1


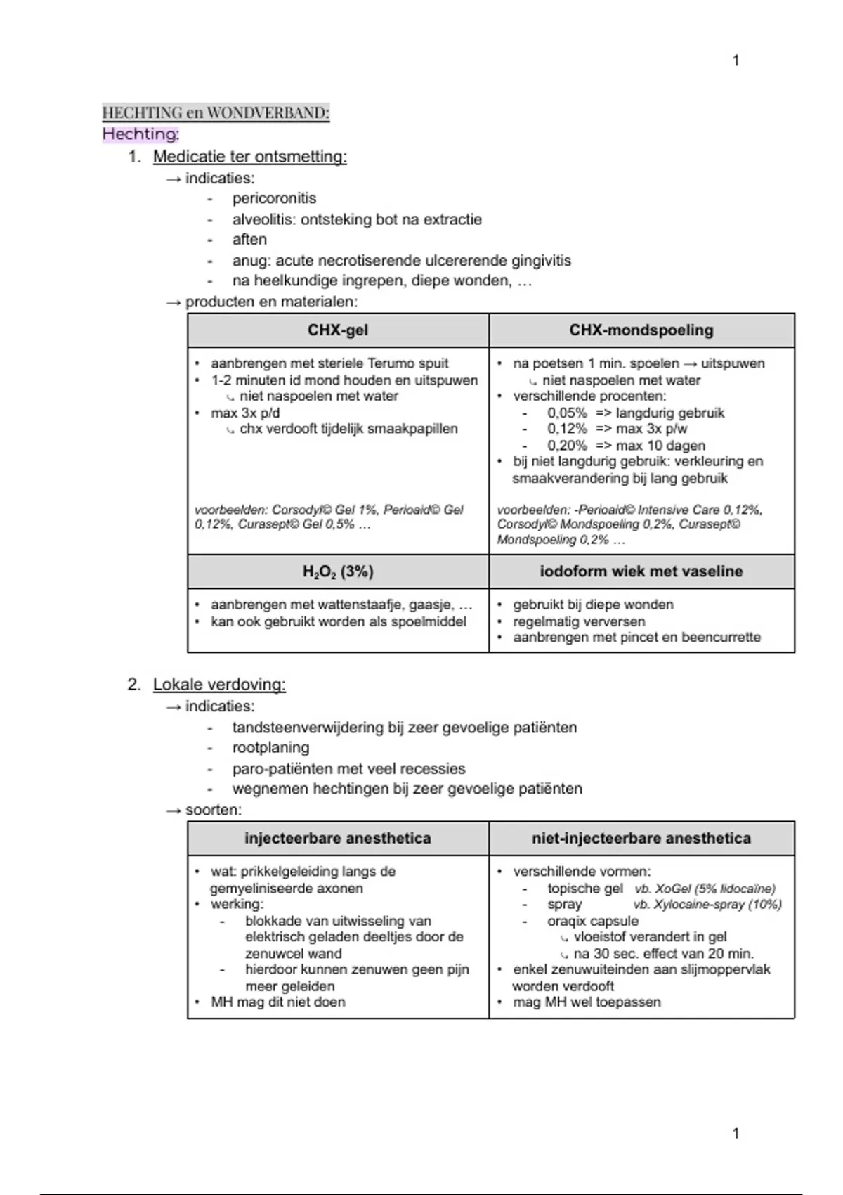
HECHTING en WONDVERBAND:
Hechting:
1.​ Medicatie ter ontsmetting:
​ → indicaties:
-​ pericoronitis
-​ alveolitis: ontsteking bot na extractie
-​ aften
-​ anug: acute necrotiserende ulcererende gingivitis
-​ na heelkundige ingrepen, diepe wonden, …
​ → producten en materialen:
CHX-gel CHX-mondspoeling

• aanbrengen met steriele Terumo spuit • na poetsen 1 min. spoelen → uitspuwen
• 1-2 minuten id mond houden en uitspuwen ⤷ niet naspoelen met water
⤷ niet naspoelen met water • verschillende procenten:
• max 3x p/d -​ 0,05% => langdurig gebruik
⤷ chx verdooft tijdelijk smaakpapillen -​ 0,12% => max 3x p/w
-​ 0,20% => max 10 dagen
• bij niet langdurig gebruik: verkleuring en
smaakverandering bij lang gebruik

voorbeelden: Corsodyl© Gel 1%, Perioaid© Gel voorbeelden: -Perioaid© Intensive Care 0,12%,
0,12%, Curasept© Gel 0,5% … Corsodyl© Mondspoeling 0,2%, Curasept©
Mondspoeling 0,2% …

H2O2 (3%) iodoform wiek met vaseline

• aanbrengen met wattenstaafje, gaasje, … • gebruikt bij diepe wonden
• kan ook gebruikt worden als spoelmiddel • regelmatig verversen
• aanbrengen met pincet en beencurrette


2.​ Lokale verdoving:
​ → indicaties:
-​ tandsteenverwijdering bij zeer gevoelige patiënten
-​ rootplaning
-​ paro-patiënten met veel recessies
-​ wegnemen hechtingen bij zeer gevoelige patiënten
​ → soorten:
injecteerbare anesthetica niet-injecteerbare anesthetica

• wat: prikkelgeleiding langs de • verschillende vormen:
gemyeliniseerde axonen -​ topische gel vb. XoGel (5% lidocaïne)
• werking: -​ spray vb. Xylocaine-spray (10%)
-​ blokkade van uitwisseling van -​ oraqix capsule
elektrisch geladen deeltjes door de ⤷ vloeistof verandert in gel
zenuwcel wand ⤷ na 30 sec. effect van 20 min.
-​ hierdoor kunnen zenuwen geen pijn • enkel zenuwuiteinden aan slijmoppervlak
meer geleiden worden verdooft
• MH mag dit niet doen • mag MH wel toepassen




1
$6.40
Get access to the full document:

100% satisfaction guarantee
Immediately available after payment
Both online and in PDF
No strings attached


Also available in package deal

Get to know the seller

Seller avatar
Reputation scores are based on the amount of documents a seller has sold for a fee and the reviews they have received for those documents. There are three levels: Bronze, Silver and Gold. The better the reputation, the more your can rely on the quality of the sellers work.
Mondzorgopartevelde Arteveldehogeschool
Follow You need to be logged in order to follow users or courses
Sold
49
Member since
2 year
Number of followers
3
Documents
33
Last sold
2 days ago

3.5

12 reviews

5
4
4
2
3
4
2
0
1
2

Recently viewed by you

Why students choose Stuvia

Created by fellow students, verified by reviews

Quality you can trust: written by students who passed their tests and reviewed by others who've used these notes.

Didn't get what you expected? Choose another document

No worries! You can instantly pick a different document that better fits what you're looking for.

Pay as you like, start learning right away

No subscription, no commitments. Pay the way you're used to via credit card and download your PDF document instantly.

Student with book image

“Bought, downloaded, and aced it. It really can be that simple.”

Alisha Student

Frequently asked questions