100% tevredenheidsgarantie Direct beschikbaar na je betaling Lees online óf als PDF Geen vaste maandelijkse kosten 4.2 TrustPilot
logo-home
College aantekeningen

Consumer Marketing Research (BM02MM) - Class Notes 22/23

Beoordeling
-
Verkocht
-
Pagina's
45
Geüpload op
09-09-2023
Geschreven in
2022/2023

For practical courses like this one, it's essential to have good notes that guide you through each process. The document contains notes from all CMR's classes, including detailed screenshot explanations of each statistical test. It also contains further explanations not on lecture slides, making the material easier to understand.

Meer zien Lees minder











Oeps! We kunnen je document nu niet laden. Probeer het nog eens of neem contact op met support.

Documentinformatie

Geüpload op
9 september 2023
Aantal pagina's
45
Geschreven in
2022/2023
Type
College aantekeningen
Docent(en)
Romain cadario
Bevat
Alle colleges

Onderwerpen

Voorbeeld van de inhoud

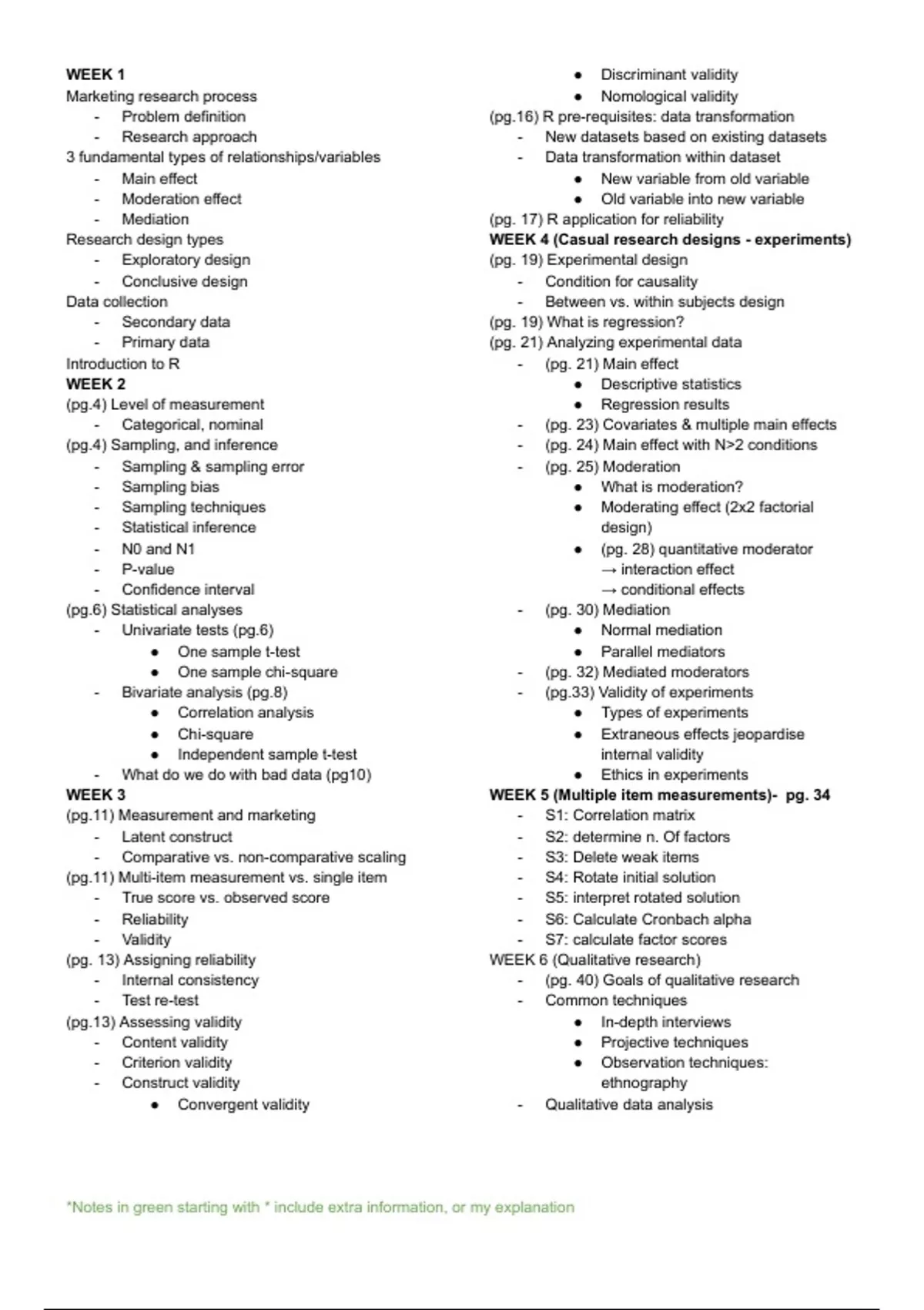
WEEK 1 ● Discriminant validity
Marketing research process ● Nomological validity
- Problem definition (pg.16) R pre-requisites: data transformation
- Research approach - New datasets based on existing datasets
3 fundamental types of relationships/variables - Data transformation within dataset
- Main effect ● New variable from old variable
- Moderation effect ● Old variable into new variable
- Mediation (pg. 17) R application for reliability
Research design types WEEK 4 (Casual research designs - experiments)
- Exploratory design (pg. 19) Experimental design
- Conclusive design - Condition for causality
Data collection - Between vs. within subjects design
- Secondary data (pg. 19) What is regression?
- Primary data (pg. 21) Analyzing experimental data
Introduction to R - (pg. 21) Main effect
WEEK 2 ● Descriptive statistics
(pg.4) Level of measurement ● Regression results
- Categorical, nominal - (pg. 23) Covariates & multiple main effects
(pg.4) Sampling, and inference - (pg. 24) Main effect with N>2 conditions
- Sampling & sampling error - (pg. 25) Moderation
- Sampling bias ● What is moderation?
- Sampling techniques ● Moderating effect (2x2 factorial
- Statistical inference design)
- N0 and N1 ● (pg. 28) quantitative moderator
- P-value → interaction effect
- Confidence interval → conditional effects
(pg.6) Statistical analyses - (pg. 30) Mediation
- Univariate tests (pg.6) ● Normal mediation
● One sample t-test ● Parallel mediators
● One sample chi-square - (pg. 32) Mediated moderators
- Bivariate analysis (pg.8) - (pg.33) Validity of experiments
● Correlation analysis ● Types of experiments
● Chi-square ● Extraneous effects jeopardise
● Independent sample t-test internal validity
- What do we do with bad data (pg10) ● Ethics in experiments
WEEK 3 WEEK 5 (Multiple item measurements)- pg. 34
(pg.11) Measurement and marketing - S1: Correlation matrix
- Latent construct - S2: determine n. Of factors
- Comparative vs. non-comparative scaling - S3: Delete weak items
(pg.11) Multi-item measurement vs. single item - S4: Rotate initial solution
- True score vs. observed score - S5: interpret rotated solution
- Reliability - S6: Calculate Cronbach alpha
- Validity - S7: calculate factor scores
(pg. 13) Assigning reliability WEEK 6 (Qualitative research)
- Internal consistency - (pg. 40) Goals of qualitative research
- Test re-test - Common techniques
(pg.13) Assessing validity ● In-depth interviews
- Content validity ● Projective techniques
- Criterion validity ● Observation techniques:
- Construct validity ethnography
● Convergent validity - Qualitative data analysis




*Notes in green starting with * include extra information, or my explanation

, Consumer marketing research
WEEK 1
Marketing research → systematic and objective identification, collection, analysis and dissemination of information
for improving decision-making related to the identification and solution of problems and opportunities in marketing.

Collect & organize data → analyze it → evaluate & distribute it accurately and on time → to marketing decision
makers




Marketing research Process:




Problem definition:
- Decision problem (focus on action): how should we position our product on supermarket shelves to attract
marketing consumer attention
- Research problem (focus on understanding): how does shelf positioning affect consumer attention?

Research approach:
1. An exploratory research goal may be rule-based or data-drive
2. With an exploratory research goal, a conceptual model should be guided by theory. → A research model
determined the relationships between different variables

3 fundamental types of relationships/variables
1. Main effect
2. Moderation
3. Mediation

1- MAIN EFFECT: does the IV influence the DV?




Hypothesis must clearly include (a) all variables and (b) direction of the relationship
e.g.
(-) portion size influences consumption amount (no direction = no testable is it positive or is it a negative
impact?
(+) portion size POSITIVELY influences consumption amount
(+) consumption amount will be greater with a large portion compared to a small portion

2- MODERATION EFFECT
The direction or strength of the effect of IV on DV is affected by a moderating variable?

1

, (-) food healthiness moderates the influence of portion size on consumption amount (no direction = not
testable)
(+) the positive effect of portion size on consumption amount is greater for unhealthy foods than for healthy
foods




3- MEDIATION EFFECT
Moderations specify WHEN certain effects will hold, mediators speak to HOW or WHY such effect occur.
(-) value for money mediates the effect of portion size on consumption amount
(+) value for money mediates the positive effect of portion size on consumption amount: (vs. smaller)
portion provides higher value for money, which will in turn increase consumption amount




Research design: determines the information that’s needed to answer a specific RQ, or to test the developed
conceptual model and hypothesis.

It takes into account:
- Nature of the issue: common behavior (spontaneous response), personal or sensitive issue, repressed
tendency
- Nature of respondents: age, background, previous participation
- Context: cultural norms, ease of data collection




- Exploratory design (getting insights)
qualitative research
quantitative research (e.g. getting data from Airbnb and exploring what it has to say)
- Conclusive design (testing hypothesis)
descriptive research (surveys)
casual research (experiment)

Data collection:
1. Secondary data – collection for some other purpose than problem at hand:
- External: governmental, non-governmental data
- Internal: customer data
Web scraping: systematically collecting data by either building code on python or use apps
2. Primary data - collected primarily for the purposes of the problem at hand):
- Quantitative methods: surveys, panels, descriptive data
2

, - Qualitative methods: in-depth interviews, focus groups, ethnography, observation
- Casual research methods (lab and field experiments)

Examples of quantitative methods:
- Basic analysis, analysis of variance and covariance, survey techniques, item analysis, factor analysis,
regression, cluster analysis, multidimensional scaling, conjoint analysis
Examples of qualitative methods:
- Content analysis, semiotics

INTRODUCTION TO R
Terms to know:
Running code
Assigning (=saving)
Objects:
- Values
- Vectors (= several values or one row/column)
function: c()
- Dataframe (=several vectors or rows/columns)
Functions
Inputs
Outputs

R is case sensitive: it will give errors if:
- Capital letters
- Spaces were not needed

To find out what is your value (e.g. character, numeric…): class()

To create a data frame: df <- data.frame()

Once you create a data frame, you will not see it until you open it → to open it: double-click on df

Get frequencies:




3
€12,99
Krijg toegang tot het volledige document:

100% tevredenheidsgarantie
Direct beschikbaar na je betaling
Lees online óf als PDF
Geen vaste maandelijkse kosten

Maak kennis met de verkoper

Seller avatar
De reputatie van een verkoper is gebaseerd op het aantal documenten dat iemand tegen betaling verkocht heeft en de beoordelingen die voor die items ontvangen zijn. Er zijn drie niveau’s te onderscheiden: brons, zilver en goud. Hoe beter de reputatie, hoe meer de kwaliteit van zijn of haar werk te vertrouwen is.
Svi Erasmus Universiteit Rotterdam
Bekijk profiel
Volgen Je moet ingelogd zijn om studenten of vakken te kunnen volgen
Verkocht
95
Lid sinds
6 jaar
Aantal volgers
65
Documenten
21
Laatst verkocht
1 maand geleden

5,0

5 beoordelingen

5
5
4
0
3
0
2
0
1
0

Recent door jou bekeken

Waarom studenten kiezen voor Stuvia

Gemaakt door medestudenten, geverifieerd door reviews

Kwaliteit die je kunt vertrouwen: geschreven door studenten die slaagden en beoordeeld door anderen die dit document gebruikten.

Niet tevreden? Kies een ander document

Geen zorgen! Je kunt voor hetzelfde geld direct een ander document kiezen dat beter past bij wat je zoekt.

Betaal zoals je wilt, start meteen met leren

Geen abonnement, geen verplichtingen. Betaal zoals je gewend bent via iDeal of creditcard en download je PDF-document meteen.

Student with book image

“Gekocht, gedownload en geslaagd. Zo makkelijk kan het dus zijn.”

Alisha Student

Veelgestelde vragen