100% satisfaction guarantee Immediately available after payment Both online and in PDF No strings attached 4.6 TrustPilot
logo-home
Essay

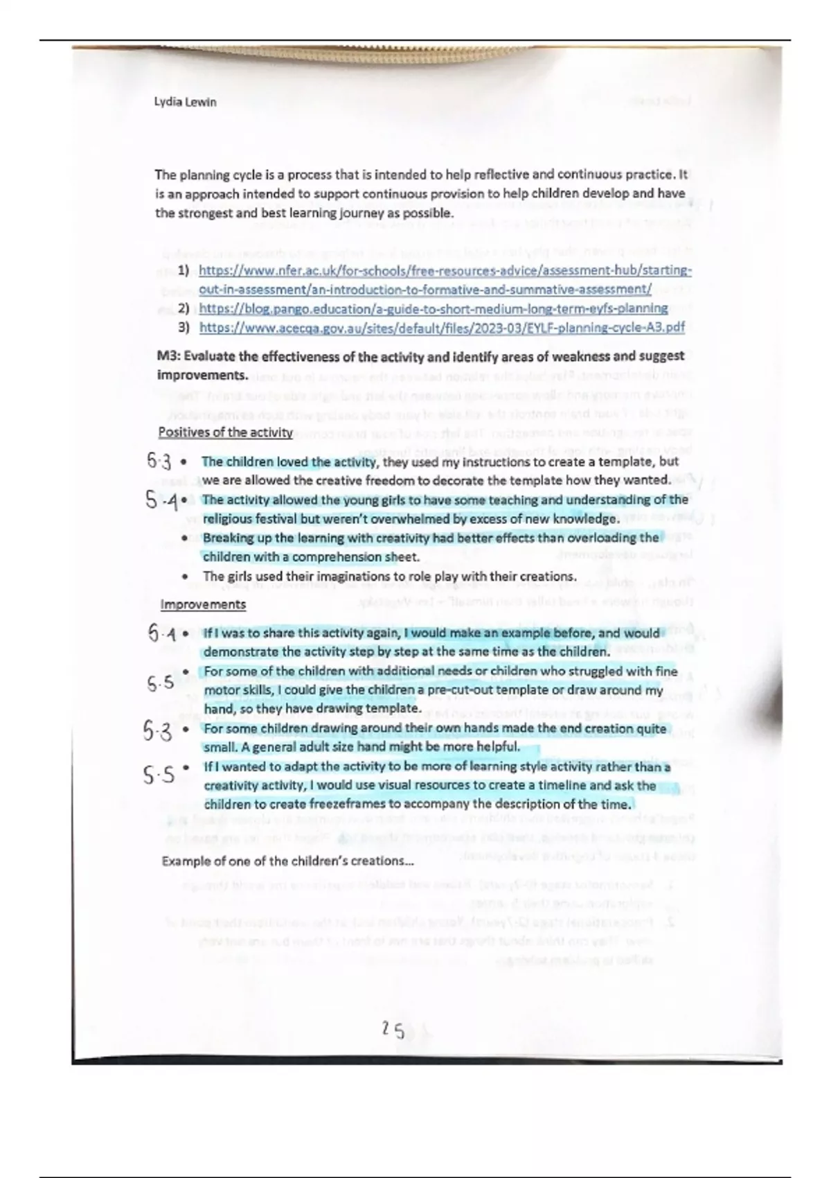
Unit 8 creativity and activity

Rating
-
Sold
-
Pages
6
Grade
A
Uploaded on
28-06-2023
Written in
2022/2023

Assignments for Health and social care unit 8- creativity and activity in children and young people. Numbers and highlighted sections match the specification.










Whoops! We can’t load your doc right now. Try again or contact support.

Document information

Uploaded on
June 28, 2023
Number of pages
6
Written in
2022/2023
Type
Essay
Professor(s)
Unknown
Grade
A
£10.99
Get access to the full document:

100% satisfaction guarantee
Immediately available after payment
Both online and in PDF
No strings attached

Get to know the seller
Seller avatar
lydialewin

Get to know the seller

Seller avatar
lydialewin Highfields school derbyshire
View profile
Follow You need to be logged in order to follow users or courses
Sold
0
Member since
2 year
Number of followers
0
Documents
2
Last sold
-

0.0

0 reviews

5
0
4
0
3
0
2
0
1
0

Recently viewed by you

Why students choose Stuvia

Created by fellow students, verified by reviews

Quality you can trust: written by students who passed their exams and reviewed by others who've used these revision notes.

Didn't get what you expected? Choose another document

No problem! You can straightaway pick a different document that better suits what you're after.

Pay as you like, start learning straight away

No subscription, no commitments. Pay the way you're used to via credit card and download your PDF document instantly.

Student with book image

“Bought, downloaded, and smashed it. It really can be that simple.”

Alisha Student

Frequently asked questions