Written by students who passed Immediately available after payment Read online or as PDF Wrong document? Swap it for free 4.6 TrustPilot
logo-home
Lecture notes

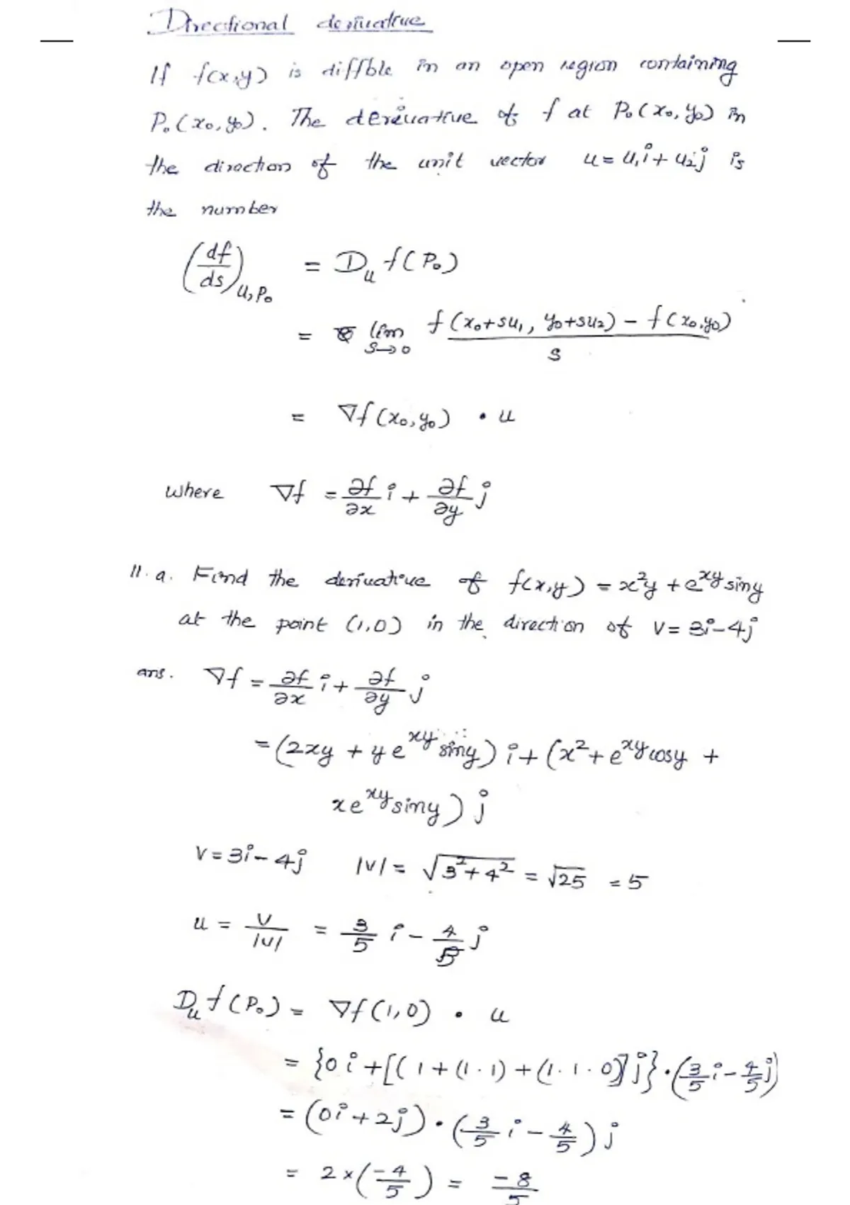
differential derivative

Rating
-
Sold
-
Pages
12
Uploaded on
18-01-2026
Written in
2025/2026

This document contains engineering calculus notes covering differential derivative concept , the notes are well structured , easy to understand , and written in exam - oriented manner . these notes are helpful for quick revision and last - minute preparation.

Show more Read less









Whoops! We can’t load your doc right now. Try again or contact support.

Document information

Uploaded on
January 18, 2026
Number of pages
12
Written in
2025/2026
Type
Lecture notes
Professor(s)
Tabassum
Contains
B.tech students
£5.92
Get access to the full document:

Wrong document? Swap it for free Within 14 days of purchase and before downloading, you can choose a different document. You can simply spend the amount again.
Written by students who passed
Immediately available after payment
Read online or as PDF

Get to know the seller
Seller avatar
tabassumy

Also available in package deal

Thumbnail
Package deal
Engineering calculus
-
7 2026
£ 41.75 More info

Get to know the seller

Seller avatar
tabassumy
View profile
Follow You need to be logged in order to follow users or courses
Sold
-
Member since
2 months
Number of followers
0
Documents
17
Last sold
-

0.0

0 reviews

5
0
4
0
3
0
2
0
1
0

Trending documents

Recently viewed by you

Why students choose Stuvia

Created by fellow students, verified by reviews

Quality you can trust: written by students who passed their exams and reviewed by others who've used these revision notes.

Didn't get what you expected? Choose another document

No problem! You can straightaway pick a different document that better suits what you're after.

Pay as you like, start learning straight away

No subscription, no commitments. Pay the way you're used to via credit card and download your PDF document instantly.

Student with book image

“Bought, downloaded, and smashed it. It really can be that simple.”

Alisha Student

Frequently asked questions