100% Zufriedenheitsgarantie Sofort verfügbar nach Zahlung Sowohl online als auch als PDF Du bist an nichts gebunden 4.2 TrustPilot
logo-home
Zusammenfassung

Zusammenfassung - NWT Basisfach - 11. Klasse HJ1 (2024/25)

Bewertung
-
Verkauft
-
seiten
5
Hochgeladen auf
09-04-2025
geschrieben in
2024/2025

Eine Zusammenfassung für das Basisfach Natur-Wissenschaft-Technik der 11. Klasse im ersten Halbjahr. Themen: Grundregeln der Gestaltung, Vorgehensweisen, Produktentwicklung, Produkt - Kriterien, technische Analyse, Punkt-, Linien- und Flächenlasten, Kräfte, Gleichgewichtsbedingungen und Auflagerreaktionen

Mehr anzeigen Weniger lesen









Ups! Dein Dokument kann gerade nicht geladen werden. Versuch es erneut oder kontaktiere den Support.

Schule, Studium & Fach

Hochschule
Mittelschule
Studium
Gymnasium
Schuljahr
1

Dokument Information

Hochgeladen auf
9. april 2025
Anzahl der Seiten
5
geschrieben in
2024/2025
Typ
Zusammenfassung

Themen

Inhaltsvorschau

NWT-Lernzettel
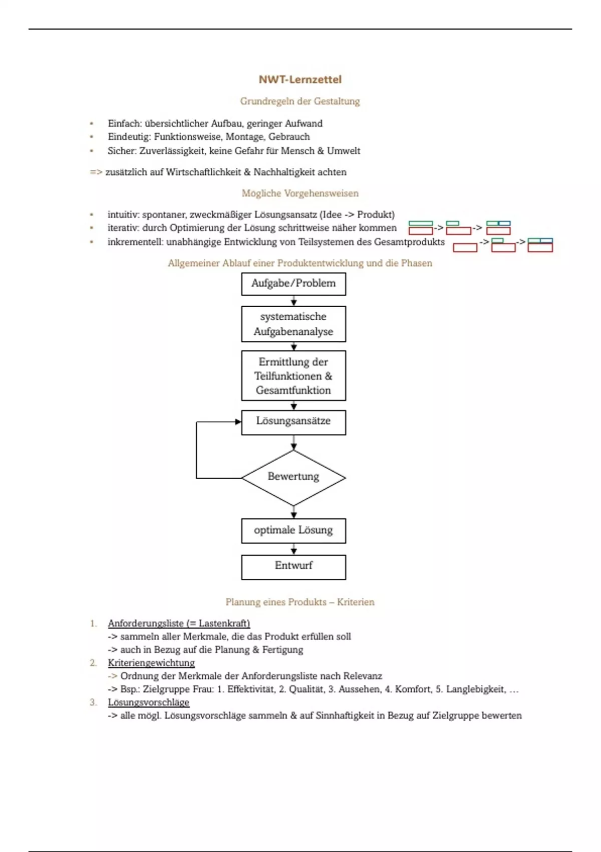
Grundregeln der Gestaltung

▪ Einfach: übersichtlicher Aufbau, geringer Aufwand
▪ Eindeutig: Funktionsweise, Montage, Gebrauch
▪ Sicher: Zuverlässigkeit, keine Gefahr für Mensch & Umwelt

=> zusätzlich auf Wirtschaftlichkeit & Nachhaltigkeit achten

Mögliche Vorgehensweisen

▪ intuitiv: spontaner, zweckmäßiger Lösungsansatz (Idee -> Produkt)
▪ iterativ: durch Optimierung der Lösung schrittweise näher kommen -> ->
▪ inkrementell: unabhängige Entwicklung von Teilsystemen des Gesamtprodukts -> ->

Allgemeiner Ablauf einer Produktentwicklung und die Phasen

Aufgabe/Problem

systematische
Aufgabenanalyse

Ermittlung der
Teilfunktionen &
Gesamtfunktion

Lösungsansätze



Bewertung



optimale Lösung


Entwurf


Planung eines Produkts – Kriterien

1. Anforderungsliste (= Lastenkraft)
-> sammeln aller Merkmale, die das Produkt erfüllen soll
-> auch in Bezug auf die Planung & Fertigung
2. Kriteriengewichtung
-> Ordnung der Merkmale der Anforderungsliste nach Relevanz
-> Bsp.: Zielgruppe Frau: 1. Effektivität, 2. Qualität, 3. Aussehen, 4. Komfort, 5. Langlebigkeit, …
3. Lösungsvorschläge
-> alle mögl. Lösungsvorschläge sammeln & auf Sinnhaftigkeit in Bezug auf Zielgruppe bewerten

, Technische Analyse – System- & Funktionsanalyse

▪ technisches System in seine Teilsysteme zerlegt & deren Funktionen & Abhängigkeiten
voneinander untersucht
▪ Systemanalyse (Bsp. Kugelschreiber)
-> System: Kugelschreiber
-> Systemkomponente
=> vordere Hülle
=> hintere Hülle
=> Feder
=> Mine
=> Vorschubhülse
=> Druckhülse
-> Zielkomponente (betreibt Zweck des Systems)
=> Tinte zum Schreiben bereitstellen
▪ Funktionsanalyse
-> alle Funktionen der Komponenten eines Systems bestimmt
-> geschieht entweder als realistische oder abstrakte Grafik

Funktionsanalyse – Unterschied: realistische & abstrakte Grafik

▪ realistisch




▪ abstrakt
5,39 €
Vollständigen Zugriff auf das Dokument erhalten:

100% Zufriedenheitsgarantie
Sofort verfügbar nach Zahlung
Sowohl online als auch als PDF
Du bist an nichts gebunden

Lerne den Verkäufer kennen
Seller avatar
Olik

Lerne den Verkäufer kennen

Seller avatar
Olik
Profil betrachten
Folgen Sie müssen sich einloggen, um Studenten oder Kursen zu folgen.
Verkauft
0
Mitglied seit
8 Jahren
Anzahl der Follower
0
Dokumente
10
Zuletzt verkauft
-
Lernzettel - Gymnasium

0,0

0 rezensionen

5
0
4
0
3
0
2
0
1
0

Kürzlich von dir angesehen.

Warum sich Studierende für Stuvia entscheiden

on Mitstudent*innen erstellt, durch Bewertungen verifiziert

Geschrieben von Student*innen, die bestanden haben und bewertet von anderen, die diese Studiendokumente verwendet haben.

Nicht zufrieden? Wähle ein anderes Dokument

Kein Problem! Du kannst direkt ein anderes Dokument wählen, das besser zu dem passt, was du suchst.

Bezahle wie du möchtest, fange sofort an zu lernen

Kein Abonnement, keine Verpflichtungen. Bezahle wie gewohnt per Kreditkarte oder Sofort und lade dein PDF-Dokument sofort herunter.

Student with book image

“Gekauft, heruntergeladen und bestanden. So einfach kann es sein.”

Alisha Student

Häufig gestellte Fragen