Geschreven door studenten die geslaagd zijn Direct beschikbaar na je betaling Online lezen of als PDF Verkeerd document? Gratis ruilen 4,6 TrustPilot
logo-home
Tentamen (uitwerkingen)

Nothing

Beoordeling
-
Verkocht
-
Pagina's
1
Cijfer
A+
Geüpload op
15-10-2025
Geschreven in
2025/2026

Maths differenciation test questions

Instelling
Vak

Voorbeeld van de inhoud

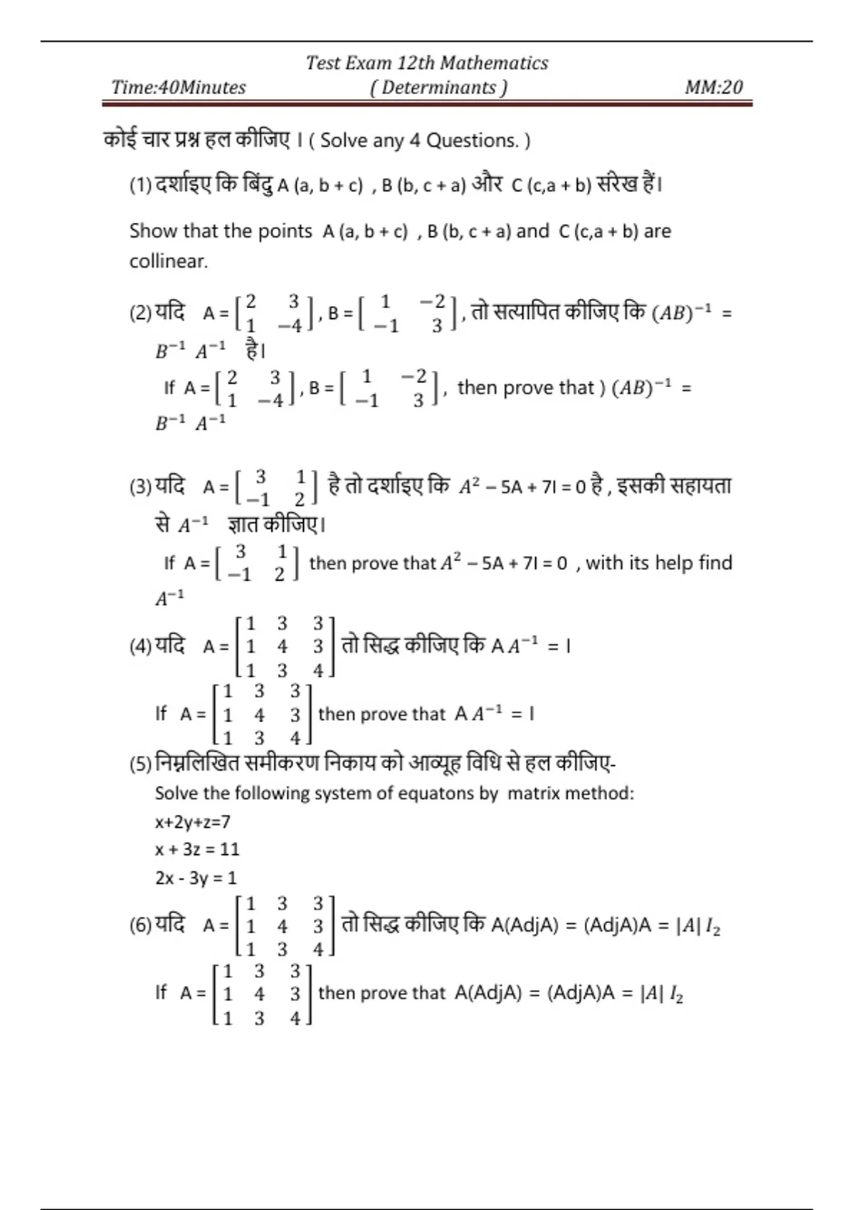
Test Exam 12th Mathematics
Time:40Minutes ( Determinants ) MM:20

हल । ( Solve any 4 Questions. )

(1) A (a, b + c) , B (b, c + a) औ C (c,a + b) ह।

Show that the points A (a, b + c) , B (b, c + a) and C (c,a + b) are
collinear.

(2) A=[ ] B=[ ] =
ह।
If A = [ ] B=[ ] then prove that ) =



(3) A=[ ] ह – 5A + 7I = 0 ह , ह

If A = [ ] then prove that – 5A + 7I = 0 , with its help find



(4) A=[ ] A =I


If A = [ ] then prove that A =I

(5) ल ह हल -
Solve the following system of equatons by matrix method:
x+2y+z=7
x + 3z = 11
2x - 3y = 1

(6) A=[ ] A(AdjA) = (AdjA)A = | |


If A = [ ] then prove that A(AdjA) = (AdjA)A = | |

Geschreven voor

Instelling
Middelbare school
Vak
School jaar
5

Documentinformatie

Geüpload op
15 oktober 2025
Aantal pagina's
1
Geschreven in
2025/2026
Type
Tentamen (uitwerkingen)
Bevat
Alleen vragen

Onderwerpen

€3,98
Krijg toegang tot het volledige document:

Verkeerd document? Gratis ruilen Binnen 14 dagen na aankoop en voor het downloaden kun je een ander document kiezen. Je kunt het bedrag gewoon opnieuw besteden.
Geschreven door studenten die geslaagd zijn
Direct beschikbaar na je betaling
Online lezen of als PDF

Maak kennis met de verkoper
Seller avatar
tusharyogeshvishwakarma

Maak kennis met de verkoper

Seller avatar
tusharyogeshvishwakarma
Volgen Je moet ingelogd zijn om studenten of vakken te kunnen volgen
Verkocht
-
Lid sinds
5 maanden
Aantal volgers
0
Documenten
2
Laatst verkocht
-

0,0

0 beoordelingen

5
0
4
0
3
0
2
0
1
0

Populaire documenten

Recent door jou bekeken

Waarom studenten kiezen voor Stuvia

Gemaakt door medestudenten, geverifieerd door reviews

Kwaliteit die je kunt vertrouwen: geschreven door studenten die slaagden en beoordeeld door anderen die dit document gebruikten.

Niet tevreden? Kies een ander document

Geen zorgen! Je kunt voor hetzelfde geld direct een ander document kiezen dat beter past bij wat je zoekt.

Betaal zoals je wilt, start meteen met leren

Geen abonnement, geen verplichtingen. Betaal zoals je gewend bent via iDeal of creditcard en download je PDF-document meteen.

Student with book image

“Gekocht, gedownload en geslaagd. Zo makkelijk kan het dus zijn.”

Alisha Student

Veelgestelde vragen