100% tevredenheidsgarantie Direct beschikbaar na je betaling Lees online óf als PDF Geen vaste maandelijkse kosten 4.2 TrustPilot
logo-home
Overig

Stappenplan vrij verkeer van werknemers

Beoordeling
-
Verkocht
-
Pagina's
2
Geüpload op
07-11-2023
Geschreven in
2023/2024

Stappenplan vrij verkeer van werknemers









Oeps! We kunnen je document nu niet laden. Probeer het nog eens of neem contact op met support.

Documentinformatie

Geüpload op
7 november 2023
Aantal pagina's
2
Geschreven in
2023/2024
Type
Overig
Persoon
Onbekend

Onderwerpen

  • stappenplan

Voorbeeld van de inhoud

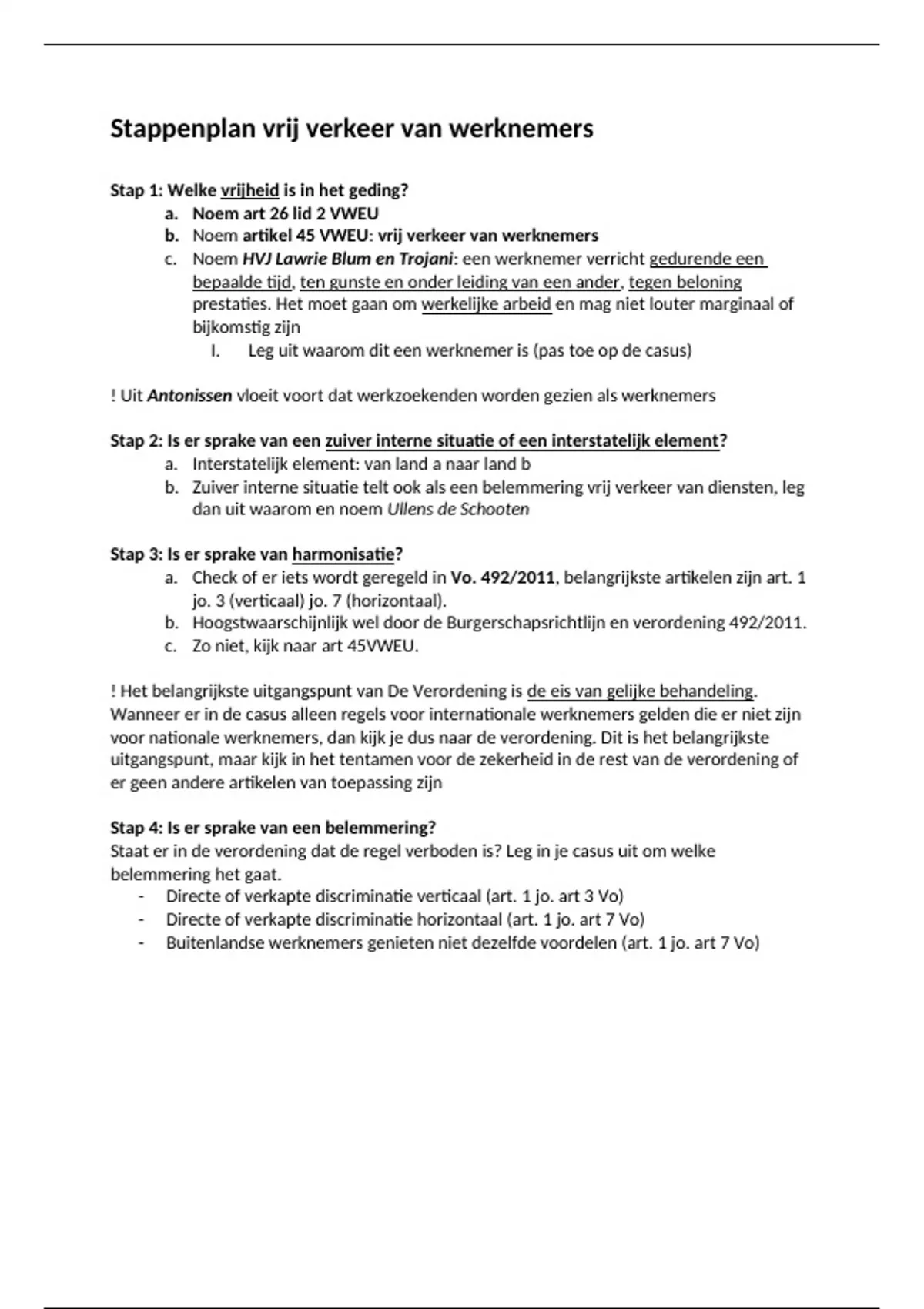
Stappenplan vrij verkeer van werknemers

Stap 1: Welke vrijheid is in het geding?
a. Noem art 26 lid 2 VWEU
b. Noem artikel 45 VWEU: vrij verkeer van werknemers
c. Noem HVJ Lawrie Blum en Trojani: een werknemer verricht gedurende een
bepaalde tijd, ten gunste en onder leiding van een ander, tegen beloning
prestaties. Het moet gaan om werkelijke arbeid en mag niet louter marginaal of
bijkomstig zijn
I. Leg uit waarom dit een werknemer is (pas toe op de casus)

! Uit Antonissen vloeit voort dat werkzoekenden worden gezien als werknemers

Stap 2: Is er sprake van een zuiver interne situatie of een interstatelijk element?
a. Interstatelijk element: van land a naar land b
b. Zuiver interne situatie telt ook als een belemmering vrij verkeer van diensten, leg
dan uit waarom en noem Ullens de Schooten

Stap 3: Is er sprake van harmonisatie?
a. Check of er iets wordt geregeld in Vo. 492/2011, belangrijkste artikelen zijn art. 1
jo. 3 (verticaal) jo. 7 (horizontaal).
b. Hoogstwaarschijnlijk wel door de Burgerschapsrichtlijn en verordening 492/2011.
c. Zo niet, kijk naar art 45VWEU.

! Het belangrijkste uitgangspunt van De Verordening is de eis van gelijke behandeling.
Wanneer er in de casus alleen regels voor internationale werknemers gelden die er niet zijn
voor nationale werknemers, dan kijk je dus naar de verordening. Dit is het belangrijkste
uitgangspunt, maar kijk in het tentamen voor de zekerheid in de rest van de verordening of
er geen andere artikelen van toepassing zijn

Stap 4: Is er sprake van een belemmering?
Staat er in de verordening dat de regel verboden is? Leg in je casus uit om welke
belemmering het gaat.
- Directe of verkapte discriminatie verticaal (art. 1 jo. art 3 Vo)
- Directe of verkapte discriminatie horizontaal (art. 1 jo. art 7 Vo)
- Buitenlandse werknemers genieten niet dezelfde voordelen (art. 1 jo. art 7 Vo)
€6,99
Krijg toegang tot het volledige document:

100% tevredenheidsgarantie
Direct beschikbaar na je betaling
Lees online óf als PDF
Geen vaste maandelijkse kosten

Maak kennis met de verkoper
Seller avatar
Isa777

Ook beschikbaar in voordeelbundel

Thumbnail
Voordeelbundel
Stappenplannen voor Europees recht
-
4 2025
€ 29,06 Meer info

Maak kennis met de verkoper

Seller avatar
Isa777 Universiteit Leiden
Bekijk profiel
Volgen Je moet ingelogd zijn om studenten of vakken te kunnen volgen
Verkocht
1
Lid sinds
2 jaar
Aantal volgers
1
Documenten
53
Laatst verkocht
9 maanden geleden

0,0

0 beoordelingen

5
0
4
0
3
0
2
0
1
0

Recent door jou bekeken

Waarom studenten kiezen voor Stuvia

Gemaakt door medestudenten, geverifieerd door reviews

Kwaliteit die je kunt vertrouwen: geschreven door studenten die slaagden en beoordeeld door anderen die dit document gebruikten.

Niet tevreden? Kies een ander document

Geen zorgen! Je kunt voor hetzelfde geld direct een ander document kiezen dat beter past bij wat je zoekt.

Betaal zoals je wilt, start meteen met leren

Geen abonnement, geen verplichtingen. Betaal zoals je gewend bent via iDeal of creditcard en download je PDF-document meteen.

Student with book image

“Gekocht, gedownload en geslaagd. Zo makkelijk kan het dus zijn.”

Alisha Student

Veelgestelde vragen