100% tevredenheidsgarantie Direct beschikbaar na je betaling Lees online óf als PDF Geen vaste maandelijkse kosten 4.2 TrustPilot
logo-home
Samenvatting

Samenvatting - Verpleegtechnisch Handelen VTH Leerpakket 1

Beoordeling
-
Verkocht
-
Pagina's
22
Geüpload op
14-06-2023
Geschreven in
2021/2022

Dit is een samenvatting van de belangrijke leerdoelen die in de les worden behandeld van het vak Verpleegtechnisch Handelen (VTH) Leerpakket 1 van de opleiding Verpleegkunde (HBO-V). In deze samenvatting wordt een uitleg gegeven over de belangrijke onderwerpen van het vak VTH, en de belangrijke aspecten van dit vak. De punten die worden behandeld zijn persoonlijke verzorging, vitale functies, desinfecteren, haptonomisch verplaatsen, hulpmiddelen bedverpleging, bewustzijn, COVID-19/Corona Virus, pupilcontrole, AVPU-score, Glasgow Coma Scale (GCS/EMV), Early Warning Score (EWS), Heimlich Manouvre, reanimatie, AED, eerste hulp, en verplaatsingstechnieken.

Meer zien Lees minder










Oeps! We kunnen je document nu niet laden. Probeer het nog eens of neem contact op met support.

Documentinformatie

Geüpload op
14 juni 2023
Aantal pagina's
22
Geschreven in
2021/2022
Type
Samenvatting

Voorbeeld van de inhoud

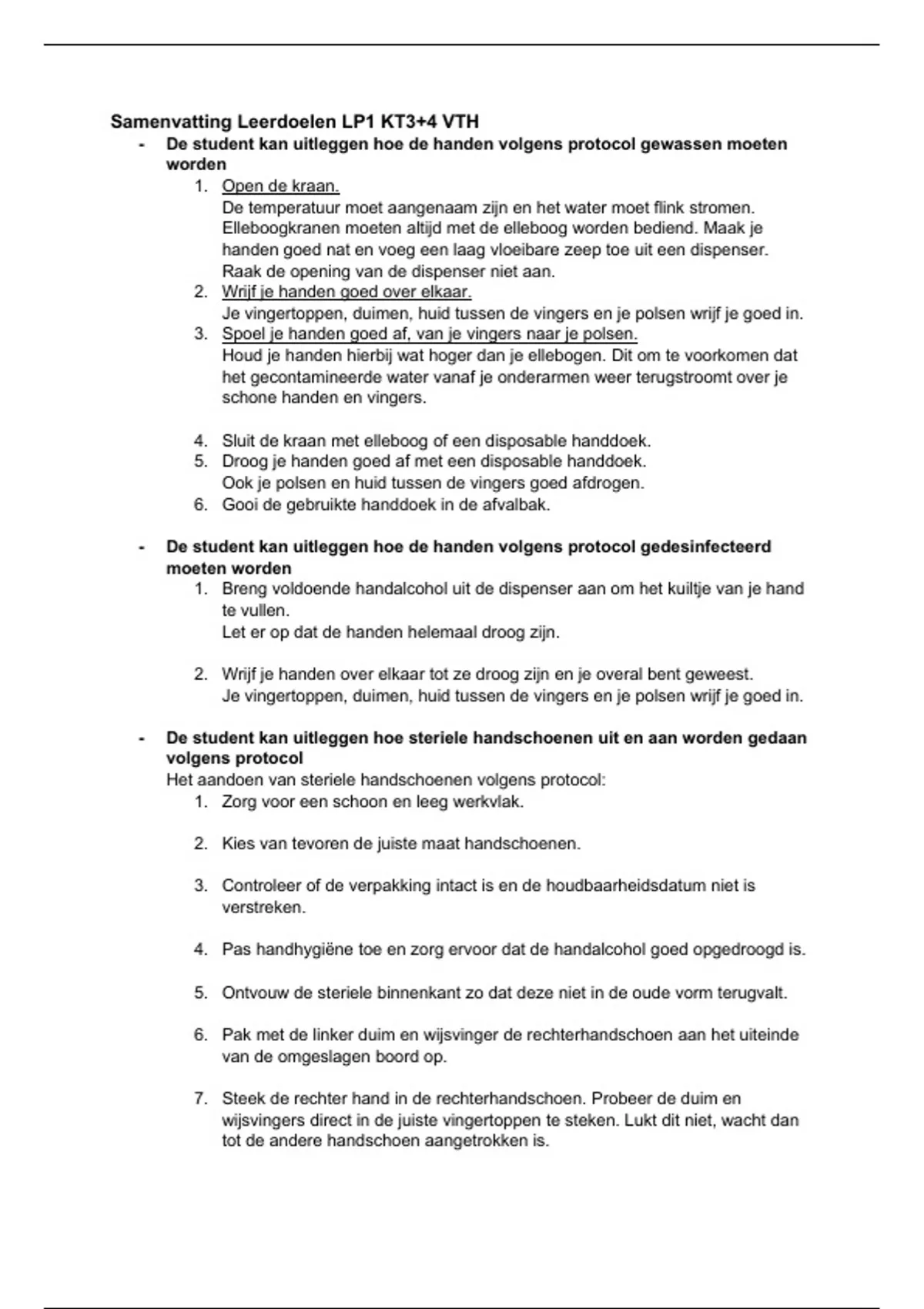
Samenvatting Leerdoelen LP1 KT3+4 VTH
- De student kan uitleggen hoe de handen volgens protocol gewassen moeten
worden
1. Open de kraan.
De temperatuur moet aangenaam zijn en het water moet flink stromen.
Elleboogkranen moeten altijd met de elleboog worden bediend. Maak je
handen goed nat en voeg een laag vloeibare zeep toe uit een dispenser.
Raak de opening van de dispenser niet aan.
2. Wrijf je handen goed over elkaar.
Je vingertoppen, duimen, huid tussen de vingers en je polsen wrijf je goed in.
3. Spoel je handen goed af, van je vingers naar je polsen.
Houd je handen hierbij wat hoger dan je ellebogen. Dit om te voorkomen dat
het gecontamineerde water vanaf je onderarmen weer terugstroomt over je
schone handen en vingers.

4. Sluit de kraan met elleboog of een disposable handdoek.
5. Droog je handen goed af met een disposable handdoek.
Ook je polsen en huid tussen de vingers goed afdrogen.
6. Gooi de gebruikte handdoek in de afvalbak.

- De student kan uitleggen hoe de handen volgens protocol gedesinfecteerd
moeten worden
1. Breng voldoende handalcohol uit de dispenser aan om het kuiltje van je hand
te vullen.
Let er op dat de handen helemaal droog zijn.

2. Wrijf je handen over elkaar tot ze droog zijn en je overal bent geweest.
Je vingertoppen, duimen, huid tussen de vingers en je polsen wrijf je goed in.

- De student kan uitleggen hoe steriele handschoenen uit en aan worden gedaan
volgens protocol
Het aandoen van steriele handschoenen volgens protocol:
1. Zorg voor een schoon en leeg werkvlak.

2. Kies van tevoren de juiste maat handschoenen.

3. Controleer of de verpakking intact is en de houdbaarheidsdatum niet is
verstreken.

4. Pas handhygiëne toe en zorg ervoor dat de handalcohol goed opgedroogd is.

5. Ontvouw de steriele binnenkant zo dat deze niet in de oude vorm terugvalt.

6. Pak met de linker duim en wijsvinger de rechterhandschoen aan het uiteinde
van de omgeslagen boord op.

7. Steek de rechter hand in de rechterhandschoen. Probeer de duim en
wijsvingers direct in de juiste vingertoppen te steken. Lukt dit niet, wacht dan
tot de andere handschoen aangetrokken is.

, 8. Steek de vingers van de rechterhand onder de omgeslagen boord van de
linkerhandschoen en pak deze op.

9. Steek de linker hand in de linkerhandschoen en trek deze in een keer door
over de pols.

10. Corrigeer beide handschoenen zo nodig wanneer de vingers niet in de juiste
openingen zitten en ontvouw de omgeslagen boord van de
rechterhandschoen.

11. Zorg ervoor dat de handschoenen geen onsteriele vlakken aanraken. Gebeurt
dat wel, neem dan een paar nieuwe handschoenen en begin opnieuw.

12. Linkshandigen kunnen bij stap 6 met de linkerhandschoen beginnen.

Het uitdoen van steriele handschoenen volgens protocol:
1. Pak met twee vingers en duim van de linkerhandschoen de boord van de
rechterhandschoen vast.

2. Plaats de vingers van de rechterhand tegen elkaar en leg de duim in de palm
van de hand. Zo gaat het uittrekken gemakkelijker.

3. Sla de boord om en stroop de handschoen van de hand af. Zo wordt de
buitenkant van de handschoen de binnenkant en wordt huidcontact met het
vuile gedeelte van de handschoen voorkomen.

4. Gooi de handschoen in de afvalbak.

5. Herhaal de handeling met de andere handschoen.

6. Vermijd elk contact van de blote hand met het vuile gedeelte van de
handschoen.

7. Pas handhygiëne toe.

- De student kan uitleggen wat de vijf momenten van handhygiëne zijn
Handhygiëne wordt toegepast op alle vijf momenten, ook voor en na het dragen van
handschoenen.
1. Voor contact met de patiënt
2. Voor een aseptische handeling, zoals wondzorg, medicatie klaarmaken,
inbrengen van infuus
3. Na handelingen met en/of blootstelling aan lichaamsvloeistoffen
4. Na contact met de patiënt
5. Na contact met de omgeving van de patiënt, zoals nachtkastje, bed of infuus

- De student kan uitleggen hoe isolatiekleding aan- en uitgetrokken moeten
worden
Het aandoen van isolatiekleding volgens protocol:
1. Ontsmet de handen
2. Trek een isolatiejas aan
3. Steek de duimen correct

, 4. Knoop dicht ten hoogte van de middel
5. Zet een (eendenbek)masker op
6. Zorg dat het masker goed aansluit
7. Doe niet-steriele handschoenen aan
8. Trek de handschoenen tot over de mouwen
9. Zet een beschermbril op

Het uitdoen van isolatiekleding volgens protocol:
1. Verwijder de handschoenen correct
2. Gooi ze meteen in een vuilbak
3. Ontsmet de handen
4. Scheur de lintjes en trek de schort uit
5. Gooi de schort in de vuilbak
6. Ontsmet de handen
7. Neem de bril vast aan de zijkanten en zet deze af
8. Verwijder het masker
9. Ontsmet de handen

Verplaatsingstechnieken
- Wat de uitgangspunten zijn bij haptonomische verplaatstechnieken en kan de
mogelijkheden van de zorgvrager hierbij afstemmen
Bij haptonomisch verplaatsen staat zelfredzaamheid altijd centraal. Niet alleen vanuit
arbeidsbesparende overwegingen maar vooral ook omdat het meer respectvol is voor
de cliënt en de zorgverlener. Want te veel doen voor een cliënt in de zorgverlening
ontneemt hem zijn mogelijkheden en zijn eigenwaarde.

1. Tillen en verplaatsen: dynamische belasting
2. Langdurig werken in belastende houdingen: statische belasting
3. Werk gerelateerde psychische belasting.

In navolging van de praktijkrichtlijnen wordt er van uit gegaan dat per verplaatsing
van een cliënt:
o Vrouwen met een niet meer dan 8 kg
o Mannen met een niet meer dan 15 kg
o Zwangere vrouwen en kortgeleden (tot 3 maanden) bevallen vrouwen met een
niet meer dan 5 kg belast mogen worden.

- Welke hulpmiddelen er zijn bij het verzorgen van de zorgvrager in bed
o Anti-decubitusbedden, antidecubitusmatrassen en anti-decubitusovertrekken
o Een bed rek, een dekenboog, een rugsteun, een bedtafel
o Een papegaai
o Glijlakens
o Po’s

- Hoe een zorgvrager in bed haptonomisch verplaatst kan worden naar zijligging
1. Ga in schredestand staan ter hoogte van het middel van de cliënt.
2. Steun goed tegen het bed.
3. Buig naar voren. Leg je rechterarm langs het opgetrokken been van de cliënt.
4. Met de handpalm van je rechterhand omvat je de kop van de heup van de cliënt.
€3,48
Krijg toegang tot het volledige document:

100% tevredenheidsgarantie
Direct beschikbaar na je betaling
Lees online óf als PDF
Geen vaste maandelijkse kosten

Maak kennis met de verkoper
Seller avatar
jordansmjanse

Ook beschikbaar in voordeelbundel

Thumbnail
Voordeelbundel
Samenvattingen Leerpakket 1 (KT1, KT3, KT4)
-
2 3 2023
€ 10,44 Meer info

Maak kennis met de verkoper

Seller avatar
jordansmjanse Avans Hogeschool
Bekijk profiel
Volgen Je moet ingelogd zijn om studenten of vakken te kunnen volgen
Verkocht
11
Lid sinds
2 jaar
Aantal volgers
8
Documenten
15
Laatst verkocht
3 maanden geleden

0,0

0 beoordelingen

5
0
4
0
3
0
2
0
1
0

Recent door jou bekeken

Waarom studenten kiezen voor Stuvia

Gemaakt door medestudenten, geverifieerd door reviews

Kwaliteit die je kunt vertrouwen: geschreven door studenten die slaagden en beoordeeld door anderen die dit document gebruikten.

Niet tevreden? Kies een ander document

Geen zorgen! Je kunt voor hetzelfde geld direct een ander document kiezen dat beter past bij wat je zoekt.

Betaal zoals je wilt, start meteen met leren

Geen abonnement, geen verplichtingen. Betaal zoals je gewend bent via iDeal of creditcard en download je PDF-document meteen.

Student with book image

“Gekocht, gedownload en geslaagd. Zo makkelijk kan het dus zijn.”

Alisha Student

Veelgestelde vragen