100% tevredenheidsgarantie Direct beschikbaar na je betaling Lees online óf als PDF Geen vaste maandelijkse kosten 4.2 TrustPilot
logo-home
Samenvatting

Samenvatting Gevorderde Kwalitatieve Methoden (theoretisch Luik)

Beoordeling
-
Verkocht
-
Pagina's
11
Geüpload op
03-02-2025
Geschreven in
2024/2025

Deze samenvatting bevat het theoretisch luik van het vak Gevorderde Kwalitatieve Methoden. Het is een handige leidraad met tips en tricks voor het praktijkgedeelte.










Oeps! We kunnen je document nu niet laden. Probeer het nog eens of neem contact op met support.

Documentinformatie

Geüpload op
3 februari 2025
Aantal pagina's
11
Geschreven in
2024/2025
Type
Samenvatting

Onderwerpen

  • gkl
  • master

Voorbeeld van de inhoud

Samenvatting: Theoretisch luik Gevorderde Kwalitatieve Methoden
Chapter 1: Introduction in case studies


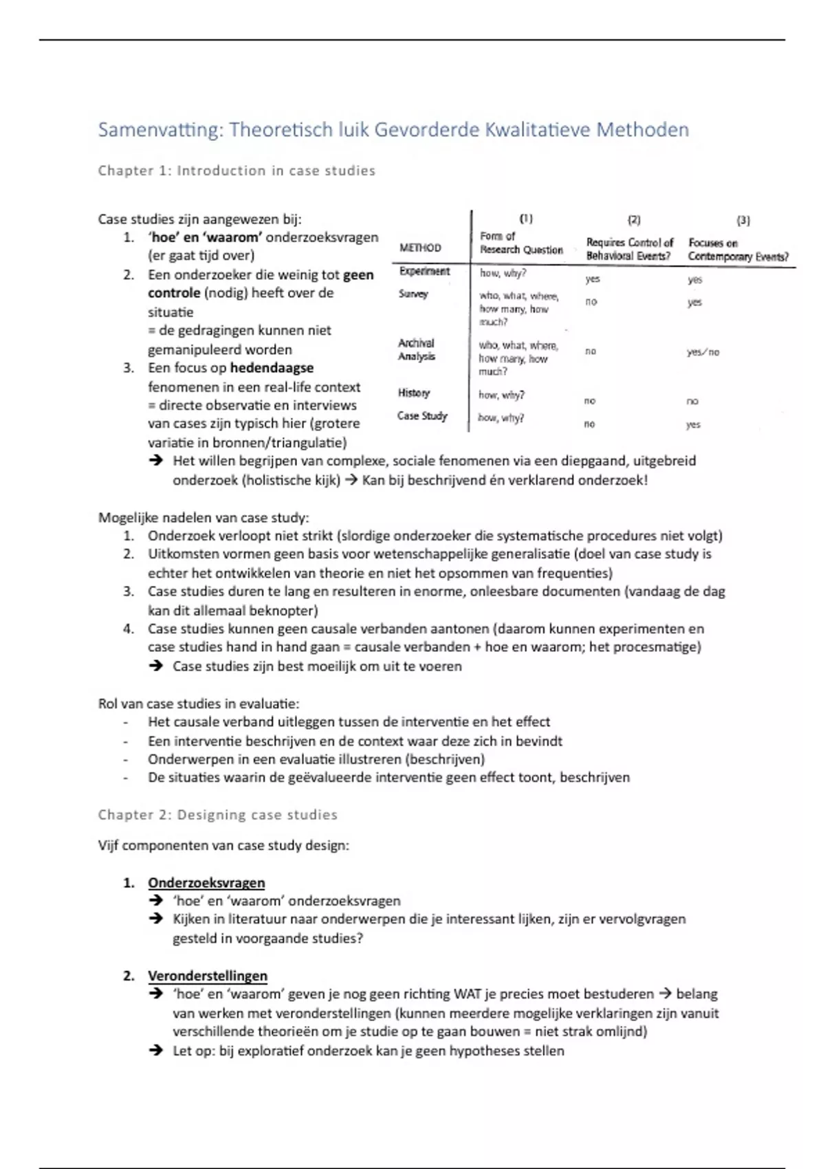
Case studies zijn aangewezen bij:
1. ‘hoe’ en ‘waarom’ onderzoeksvragen
(er gaat tijd over)
2. Een onderzoeker die weinig tot geen
controle (nodig) heeft over de
situatie
= de gedragingen kunnen niet
gemanipuleerd worden
3. Een focus op hedendaagse
fenomenen in een real-life context
= directe observatie en interviews
van cases zijn typisch hier (grotere
variatie in bronnen/triangulatie)
➔ Het willen begrijpen van complexe, sociale fenomenen via een diepgaand, uitgebreid
onderzoek (holistische kijk) → Kan bij beschrijvend én verklarend onderzoek!

Mogelijke nadelen van case study:
1. Onderzoek verloopt niet strikt (slordige onderzoeker die systematische procedures niet volgt)
2. Uitkomsten vormen geen basis voor wetenschappelijke generalisatie (doel van case study is
echter het ontwikkelen van theorie en niet het opsommen van frequenties)
3. Case studies duren te lang en resulteren in enorme, onleesbare documenten (vandaag de dag
kan dit allemaal beknopter)
4. Case studies kunnen geen causale verbanden aantonen (daarom kunnen experimenten en
case studies hand in hand gaan = causale verbanden + hoe en waarom; het procesmatige)
➔ Case studies zijn best moeilijk om uit te voeren

Rol van case studies in evaluatie:
- Het causale verband uitleggen tussen de interventie en het effect
- Een interventie beschrijven en de context waar deze zich in bevindt
- Onderwerpen in een evaluatie illustreren (beschrijven)
- De situaties waarin de geëvalueerde interventie geen effect toont, beschrijven

Chapter 2: Designing case studies
Vijf componenten van case study design:

1. Onderzoeksvragen
➔ ‘hoe’ en ‘waarom’ onderzoeksvragen
➔ Kijken in literatuur naar onderwerpen die je interessant lijken, zijn er vervolgvragen
gesteld in voorgaande studies?

2. Veronderstellingen
➔ ‘hoe’ en ‘waarom’ geven je nog geen richting WAT je precies moet bestuderen → belang
van werken met veronderstellingen (kunnen meerdere mogelijke verklaringen zijn vanuit
verschillende theorieën om je studie op te gaan bouwen = niet strak omlijnd)
➔ Let op: bij exploratief onderzoek kan je geen hypotheses stellen

, 3. Eenheden van analyse
➔ Kan persoon, groep, evenement, opleiding, buurt, school, etc. zijn
➔ De onderzoeksvraag moet eigenlijk aflijnen wat je ‘cases’ zijn, maak het nauw genoeg
➔ Eens cases vastgezet, wees strikt in het behouden van deze definiëring
➔ Mogelijke verdere verduidelijkingen kunnen belangrijk zijn: case = lokale diensten in
Zandhoven, welke ga je dan kiezen? OF, wat is het begin- en eindpunt in tijd? Wil je
bedrijven zien van opstart tot twee jaar later, of …?
➔ Indien je je onderzoek wil vergelijken met voorgaand onderzoek, moeten de cases gelijk
zijn!

4. Zorg voor een logische link tussen dataverzameling en de hypotheses!

5. Criteria om de resultaten te interpreteren
➔ Rival Explanations (RE) identificeren en adresseren in onderzoek! RE’s zijn alternatieve
factoren die mogelijks verantwoordelijk zijn voor de resultaten in het onderzoek (Meestal
tegenstrijdige resultaten ivm de veronderstelling)
➔ Dit moet al in voorbereidende designfase van je onderzoek geanticipeerd en opgesomd
worden! = anders gevaar voor interne validiteit!


De rol van theorie in case study design:

- Literatuurstudie vormt belangrijke blauwdruk van je design/onderzoek!
- Verschillende soorten literatuur/theorieën om te bekijken/ontwikkelen:
o Theorie over individuen, groepen, organisaties, maatschappij, …
- Generaliseren van case study naar theorie:
o Statistische generalisatie:
▪ Minder relevant voor case studies
▪ Kwantitatieve data met betrouwbaarheidsformules
▪ Hoe groter de sample en variatie erin, hoe beter deze men kan generaliseren
o Analytische generalisatie
▪ Relevanter voor case studies
▪ Voorgaande theorie wordt gebruikt als vergelijking met de empirische
bevindingen = replicatie (indien twee of meer cases dezelfde theorie
ondersteunen, maar geen evengoed mogelijke RE ondersteunen)


Criteria voor beoordelen van de kwaliteit van een case study:

TESTS Kenmerken In Case Study Onderzoeksfase
Constructvaliditeit Constructvaliditeit geeft aan - Meerdere soorten databronnen Dataverzameling
in welke mate een gebruiken en samenstelling
onderzoeks-instrument het - Chains of evidence ervan
concept meet dat het moet - Key informants review draft
meten.
Interne validiteit Interne validiteit is de mate - Pattern matching = komt het Data-analyse
waarin je met zekerheid kunt verwachte patroon (hypothese)
stellen dat een vastgestelde overeen met het eigenlijke patroon
oorzaak-gevolgrelatie niet - Explanation building = RE overrulen
door andere factoren kan adhv andere theorie/studies
worden verklaard. - RE’s adresseren
€9,49
Krijg toegang tot het volledige document:

100% tevredenheidsgarantie
Direct beschikbaar na je betaling
Lees online óf als PDF
Geen vaste maandelijkse kosten

Maak kennis met de verkoper

Seller avatar
De reputatie van een verkoper is gebaseerd op het aantal documenten dat iemand tegen betaling verkocht heeft en de beoordelingen die voor die items ontvangen zijn. Er zijn drie niveau’s te onderscheiden: brons, zilver en goud. Hoe beter de reputatie, hoe meer de kwaliteit van zijn of haar werk te vertrouwen is.
KDM Universiteit Antwerpen
Bekijk profiel
Volgen Je moet ingelogd zijn om studenten of vakken te kunnen volgen
Verkocht
25
Lid sinds
3 jaar
Aantal volgers
8
Documenten
8
Laatst verkocht
2 dagen geleden

5,0

1 beoordelingen

5
1
4
0
3
0
2
0
1
0

Recent door jou bekeken

Waarom studenten kiezen voor Stuvia

Gemaakt door medestudenten, geverifieerd door reviews

Kwaliteit die je kunt vertrouwen: geschreven door studenten die slaagden en beoordeeld door anderen die dit document gebruikten.

Niet tevreden? Kies een ander document

Geen zorgen! Je kunt voor hetzelfde geld direct een ander document kiezen dat beter past bij wat je zoekt.

Betaal zoals je wilt, start meteen met leren

Geen abonnement, geen verplichtingen. Betaal zoals je gewend bent via Bancontact, iDeal of creditcard en download je PDF-document meteen.

Student with book image

“Gekocht, gedownload en geslaagd. Zo eenvoudig kan het zijn.”

Alisha Student

Veelgestelde vragen